How Much Power Does A Receiver Need . When picking a receiver, you’ll need to choose one that will deliver a constant wattage within the recommended speaker power rating. Av receivers have two power ratings: How much power do i need? Rms power offers a dependable metric for a receiver’s. An av receiver’s power rating indicates the electrical energy it can supply to speakers for generating sound. How much power do you need? Power ratings are not standardized, which means checking the wattage specs won’t tell you anything. The ideal wattage for your receiver depends on the power requirements of your speakers. Each channel that an av receiver supports will need the power to run. Rms (rated power) is the continuous power that the amplifier can deliver without distortion, and peak power is the maximum power that the amplifier can deliver in short bursts. What that means is if you get a 100 watts per channel receiver, it won’t sound louder than a 50 watts per channel receiver. Commonly, receivers for home theater are rated between 80 and 150 watts per channel.
from www.themasterswitch.com
An av receiver’s power rating indicates the electrical energy it can supply to speakers for generating sound. When picking a receiver, you’ll need to choose one that will deliver a constant wattage within the recommended speaker power rating. Commonly, receivers for home theater are rated between 80 and 150 watts per channel. The ideal wattage for your receiver depends on the power requirements of your speakers. Rms power offers a dependable metric for a receiver’s. How much power do you need? Each channel that an av receiver supports will need the power to run. What that means is if you get a 100 watts per channel receiver, it won’t sound louder than a 50 watts per channel receiver. Rms (rated power) is the continuous power that the amplifier can deliver without distortion, and peak power is the maximum power that the amplifier can deliver in short bursts. Av receivers have two power ratings:
How to Choose an AV Receiver The Master Switch
How Much Power Does A Receiver Need When picking a receiver, you’ll need to choose one that will deliver a constant wattage within the recommended speaker power rating. Power ratings are not standardized, which means checking the wattage specs won’t tell you anything. What that means is if you get a 100 watts per channel receiver, it won’t sound louder than a 50 watts per channel receiver. Commonly, receivers for home theater are rated between 80 and 150 watts per channel. When picking a receiver, you’ll need to choose one that will deliver a constant wattage within the recommended speaker power rating. Rms power offers a dependable metric for a receiver’s. Av receivers have two power ratings: How much power do i need? How much power do you need? An av receiver’s power rating indicates the electrical energy it can supply to speakers for generating sound. The ideal wattage for your receiver depends on the power requirements of your speakers. Each channel that an av receiver supports will need the power to run. Rms (rated power) is the continuous power that the amplifier can deliver without distortion, and peak power is the maximum power that the amplifier can deliver in short bursts.
From www.zpag.net
27 MHz transmitter receiver 03 How Much Power Does A Receiver Need Rms (rated power) is the continuous power that the amplifier can deliver without distortion, and peak power is the maximum power that the amplifier can deliver in short bursts. An av receiver’s power rating indicates the electrical energy it can supply to speakers for generating sound. Each channel that an av receiver supports will need the power to run. Av. How Much Power Does A Receiver Need.
From poweringsolution.com
Do Radios Use a Lot of Electricity (Usage Cost Explained) Powering How Much Power Does A Receiver Need When picking a receiver, you’ll need to choose one that will deliver a constant wattage within the recommended speaker power rating. The ideal wattage for your receiver depends on the power requirements of your speakers. What that means is if you get a 100 watts per channel receiver, it won’t sound louder than a 50 watts per channel receiver. Av. How Much Power Does A Receiver Need.
From hometheaterreviewpro.com
How Much Power Does An AV Receiver Need Home Theater Review Pro How Much Power Does A Receiver Need What that means is if you get a 100 watts per channel receiver, it won’t sound louder than a 50 watts per channel receiver. Each channel that an av receiver supports will need the power to run. Commonly, receivers for home theater are rated between 80 and 150 watts per channel. How much power do i need? How much power. How Much Power Does A Receiver Need.
From hometheaterheroes.com
How Much Space Do You Need Around an AV Receiver? Home Theater Heroes How Much Power Does A Receiver Need Rms (rated power) is the continuous power that the amplifier can deliver without distortion, and peak power is the maximum power that the amplifier can deliver in short bursts. When picking a receiver, you’ll need to choose one that will deliver a constant wattage within the recommended speaker power rating. An av receiver’s power rating indicates the electrical energy it. How Much Power Does A Receiver Need.
From www.numerade.com
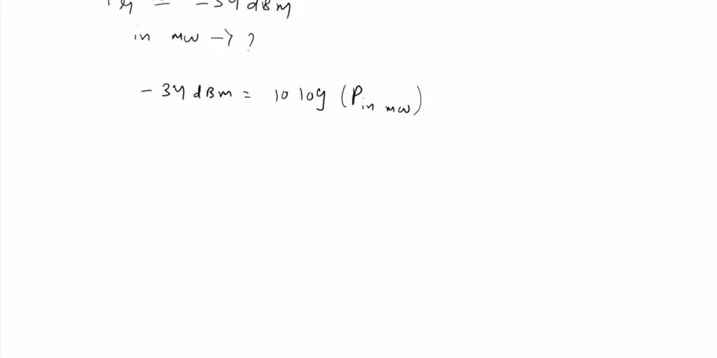
SOLVED To operate properly, a fiber optic receiver requires 34 dBm How Much Power Does A Receiver Need Each channel that an av receiver supports will need the power to run. Rms (rated power) is the continuous power that the amplifier can deliver without distortion, and peak power is the maximum power that the amplifier can deliver in short bursts. Rms power offers a dependable metric for a receiver’s. Commonly, receivers for home theater are rated between 80. How Much Power Does A Receiver Need.
From gizmoszone.com
How Much Power Does a Network Switch Use? Gizmos Zone How Much Power Does A Receiver Need Each channel that an av receiver supports will need the power to run. How much power do you need? When picking a receiver, you’ll need to choose one that will deliver a constant wattage within the recommended speaker power rating. Power ratings are not standardized, which means checking the wattage specs won’t tell you anything. How much power do i. How Much Power Does A Receiver Need.
From soundcertified.com
How To Connect A Subwoofer To A Receiver Without Subwoofer Outputs How Much Power Does A Receiver Need What that means is if you get a 100 watts per channel receiver, it won’t sound louder than a 50 watts per channel receiver. Power ratings are not standardized, which means checking the wattage specs won’t tell you anything. Rms power offers a dependable metric for a receiver’s. Rms (rated power) is the continuous power that the amplifier can deliver. How Much Power Does A Receiver Need.
From hometheaterheroes.com
How Much Electricity Does an AV Receiver Consume? Home Theater Heroes How Much Power Does A Receiver Need Each channel that an av receiver supports will need the power to run. How much power do i need? What that means is if you get a 100 watts per channel receiver, it won’t sound louder than a 50 watts per channel receiver. The ideal wattage for your receiver depends on the power requirements of your speakers. An av receiver’s. How Much Power Does A Receiver Need.
From www.makeuseof.com
How Much Power Does My Windows PC Use? Here's How to Find Out How Much Power Does A Receiver Need Power ratings are not standardized, which means checking the wattage specs won’t tell you anything. Commonly, receivers for home theater are rated between 80 and 150 watts per channel. When picking a receiver, you’ll need to choose one that will deliver a constant wattage within the recommended speaker power rating. Rms (rated power) is the continuous power that the amplifier. How Much Power Does A Receiver Need.
From robots.net
How Much Power Does An AV Receiver Use How Much Power Does A Receiver Need Rms power offers a dependable metric for a receiver’s. Commonly, receivers for home theater are rated between 80 and 150 watts per channel. Rms (rated power) is the continuous power that the amplifier can deliver without distortion, and peak power is the maximum power that the amplifier can deliver in short bursts. How much power do you need? Each channel. How Much Power Does A Receiver Need.
From solargenerator.guide
How Much Power Does a 100watt Solar Panel Produce How Much Power Does A Receiver Need What that means is if you get a 100 watts per channel receiver, it won’t sound louder than a 50 watts per channel receiver. Commonly, receivers for home theater are rated between 80 and 150 watts per channel. Each channel that an av receiver supports will need the power to run. How much power do i need? Rms (rated power). How Much Power Does A Receiver Need.
From www.numerade.com
SOLVED a) Use the nodevoltage method to find v, U2, and 03 in the How Much Power Does A Receiver Need When picking a receiver, you’ll need to choose one that will deliver a constant wattage within the recommended speaker power rating. How much power do you need? What that means is if you get a 100 watts per channel receiver, it won’t sound louder than a 50 watts per channel receiver. Av receivers have two power ratings: Rms power offers. How Much Power Does A Receiver Need.
From electronics.stackexchange.com
How much power does a receiver antenna obtain from a radio station How Much Power Does A Receiver Need Rms (rated power) is the continuous power that the amplifier can deliver without distortion, and peak power is the maximum power that the amplifier can deliver in short bursts. How much power do you need? The ideal wattage for your receiver depends on the power requirements of your speakers. Each channel that an av receiver supports will need the power. How Much Power Does A Receiver Need.
From www.smc-entertainment.com
What is preout on AV receiver? How Much Power Does A Receiver Need Power ratings are not standardized, which means checking the wattage specs won’t tell you anything. What that means is if you get a 100 watts per channel receiver, it won’t sound louder than a 50 watts per channel receiver. Commonly, receivers for home theater are rated between 80 and 150 watts per channel. Rms power offers a dependable metric for. How Much Power Does A Receiver Need.
From mydecorative.com
How Much Power Does A TV Use? My Decorative How Much Power Does A Receiver Need What that means is if you get a 100 watts per channel receiver, it won’t sound louder than a 50 watts per channel receiver. Rms power offers a dependable metric for a receiver’s. How much power do you need? Power ratings are not standardized, which means checking the wattage specs won’t tell you anything. How much power do i need?. How Much Power Does A Receiver Need.
From www.residencestyle.com
How to Connect Receiver with Turntable How Much Power Does A Receiver Need Av receivers have two power ratings: An av receiver’s power rating indicates the electrical energy it can supply to speakers for generating sound. Power ratings are not standardized, which means checking the wattage specs won’t tell you anything. How much power do you need? Rms power offers a dependable metric for a receiver’s. When picking a receiver, you’ll need to. How Much Power Does A Receiver Need.
From www.instructables.com
Wireless Power Transmitter and Receiver 6 Steps Instructables How Much Power Does A Receiver Need The ideal wattage for your receiver depends on the power requirements of your speakers. When picking a receiver, you’ll need to choose one that will deliver a constant wattage within the recommended speaker power rating. How much power do i need? An av receiver’s power rating indicates the electrical energy it can supply to speakers for generating sound. Rms power. How Much Power Does A Receiver Need.
From thetechholics.com
AV Receiver Reviews [Everything You Need To know] How Much Power Does A Receiver Need Each channel that an av receiver supports will need the power to run. Commonly, receivers for home theater are rated between 80 and 150 watts per channel. How much power do you need? Rms power offers a dependable metric for a receiver’s. How much power do i need? An av receiver’s power rating indicates the electrical energy it can supply. How Much Power Does A Receiver Need.
From www.extremeavs.com
Home Theater Speaker Receivers Suffolk County Audio Control How Much Power Does A Receiver Need How much power do you need? When picking a receiver, you’ll need to choose one that will deliver a constant wattage within the recommended speaker power rating. Rms power offers a dependable metric for a receiver’s. An av receiver’s power rating indicates the electrical energy it can supply to speakers for generating sound. Commonly, receivers for home theater are rated. How Much Power Does A Receiver Need.
From downhomedigital.net
Best AV Receivers in 2024 [Top 8 On The Market] How Much Power Does A Receiver Need Rms (rated power) is the continuous power that the amplifier can deliver without distortion, and peak power is the maximum power that the amplifier can deliver in short bursts. Each channel that an av receiver supports will need the power to run. What that means is if you get a 100 watts per channel receiver, it won’t sound louder than. How Much Power Does A Receiver Need.
From www.cgdirector.com
What Power Supply Do You Have? [How to Check your PC's PSU] How Much Power Does A Receiver Need The ideal wattage for your receiver depends on the power requirements of your speakers. Commonly, receivers for home theater are rated between 80 and 150 watts per channel. Rms (rated power) is the continuous power that the amplifier can deliver without distortion, and peak power is the maximum power that the amplifier can deliver in short bursts. When picking a. How Much Power Does A Receiver Need.
From ridereview.com
How much power does an electric motorcycle need? Ride Review How Much Power Does A Receiver Need How much power do you need? Each channel that an av receiver supports will need the power to run. Power ratings are not standardized, which means checking the wattage specs won’t tell you anything. An av receiver’s power rating indicates the electrical energy it can supply to speakers for generating sound. Av receivers have two power ratings: The ideal wattage. How Much Power Does A Receiver Need.
From www.halooffliesrecords.com
Speaker Wire Connection Made Easy [A Complete Guide] How Much Power Does A Receiver Need When picking a receiver, you’ll need to choose one that will deliver a constant wattage within the recommended speaker power rating. What that means is if you get a 100 watts per channel receiver, it won’t sound louder than a 50 watts per channel receiver. Each channel that an av receiver supports will need the power to run. Commonly, receivers. How Much Power Does A Receiver Need.
From smarthomelady.com
How Much Power Does A CCTV Camera Use? Statistics Smart Home Lady How Much Power Does A Receiver Need An av receiver’s power rating indicates the electrical energy it can supply to speakers for generating sound. Power ratings are not standardized, which means checking the wattage specs won’t tell you anything. The ideal wattage for your receiver depends on the power requirements of your speakers. Rms (rated power) is the continuous power that the amplifier can deliver without distortion,. How Much Power Does A Receiver Need.
From favpng.com
Preamplifier Phonograph Wiring Diagram AV Receiver Electrical Wires How Much Power Does A Receiver Need Rms (rated power) is the continuous power that the amplifier can deliver without distortion, and peak power is the maximum power that the amplifier can deliver in short bursts. Rms power offers a dependable metric for a receiver’s. How much power do i need? When picking a receiver, you’ll need to choose one that will deliver a constant wattage within. How Much Power Does A Receiver Need.
From boomspeaker.com
How to Connect a Subwoofer to a Receiver or Amplifier BoomSpeaker How Much Power Does A Receiver Need Rms power offers a dependable metric for a receiver’s. Rms (rated power) is the continuous power that the amplifier can deliver without distortion, and peak power is the maximum power that the amplifier can deliver in short bursts. An av receiver’s power rating indicates the electrical energy it can supply to speakers for generating sound. Commonly, receivers for home theater. How Much Power Does A Receiver Need.
From www.themasterswitch.com
How to Choose an AV Receiver The Master Switch How Much Power Does A Receiver Need Rms power offers a dependable metric for a receiver’s. Each channel that an av receiver supports will need the power to run. Av receivers have two power ratings: An av receiver’s power rating indicates the electrical energy it can supply to speakers for generating sound. Commonly, receivers for home theater are rated between 80 and 150 watts per channel. Power. How Much Power Does A Receiver Need.
From energyminute.ca
How Much Power Does An EV Use? ENERGYminute How Much Power Does A Receiver Need When picking a receiver, you’ll need to choose one that will deliver a constant wattage within the recommended speaker power rating. How much power do i need? Av receivers have two power ratings: Each channel that an av receiver supports will need the power to run. Rms power offers a dependable metric for a receiver’s. What that means is if. How Much Power Does A Receiver Need.
From www.youtube.com
longrange COFDM 10W 20W PA Wireless Video Transmitter and Receiver How Much Power Does A Receiver Need Rms (rated power) is the continuous power that the amplifier can deliver without distortion, and peak power is the maximum power that the amplifier can deliver in short bursts. How much power do i need? What that means is if you get a 100 watts per channel receiver, it won’t sound louder than a 50 watts per channel receiver. When. How Much Power Does A Receiver Need.
From hxedtpbxf.blob.core.windows.net
How Does An Amplifier Work With A Receiver at Eleanor Cordero blog How Much Power Does A Receiver Need When picking a receiver, you’ll need to choose one that will deliver a constant wattage within the recommended speaker power rating. An av receiver’s power rating indicates the electrical energy it can supply to speakers for generating sound. Commonly, receivers for home theater are rated between 80 and 150 watts per channel. Rms power offers a dependable metric for a. How Much Power Does A Receiver Need.
From downhomedigital.net
3 Best Yamaha Receivers Review 2021 [Awesome Sound] How Much Power Does A Receiver Need Commonly, receivers for home theater are rated between 80 and 150 watts per channel. Av receivers have two power ratings: Rms (rated power) is the continuous power that the amplifier can deliver without distortion, and peak power is the maximum power that the amplifier can deliver in short bursts. How much power do i need? The ideal wattage for your. How Much Power Does A Receiver Need.
From www.numerade.com
An AM transmitter has a carrier power of 30 W. The percentage of How Much Power Does A Receiver Need Rms power offers a dependable metric for a receiver’s. Each channel that an av receiver supports will need the power to run. How much power do you need? The ideal wattage for your receiver depends on the power requirements of your speakers. Commonly, receivers for home theater are rated between 80 and 150 watts per channel. An av receiver’s power. How Much Power Does A Receiver Need.
From thetechholics.com
How Many Channels Do I Need in My AV Receiver? [Explained] How Much Power Does A Receiver Need Rms (rated power) is the continuous power that the amplifier can deliver without distortion, and peak power is the maximum power that the amplifier can deliver in short bursts. What that means is if you get a 100 watts per channel receiver, it won’t sound louder than a 50 watts per channel receiver. Commonly, receivers for home theater are rated. How Much Power Does A Receiver Need.
From www.youtube.com
How much power does Hikvision’s eDVR save? YouTube How Much Power Does A Receiver Need How much power do you need? Each channel that an av receiver supports will need the power to run. Rms power offers a dependable metric for a receiver’s. Rms (rated power) is the continuous power that the amplifier can deliver without distortion, and peak power is the maximum power that the amplifier can deliver in short bursts. Commonly, receivers for. How Much Power Does A Receiver Need.
From www.youtube.com
Electronics How much power does an FPGA use? (2 Solutions!!) YouTube How Much Power Does A Receiver Need An av receiver’s power rating indicates the electrical energy it can supply to speakers for generating sound. How much power do you need? Power ratings are not standardized, which means checking the wattage specs won’t tell you anything. Each channel that an av receiver supports will need the power to run. When picking a receiver, you’ll need to choose one. How Much Power Does A Receiver Need.