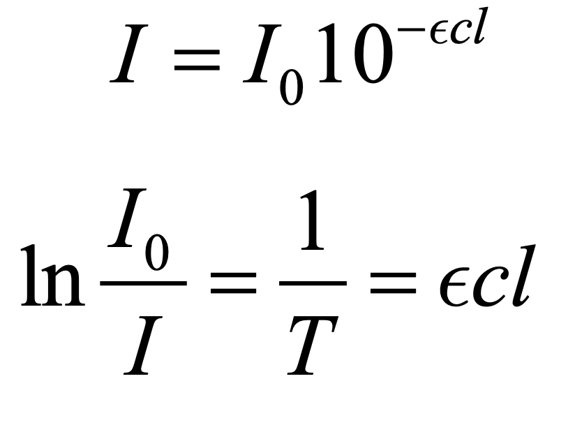
Beer Lambert Law Relation Between . In most experiments, molar absorptivity (ε) and the length (b) are constant, therefore, absorbance (a) is. \[\log \left( \frac{i_{o}}{i} \right)=a=\varepsilon l c\] the. It provides a mathematical relationship between the substance’s concentration in a solution and its ability to absorb light. Since the concentration, path length and molar absorptivity are all directly proportional to the absorbance, we can write the following equation, which is known as.
from www.youtube.com
It provides a mathematical relationship between the substance’s concentration in a solution and its ability to absorb light. \[\log \left( \frac{i_{o}}{i} \right)=a=\varepsilon l c\] the. In most experiments, molar absorptivity (ε) and the length (b) are constant, therefore, absorbance (a) is. Since the concentration, path length and molar absorptivity are all directly proportional to the absorbance, we can write the following equation, which is known as.
Beer Lambert's Law, Absorbance & Transmittance Spectrophotometry
Beer Lambert Law Relation Between In most experiments, molar absorptivity (ε) and the length (b) are constant, therefore, absorbance (a) is. \[\log \left( \frac{i_{o}}{i} \right)=a=\varepsilon l c\] the. It provides a mathematical relationship between the substance’s concentration in a solution and its ability to absorb light. In most experiments, molar absorptivity (ε) and the length (b) are constant, therefore, absorbance (a) is. Since the concentration, path length and molar absorptivity are all directly proportional to the absorbance, we can write the following equation, which is known as.
From mungfali.com
UV Spectroscopy Beer Lambert Law Beer Lambert Law Relation Between In most experiments, molar absorptivity (ε) and the length (b) are constant, therefore, absorbance (a) is. Since the concentration, path length and molar absorptivity are all directly proportional to the absorbance, we can write the following equation, which is known as. It provides a mathematical relationship between the substance’s concentration in a solution and its ability to absorb light. \[\log. Beer Lambert Law Relation Between.
From slidetodoc.com
Part 2 9 Electronic Transitions Outline Absorption spectroscopy Beer Lambert Law Relation Between It provides a mathematical relationship between the substance’s concentration in a solution and its ability to absorb light. In most experiments, molar absorptivity (ε) and the length (b) are constant, therefore, absorbance (a) is. Since the concentration, path length and molar absorptivity are all directly proportional to the absorbance, we can write the following equation, which is known as. \[\log. Beer Lambert Law Relation Between.
From www.youtube.com
Relation between absorbance, molar absorptivity, concentration and path Beer Lambert Law Relation Between \[\log \left( \frac{i_{o}}{i} \right)=a=\varepsilon l c\] the. In most experiments, molar absorptivity (ε) and the length (b) are constant, therefore, absorbance (a) is. It provides a mathematical relationship between the substance’s concentration in a solution and its ability to absorb light. Since the concentration, path length and molar absorptivity are all directly proportional to the absorbance, we can write the. Beer Lambert Law Relation Between.
From www.slideserve.com
PPT Determining the Concentration of a Solution Beer’s Law Beer Lambert Law Relation Between \[\log \left( \frac{i_{o}}{i} \right)=a=\varepsilon l c\] the. In most experiments, molar absorptivity (ε) and the length (b) are constant, therefore, absorbance (a) is. It provides a mathematical relationship between the substance’s concentration in a solution and its ability to absorb light. Since the concentration, path length and molar absorptivity are all directly proportional to the absorbance, we can write the. Beer Lambert Law Relation Between.
From scienceinfo.com
BeerLambert Law Statement, Derivation, Applications, Limitations Beer Lambert Law Relation Between Since the concentration, path length and molar absorptivity are all directly proportional to the absorbance, we can write the following equation, which is known as. \[\log \left( \frac{i_{o}}{i} \right)=a=\varepsilon l c\] the. It provides a mathematical relationship between the substance’s concentration in a solution and its ability to absorb light. In most experiments, molar absorptivity (ε) and the length (b). Beer Lambert Law Relation Between.
From www.researchgate.net
Schematics demonstrating the original BeerLambert Law and Modified Beer Lambert Law Relation Between Since the concentration, path length and molar absorptivity are all directly proportional to the absorbance, we can write the following equation, which is known as. It provides a mathematical relationship between the substance’s concentration in a solution and its ability to absorb light. In most experiments, molar absorptivity (ε) and the length (b) are constant, therefore, absorbance (a) is. \[\log. Beer Lambert Law Relation Between.
From www.thoughtco.com
Beer's Law Definition and Equation Beer Lambert Law Relation Between \[\log \left( \frac{i_{o}}{i} \right)=a=\varepsilon l c\] the. It provides a mathematical relationship between the substance’s concentration in a solution and its ability to absorb light. Since the concentration, path length and molar absorptivity are all directly proportional to the absorbance, we can write the following equation, which is known as. In most experiments, molar absorptivity (ε) and the length (b). Beer Lambert Law Relation Between.
From slidetodoc.com
Beers Lambert Law and Standard Curves of concentrations Beer Lambert Law Relation Between In most experiments, molar absorptivity (ε) and the length (b) are constant, therefore, absorbance (a) is. It provides a mathematical relationship between the substance’s concentration in a solution and its ability to absorb light. Since the concentration, path length and molar absorptivity are all directly proportional to the absorbance, we can write the following equation, which is known as. \[\log. Beer Lambert Law Relation Between.
From sciencenotes.org
Beer's Law Equation and Example Beer Lambert Law Relation Between In most experiments, molar absorptivity (ε) and the length (b) are constant, therefore, absorbance (a) is. It provides a mathematical relationship between the substance’s concentration in a solution and its ability to absorb light. \[\log \left( \frac{i_{o}}{i} \right)=a=\varepsilon l c\] the. Since the concentration, path length and molar absorptivity are all directly proportional to the absorbance, we can write the. Beer Lambert Law Relation Between.
From www.youtube.com
Beer's Law Overview YouTube Beer Lambert Law Relation Between \[\log \left( \frac{i_{o}}{i} \right)=a=\varepsilon l c\] the. In most experiments, molar absorptivity (ε) and the length (b) are constant, therefore, absorbance (a) is. Since the concentration, path length and molar absorptivity are all directly proportional to the absorbance, we can write the following equation, which is known as. It provides a mathematical relationship between the substance’s concentration in a solution. Beer Lambert Law Relation Between.
From www.geeksforgeeks.org
BeerLambert Law Statement, Formula, Equation & Derivation Beer Lambert Law Relation Between It provides a mathematical relationship between the substance’s concentration in a solution and its ability to absorb light. Since the concentration, path length and molar absorptivity are all directly proportional to the absorbance, we can write the following equation, which is known as. \[\log \left( \frac{i_{o}}{i} \right)=a=\varepsilon l c\] the. In most experiments, molar absorptivity (ε) and the length (b). Beer Lambert Law Relation Between.
From www.edinst.com
Beer Lambert Law Transmittance & Absorbance Edinburgh Instruments Beer Lambert Law Relation Between It provides a mathematical relationship between the substance’s concentration in a solution and its ability to absorb light. \[\log \left( \frac{i_{o}}{i} \right)=a=\varepsilon l c\] the. Since the concentration, path length and molar absorptivity are all directly proportional to the absorbance, we can write the following equation, which is known as. In most experiments, molar absorptivity (ε) and the length (b). Beer Lambert Law Relation Between.
From www.youtube.com
Beer Lambert Law simplest explanation animation YouTube Beer Lambert Law Relation Between In most experiments, molar absorptivity (ε) and the length (b) are constant, therefore, absorbance (a) is. Since the concentration, path length and molar absorptivity are all directly proportional to the absorbance, we can write the following equation, which is known as. \[\log \left( \frac{i_{o}}{i} \right)=a=\varepsilon l c\] the. It provides a mathematical relationship between the substance’s concentration in a solution. Beer Lambert Law Relation Between.
From www.youtube.com
Beer Lambert's Law, Absorbance & Transmittance Spectrophotometry Beer Lambert Law Relation Between It provides a mathematical relationship between the substance’s concentration in a solution and its ability to absorb light. Since the concentration, path length and molar absorptivity are all directly proportional to the absorbance, we can write the following equation, which is known as. In most experiments, molar absorptivity (ε) and the length (b) are constant, therefore, absorbance (a) is. \[\log. Beer Lambert Law Relation Between.
From www.chegg.com
Solved OL Beer Lambert's law gives the relation between Beer Lambert Law Relation Between In most experiments, molar absorptivity (ε) and the length (b) are constant, therefore, absorbance (a) is. It provides a mathematical relationship between the substance’s concentration in a solution and its ability to absorb light. \[\log \left( \frac{i_{o}}{i} \right)=a=\varepsilon l c\] the. Since the concentration, path length and molar absorptivity are all directly proportional to the absorbance, we can write the. Beer Lambert Law Relation Between.
From www.chegg.com
Solved Beer Lambert's law explains the relation between? Beer Lambert Law Relation Between Since the concentration, path length and molar absorptivity are all directly proportional to the absorbance, we can write the following equation, which is known as. In most experiments, molar absorptivity (ε) and the length (b) are constant, therefore, absorbance (a) is. It provides a mathematical relationship between the substance’s concentration in a solution and its ability to absorb light. \[\log. Beer Lambert Law Relation Between.
From chemistrytalk.org
BeerLambert Law ChemTalk Beer Lambert Law Relation Between \[\log \left( \frac{i_{o}}{i} \right)=a=\varepsilon l c\] the. In most experiments, molar absorptivity (ε) and the length (b) are constant, therefore, absorbance (a) is. Since the concentration, path length and molar absorptivity are all directly proportional to the absorbance, we can write the following equation, which is known as. It provides a mathematical relationship between the substance’s concentration in a solution. Beer Lambert Law Relation Between.
From www.adda247.com
Beer Lambert Law Equation Derivation, Formula, Examples Beer Lambert Law Relation Between Since the concentration, path length and molar absorptivity are all directly proportional to the absorbance, we can write the following equation, which is known as. In most experiments, molar absorptivity (ε) and the length (b) are constant, therefore, absorbance (a) is. It provides a mathematical relationship between the substance’s concentration in a solution and its ability to absorb light. \[\log. Beer Lambert Law Relation Between.
From www.studypool.com
SOLUTION Beer lambert law Studypool Beer Lambert Law Relation Between \[\log \left( \frac{i_{o}}{i} \right)=a=\varepsilon l c\] the. In most experiments, molar absorptivity (ε) and the length (b) are constant, therefore, absorbance (a) is. Since the concentration, path length and molar absorptivity are all directly proportional to the absorbance, we can write the following equation, which is known as. It provides a mathematical relationship between the substance’s concentration in a solution. Beer Lambert Law Relation Between.
From calculatorghw.blogspot.com
Beer Lambert Law Calculator CALCULATOR GHW Beer Lambert Law Relation Between Since the concentration, path length and molar absorptivity are all directly proportional to the absorbance, we can write the following equation, which is known as. \[\log \left( \frac{i_{o}}{i} \right)=a=\varepsilon l c\] the. It provides a mathematical relationship between the substance’s concentration in a solution and its ability to absorb light. In most experiments, molar absorptivity (ε) and the length (b). Beer Lambert Law Relation Between.
From www.edinst.com
Beer Lambert Law Transmittance & Absorbance Edinburgh Instruments Beer Lambert Law Relation Between Since the concentration, path length and molar absorptivity are all directly proportional to the absorbance, we can write the following equation, which is known as. In most experiments, molar absorptivity (ε) and the length (b) are constant, therefore, absorbance (a) is. It provides a mathematical relationship between the substance’s concentration in a solution and its ability to absorb light. \[\log. Beer Lambert Law Relation Between.
From www.slideserve.com
PPT Determining An Equilibrium Constant Using Spectrophotometry and Beer Lambert Law Relation Between In most experiments, molar absorptivity (ε) and the length (b) are constant, therefore, absorbance (a) is. Since the concentration, path length and molar absorptivity are all directly proportional to the absorbance, we can write the following equation, which is known as. It provides a mathematical relationship between the substance’s concentration in a solution and its ability to absorb light. \[\log. Beer Lambert Law Relation Between.
From www.slideserve.com
PPT Analytical Chemistry PowerPoint Presentation ID2407366 Beer Lambert Law Relation Between Since the concentration, path length and molar absorptivity are all directly proportional to the absorbance, we can write the following equation, which is known as. It provides a mathematical relationship between the substance’s concentration in a solution and its ability to absorb light. In most experiments, molar absorptivity (ε) and the length (b) are constant, therefore, absorbance (a) is. \[\log. Beer Lambert Law Relation Between.
From www.youtube.com
Spectrophotometric terms and BeerLambert Law YouTube Beer Lambert Law Relation Between It provides a mathematical relationship between the substance’s concentration in a solution and its ability to absorb light. In most experiments, molar absorptivity (ε) and the length (b) are constant, therefore, absorbance (a) is. Since the concentration, path length and molar absorptivity are all directly proportional to the absorbance, we can write the following equation, which is known as. \[\log. Beer Lambert Law Relation Between.
From www.youtube.com
B.7 The Beer Lambert law (HL) YouTube Beer Lambert Law Relation Between In most experiments, molar absorptivity (ε) and the length (b) are constant, therefore, absorbance (a) is. \[\log \left( \frac{i_{o}}{i} \right)=a=\varepsilon l c\] the. Since the concentration, path length and molar absorptivity are all directly proportional to the absorbance, we can write the following equation, which is known as. It provides a mathematical relationship between the substance’s concentration in a solution. Beer Lambert Law Relation Between.
From www.youtube.com
Introduction to UVVis Spectroscopy 03 BeerLambert Law YouTube Beer Lambert Law Relation Between Since the concentration, path length and molar absorptivity are all directly proportional to the absorbance, we can write the following equation, which is known as. \[\log \left( \frac{i_{o}}{i} \right)=a=\varepsilon l c\] the. In most experiments, molar absorptivity (ε) and the length (b) are constant, therefore, absorbance (a) is. It provides a mathematical relationship between the substance’s concentration in a solution. Beer Lambert Law Relation Between.
From testbook.com
Derivation of BeerLambert Law Statement, Formula, Graph, Uses Beer Lambert Law Relation Between It provides a mathematical relationship between the substance’s concentration in a solution and its ability to absorb light. \[\log \left( \frac{i_{o}}{i} \right)=a=\varepsilon l c\] the. Since the concentration, path length and molar absorptivity are all directly proportional to the absorbance, we can write the following equation, which is known as. In most experiments, molar absorptivity (ε) and the length (b). Beer Lambert Law Relation Between.
From www.chegg.com
Solved explain relation of BeerLambert Law with absorption Beer Lambert Law Relation Between Since the concentration, path length and molar absorptivity are all directly proportional to the absorbance, we can write the following equation, which is known as. \[\log \left( \frac{i_{o}}{i} \right)=a=\varepsilon l c\] the. It provides a mathematical relationship between the substance’s concentration in a solution and its ability to absorb light. In most experiments, molar absorptivity (ε) and the length (b). Beer Lambert Law Relation Between.
From www.slideserve.com
PPT Chemical PowerPoint Presentation, free download ID2736250 Beer Lambert Law Relation Between Since the concentration, path length and molar absorptivity are all directly proportional to the absorbance, we can write the following equation, which is known as. It provides a mathematical relationship between the substance’s concentration in a solution and its ability to absorb light. In most experiments, molar absorptivity (ε) and the length (b) are constant, therefore, absorbance (a) is. \[\log. Beer Lambert Law Relation Between.
From www.youtube.com
Beer and Lambert Law Derivation YouTube Beer Lambert Law Relation Between Since the concentration, path length and molar absorptivity are all directly proportional to the absorbance, we can write the following equation, which is known as. It provides a mathematical relationship between the substance’s concentration in a solution and its ability to absorb light. In most experiments, molar absorptivity (ε) and the length (b) are constant, therefore, absorbance (a) is. \[\log. Beer Lambert Law Relation Between.
From www.slideserve.com
PPT Atomic Absorption Spectroscopy (AAS)I PowerPoint Presentation Beer Lambert Law Relation Between In most experiments, molar absorptivity (ε) and the length (b) are constant, therefore, absorbance (a) is. \[\log \left( \frac{i_{o}}{i} \right)=a=\varepsilon l c\] the. It provides a mathematical relationship between the substance’s concentration in a solution and its ability to absorb light. Since the concentration, path length and molar absorptivity are all directly proportional to the absorbance, we can write the. Beer Lambert Law Relation Between.
From www.youtube.com
Analytical Instrumentation Tutorial 2 Beer Lambert Law YouTube Beer Lambert Law Relation Between \[\log \left( \frac{i_{o}}{i} \right)=a=\varepsilon l c\] the. In most experiments, molar absorptivity (ε) and the length (b) are constant, therefore, absorbance (a) is. Since the concentration, path length and molar absorptivity are all directly proportional to the absorbance, we can write the following equation, which is known as. It provides a mathematical relationship between the substance’s concentration in a solution. Beer Lambert Law Relation Between.
From www.slideserve.com
PPT Absorption and Scattering PowerPoint Presentation ID2407461 Beer Lambert Law Relation Between Since the concentration, path length and molar absorptivity are all directly proportional to the absorbance, we can write the following equation, which is known as. It provides a mathematical relationship between the substance’s concentration in a solution and its ability to absorb light. \[\log \left( \frac{i_{o}}{i} \right)=a=\varepsilon l c\] the. In most experiments, molar absorptivity (ε) and the length (b). Beer Lambert Law Relation Between.
From www.researchgate.net
1 a Schematic representation for BeerLambert law for the measurement Beer Lambert Law Relation Between It provides a mathematical relationship between the substance’s concentration in a solution and its ability to absorb light. In most experiments, molar absorptivity (ε) and the length (b) are constant, therefore, absorbance (a) is. Since the concentration, path length and molar absorptivity are all directly proportional to the absorbance, we can write the following equation, which is known as. \[\log. Beer Lambert Law Relation Between.
From www.scienceabc.com
Beers Law Definition, History, Equation, Formula And Example Beer Lambert Law Relation Between \[\log \left( \frac{i_{o}}{i} \right)=a=\varepsilon l c\] the. In most experiments, molar absorptivity (ε) and the length (b) are constant, therefore, absorbance (a) is. It provides a mathematical relationship between the substance’s concentration in a solution and its ability to absorb light. Since the concentration, path length and molar absorptivity are all directly proportional to the absorbance, we can write the. Beer Lambert Law Relation Between.