Spearfish South Dakota Weather 1943 . Chinook winds were behind the temperature rise, measured at. The highest temperature recorded in spearfish, south dakota in 1943 was 99 °f which happened 2 different times. It was 75 years ago january 22, 1943 when spearfish, sd. On january 22nd, 1943, spearfish achieved a world record for the largest variance in temperature in the shortest amount of time. Set and still holds the record for fastest temperature change. That saying was certainly correct in the northern black hills during the winter of 1943 when a warm chinook wind brought the temperature in spearfish from minus 4 degrees to plus 45 degrees fahrenheit in just two minutes, a world record for fastest temperature change.
from www.numerade.com
It was 75 years ago january 22, 1943 when spearfish, sd. Set and still holds the record for fastest temperature change. On january 22nd, 1943, spearfish achieved a world record for the largest variance in temperature in the shortest amount of time. The highest temperature recorded in spearfish, south dakota in 1943 was 99 °f which happened 2 different times. That saying was certainly correct in the northern black hills during the winter of 1943 when a warm chinook wind brought the temperature in spearfish from minus 4 degrees to plus 45 degrees fahrenheit in just two minutes, a world record for fastest temperature change. Chinook winds were behind the temperature rise, measured at.
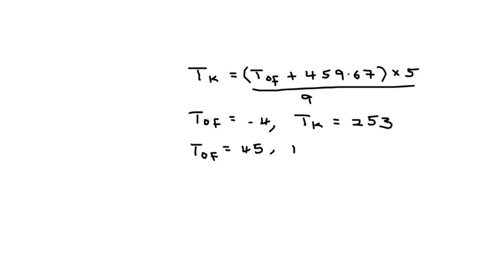
⏩SOLVED(a) On January 22, 1943, the temperature in Spearfish, South
Spearfish South Dakota Weather 1943 The highest temperature recorded in spearfish, south dakota in 1943 was 99 °f which happened 2 different times. On january 22nd, 1943, spearfish achieved a world record for the largest variance in temperature in the shortest amount of time. Set and still holds the record for fastest temperature change. That saying was certainly correct in the northern black hills during the winter of 1943 when a warm chinook wind brought the temperature in spearfish from minus 4 degrees to plus 45 degrees fahrenheit in just two minutes, a world record for fastest temperature change. The highest temperature recorded in spearfish, south dakota in 1943 was 99 °f which happened 2 different times. It was 75 years ago january 22, 1943 when spearfish, sd. Chinook winds were behind the temperature rise, measured at.
From ksoo.com
Thrillist Spearfish is the Best Small Town in South Dakota Spearfish South Dakota Weather 1943 On january 22nd, 1943, spearfish achieved a world record for the largest variance in temperature in the shortest amount of time. It was 75 years ago january 22, 1943 when spearfish, sd. The highest temperature recorded in spearfish, south dakota in 1943 was 99 °f which happened 2 different times. Chinook winds were behind the temperature rise, measured at. That. Spearfish South Dakota Weather 1943.
From www.weather.gov
This Day in Weather History January 22nd Spearfish South Dakota Weather 1943 The highest temperature recorded in spearfish, south dakota in 1943 was 99 °f which happened 2 different times. On january 22nd, 1943, spearfish achieved a world record for the largest variance in temperature in the shortest amount of time. Set and still holds the record for fastest temperature change. Chinook winds were behind the temperature rise, measured at. It was. Spearfish South Dakota Weather 1943.
From www.numerade.com
SOLVED(a) On January 22,1943, the temperature in Spearfish, South Spearfish South Dakota Weather 1943 Chinook winds were behind the temperature rise, measured at. It was 75 years ago january 22, 1943 when spearfish, sd. That saying was certainly correct in the northern black hills during the winter of 1943 when a warm chinook wind brought the temperature in spearfish from minus 4 degrees to plus 45 degrees fahrenheit in just two minutes, a world. Spearfish South Dakota Weather 1943.
From www.cracked.com
20 ToeTapping Facts That Really Tuned Our Radios Spearfish South Dakota Weather 1943 The highest temperature recorded in spearfish, south dakota in 1943 was 99 °f which happened 2 different times. Chinook winds were behind the temperature rise, measured at. That saying was certainly correct in the northern black hills during the winter of 1943 when a warm chinook wind brought the temperature in spearfish from minus 4 degrees to plus 45 degrees. Spearfish South Dakota Weather 1943.
From www.numerade.com
⏩SOLVED(a) On January 22, 1943, the temperature in Spearfish, South Spearfish South Dakota Weather 1943 Chinook winds were behind the temperature rise, measured at. On january 22nd, 1943, spearfish achieved a world record for the largest variance in temperature in the shortest amount of time. Set and still holds the record for fastest temperature change. That saying was certainly correct in the northern black hills during the winter of 1943 when a warm chinook wind. Spearfish South Dakota Weather 1943.
From www.sdpb.org
Spearfish's World Record Temperature Change 1943 sodakpb Spearfish South Dakota Weather 1943 That saying was certainly correct in the northern black hills during the winter of 1943 when a warm chinook wind brought the temperature in spearfish from minus 4 degrees to plus 45 degrees fahrenheit in just two minutes, a world record for fastest temperature change. Set and still holds the record for fastest temperature change. The highest temperature recorded in. Spearfish South Dakota Weather 1943.
From snoflo.org
Spearfish City Campground Camping Area SouthDakota Amenities & Weather Spearfish South Dakota Weather 1943 The highest temperature recorded in spearfish, south dakota in 1943 was 99 °f which happened 2 different times. That saying was certainly correct in the northern black hills during the winter of 1943 when a warm chinook wind brought the temperature in spearfish from minus 4 degrees to plus 45 degrees fahrenheit in just two minutes, a world record for. Spearfish South Dakota Weather 1943.
From www.onlyinyourstate.com
The Bizarre Weather Phenomenon Of Spearfish, South Dakota Spearfish South Dakota Weather 1943 On january 22nd, 1943, spearfish achieved a world record for the largest variance in temperature in the shortest amount of time. Set and still holds the record for fastest temperature change. That saying was certainly correct in the northern black hills during the winter of 1943 when a warm chinook wind brought the temperature in spearfish from minus 4 degrees. Spearfish South Dakota Weather 1943.
From www.onlyinyourstate.com
The Bizarre Weather Phenomenon Of Spearfish, South Dakota Spearfish South Dakota Weather 1943 That saying was certainly correct in the northern black hills during the winter of 1943 when a warm chinook wind brought the temperature in spearfish from minus 4 degrees to plus 45 degrees fahrenheit in just two minutes, a world record for fastest temperature change. Set and still holds the record for fastest temperature change. It was 75 years ago. Spearfish South Dakota Weather 1943.
From www.sdpb.org
Spearfish's World Record Temperature Change 1943 SDPB Spearfish South Dakota Weather 1943 The highest temperature recorded in spearfish, south dakota in 1943 was 99 °f which happened 2 different times. Chinook winds were behind the temperature rise, measured at. That saying was certainly correct in the northern black hills during the winter of 1943 when a warm chinook wind brought the temperature in spearfish from minus 4 degrees to plus 45 degrees. Spearfish South Dakota Weather 1943.
From www.chegg.com
Solved On January 22, 1943, the temperature in Spearfish, Spearfish South Dakota Weather 1943 It was 75 years ago january 22, 1943 when spearfish, sd. Set and still holds the record for fastest temperature change. That saying was certainly correct in the northern black hills during the winter of 1943 when a warm chinook wind brought the temperature in spearfish from minus 4 degrees to plus 45 degrees fahrenheit in just two minutes, a. Spearfish South Dakota Weather 1943.
From weird-facts.org
Weird Facts, On January 22, 1943 in Spearfish, South Dakota,... Spearfish South Dakota Weather 1943 Chinook winds were behind the temperature rise, measured at. The highest temperature recorded in spearfish, south dakota in 1943 was 99 °f which happened 2 different times. That saying was certainly correct in the northern black hills during the winter of 1943 when a warm chinook wind brought the temperature in spearfish from minus 4 degrees to plus 45 degrees. Spearfish South Dakota Weather 1943.
From www.numerade.com
SOLVED(a) On January 22,1943 , the temperature in Spearfish, South Spearfish South Dakota Weather 1943 The highest temperature recorded in spearfish, south dakota in 1943 was 99 °f which happened 2 different times. On january 22nd, 1943, spearfish achieved a world record for the largest variance in temperature in the shortest amount of time. Set and still holds the record for fastest temperature change. It was 75 years ago january 22, 1943 when spearfish, sd.. Spearfish South Dakota Weather 1943.
From hot1047.com
75 years Ago Spearfish, South Dakota Set a Weather Record Spearfish South Dakota Weather 1943 Chinook winds were behind the temperature rise, measured at. Set and still holds the record for fastest temperature change. That saying was certainly correct in the northern black hills during the winter of 1943 when a warm chinook wind brought the temperature in spearfish from minus 4 degrees to plus 45 degrees fahrenheit in just two minutes, a world record. Spearfish South Dakota Weather 1943.
From chinookdays.com
Spearfish's World Record Temperature Change 1943 Chinook Days Spearfish South Dakota Weather 1943 Chinook winds were behind the temperature rise, measured at. The highest temperature recorded in spearfish, south dakota in 1943 was 99 °f which happened 2 different times. That saying was certainly correct in the northern black hills during the winter of 1943 when a warm chinook wind brought the temperature in spearfish from minus 4 degrees to plus 45 degrees. Spearfish South Dakota Weather 1943.
From www.worldatlas.com
Spearfish, South Dakota WorldAtlas Spearfish South Dakota Weather 1943 Set and still holds the record for fastest temperature change. Chinook winds were behind the temperature rise, measured at. On january 22nd, 1943, spearfish achieved a world record for the largest variance in temperature in the shortest amount of time. The highest temperature recorded in spearfish, south dakota in 1943 was 99 °f which happened 2 different times. That saying. Spearfish South Dakota Weather 1943.
From www.weather.gov
December 1216, 2022 Blizzard Spearfish South Dakota Weather 1943 The highest temperature recorded in spearfish, south dakota in 1943 was 99 °f which happened 2 different times. Set and still holds the record for fastest temperature change. On january 22nd, 1943, spearfish achieved a world record for the largest variance in temperature in the shortest amount of time. That saying was certainly correct in the northern black hills during. Spearfish South Dakota Weather 1943.
From www.timeanddate.com
Past Weather in Spearfish, South Dakota, USA — Yesterday or Further Back Spearfish South Dakota Weather 1943 Chinook winds were behind the temperature rise, measured at. The highest temperature recorded in spearfish, south dakota in 1943 was 99 °f which happened 2 different times. On january 22nd, 1943, spearfish achieved a world record for the largest variance in temperature in the shortest amount of time. That saying was certainly correct in the northern black hills during the. Spearfish South Dakota Weather 1943.
From chinookdays.com
Spearfish's World Record Temperature Change 1943 Chinook Days Spearfish South Dakota Weather 1943 That saying was certainly correct in the northern black hills during the winter of 1943 when a warm chinook wind brought the temperature in spearfish from minus 4 degrees to plus 45 degrees fahrenheit in just two minutes, a world record for fastest temperature change. The highest temperature recorded in spearfish, south dakota in 1943 was 99 °f which happened. Spearfish South Dakota Weather 1943.
From www.chegg.com
Solved On January 22,1943 , the temperature in Spearfish, Spearfish South Dakota Weather 1943 That saying was certainly correct in the northern black hills during the winter of 1943 when a warm chinook wind brought the temperature in spearfish from minus 4 degrees to plus 45 degrees fahrenheit in just two minutes, a world record for fastest temperature change. It was 75 years ago january 22, 1943 when spearfish, sd. On january 22nd, 1943,. Spearfish South Dakota Weather 1943.
From www.weathernationtv.com
The Day Spearfish, South Dakota Set a World Record WeatherNation Spearfish South Dakota Weather 1943 On january 22nd, 1943, spearfish achieved a world record for the largest variance in temperature in the shortest amount of time. That saying was certainly correct in the northern black hills during the winter of 1943 when a warm chinook wind brought the temperature in spearfish from minus 4 degrees to plus 45 degrees fahrenheit in just two minutes, a. Spearfish South Dakota Weather 1943.
From www.onlyinyourstate.com
In 1943, A Bizarre Weather Phenomenon Cracked Windows In Spearfish Spearfish South Dakota Weather 1943 Set and still holds the record for fastest temperature change. That saying was certainly correct in the northern black hills during the winter of 1943 when a warm chinook wind brought the temperature in spearfish from minus 4 degrees to plus 45 degrees fahrenheit in just two minutes, a world record for fastest temperature change. On january 22nd, 1943, spearfish. Spearfish South Dakota Weather 1943.
From weather.com
Midwest Temperature Change Is No Match For These Seven Major Spearfish South Dakota Weather 1943 On january 22nd, 1943, spearfish achieved a world record for the largest variance in temperature in the shortest amount of time. Chinook winds were behind the temperature rise, measured at. That saying was certainly correct in the northern black hills during the winter of 1943 when a warm chinook wind brought the temperature in spearfish from minus 4 degrees to. Spearfish South Dakota Weather 1943.
From www.sdpb.org
Spearfish's World Record Temperature Change 1943 Spearfish South Dakota Weather 1943 That saying was certainly correct in the northern black hills during the winter of 1943 when a warm chinook wind brought the temperature in spearfish from minus 4 degrees to plus 45 degrees fahrenheit in just two minutes, a world record for fastest temperature change. Set and still holds the record for fastest temperature change. Chinook winds were behind the. Spearfish South Dakota Weather 1943.
From www.numerade.com
SOLVEDGreatest Temperature Change A world record for the greatest Spearfish South Dakota Weather 1943 That saying was certainly correct in the northern black hills during the winter of 1943 when a warm chinook wind brought the temperature in spearfish from minus 4 degrees to plus 45 degrees fahrenheit in just two minutes, a world record for fastest temperature change. On january 22nd, 1943, spearfish achieved a world record for the largest variance in temperature. Spearfish South Dakota Weather 1943.
From spearfishingarea.blogspot.com
[High Resolution] Weather Spearfish South Dakota Spearfish South Dakota Weather 1943 The highest temperature recorded in spearfish, south dakota in 1943 was 99 °f which happened 2 different times. Chinook winds were behind the temperature rise, measured at. Set and still holds the record for fastest temperature change. That saying was certainly correct in the northern black hills during the winter of 1943 when a warm chinook wind brought the temperature. Spearfish South Dakota Weather 1943.
From www.weather.gov
The Black Hills Remarkable Temperature Change of January 22, 1943 Spearfish South Dakota Weather 1943 On january 22nd, 1943, spearfish achieved a world record for the largest variance in temperature in the shortest amount of time. Set and still holds the record for fastest temperature change. That saying was certainly correct in the northern black hills during the winter of 1943 when a warm chinook wind brought the temperature in spearfish from minus 4 degrees. Spearfish South Dakota Weather 1943.
From www.reddit.com
TIL on 22nd January 1943, the temperature at Spearfish (South Dakota Spearfish South Dakota Weather 1943 On january 22nd, 1943, spearfish achieved a world record for the largest variance in temperature in the shortest amount of time. The highest temperature recorded in spearfish, south dakota in 1943 was 99 °f which happened 2 different times. Set and still holds the record for fastest temperature change. That saying was certainly correct in the northern black hills during. Spearfish South Dakota Weather 1943.
From www.weather-us.com
Yearly & Monthly weather Spearfish, SD Spearfish South Dakota Weather 1943 It was 75 years ago january 22, 1943 when spearfish, sd. Set and still holds the record for fastest temperature change. Chinook winds were behind the temperature rise, measured at. That saying was certainly correct in the northern black hills during the winter of 1943 when a warm chinook wind brought the temperature in spearfish from minus 4 degrees to. Spearfish South Dakota Weather 1943.
From www.bartleby.com
Answered One January morning in 1943, a warm… bartleby Spearfish South Dakota Weather 1943 Set and still holds the record for fastest temperature change. On january 22nd, 1943, spearfish achieved a world record for the largest variance in temperature in the shortest amount of time. It was 75 years ago january 22, 1943 when spearfish, sd. The highest temperature recorded in spearfish, south dakota in 1943 was 99 °f which happened 2 different times.. Spearfish South Dakota Weather 1943.
From www.timeanddate.com
Past Weather in North Spearfish, South Dakota, USA — Yesterday or Spearfish South Dakota Weather 1943 Set and still holds the record for fastest temperature change. The highest temperature recorded in spearfish, south dakota in 1943 was 99 °f which happened 2 different times. It was 75 years ago january 22, 1943 when spearfish, sd. On january 22nd, 1943, spearfish achieved a world record for the largest variance in temperature in the shortest amount of time.. Spearfish South Dakota Weather 1943.
From www.chron.com
Notable weather events from the year you were born Spearfish South Dakota Weather 1943 Set and still holds the record for fastest temperature change. The highest temperature recorded in spearfish, south dakota in 1943 was 99 °f which happened 2 different times. That saying was certainly correct in the northern black hills during the winter of 1943 when a warm chinook wind brought the temperature in spearfish from minus 4 degrees to plus 45. Spearfish South Dakota Weather 1943.
From www.pinterest.com
Quick Fact On 22nd January 1943, the temperature at Spearfish (South Spearfish South Dakota Weather 1943 Set and still holds the record for fastest temperature change. The highest temperature recorded in spearfish, south dakota in 1943 was 99 °f which happened 2 different times. Chinook winds were behind the temperature rise, measured at. On january 22nd, 1943, spearfish achieved a world record for the largest variance in temperature in the shortest amount of time. That saying. Spearfish South Dakota Weather 1943.
From kxrb.com
Spearfish 1943 South Dakota's Strangest Weather Day Ever Spearfish South Dakota Weather 1943 It was 75 years ago january 22, 1943 when spearfish, sd. Chinook winds were behind the temperature rise, measured at. The highest temperature recorded in spearfish, south dakota in 1943 was 99 °f which happened 2 different times. Set and still holds the record for fastest temperature change. That saying was certainly correct in the northern black hills during the. Spearfish South Dakota Weather 1943.
From www.numerade.com
SOLVED (a) On January 22, 1943, the temperature in Spearfish, South Spearfish South Dakota Weather 1943 The highest temperature recorded in spearfish, south dakota in 1943 was 99 °f which happened 2 different times. Set and still holds the record for fastest temperature change. That saying was certainly correct in the northern black hills during the winter of 1943 when a warm chinook wind brought the temperature in spearfish from minus 4 degrees to plus 45. Spearfish South Dakota Weather 1943.