Amino Acid Glycine Balanced Equation . It is the smallest of all the amino acids and consists of a side chain along with a hydrogen molecule as. Glycine is the smallest of the 20 amino acids, and unlike the other amino acids, it does not have a significant side chain, allowing it to act as a. As a result, glycine is the only. The balanced equation will appear. The isoelectric point, pi, is the ph of an aqueous solution of an amino acid (or peptide) at which the molecules on average have no net charge. C 2 h 5 no 2. An equation for the formation of a polypeptide which is made only from glycine is: In other words, the positively charged groups are. To balance a chemical equation, enter an equation of a chemical reaction and press the balance button. Glycine has a chemical formula c 2 h 5 no 2. N glycine → poly(glycine) + water n h 2 nch 2 cooh → (.
from www.dreamstime.com
Glycine has a chemical formula c 2 h 5 no 2. As a result, glycine is the only. In other words, the positively charged groups are. The isoelectric point, pi, is the ph of an aqueous solution of an amino acid (or peptide) at which the molecules on average have no net charge. N glycine → poly(glycine) + water n h 2 nch 2 cooh → (. It is the smallest of all the amino acids and consists of a side chain along with a hydrogen molecule as. The balanced equation will appear. Glycine is the smallest of the 20 amino acids, and unlike the other amino acids, it does not have a significant side chain, allowing it to act as a. To balance a chemical equation, enter an equation of a chemical reaction and press the balance button. An equation for the formation of a polypeptide which is made only from glycine is:
Glycine, Amino Acid, Molecular Structures, 3d Model, Structural
Amino Acid Glycine Balanced Equation It is the smallest of all the amino acids and consists of a side chain along with a hydrogen molecule as. The balanced equation will appear. As a result, glycine is the only. It is the smallest of all the amino acids and consists of a side chain along with a hydrogen molecule as. N glycine → poly(glycine) + water n h 2 nch 2 cooh → (. Glycine is the smallest of the 20 amino acids, and unlike the other amino acids, it does not have a significant side chain, allowing it to act as a. C 2 h 5 no 2. Glycine has a chemical formula c 2 h 5 no 2. The isoelectric point, pi, is the ph of an aqueous solution of an amino acid (or peptide) at which the molecules on average have no net charge. To balance a chemical equation, enter an equation of a chemical reaction and press the balance button. In other words, the positively charged groups are. An equation for the formation of a polypeptide which is made only from glycine is:
From www.dreamstime.com
Glycine Amino Acid Structural Formula. Vector Illustration Stock Vector Amino Acid Glycine Balanced Equation N glycine → poly(glycine) + water n h 2 nch 2 cooh → (. The balanced equation will appear. Glycine has a chemical formula c 2 h 5 no 2. An equation for the formation of a polypeptide which is made only from glycine is: C 2 h 5 no 2. It is the smallest of all the amino acids. Amino Acid Glycine Balanced Equation.
From www.vectorstock.com
Amino acid glycine the chemical molecular formula Vector Image Amino Acid Glycine Balanced Equation As a result, glycine is the only. Glycine has a chemical formula c 2 h 5 no 2. The balanced equation will appear. In other words, the positively charged groups are. To balance a chemical equation, enter an equation of a chemical reaction and press the balance button. N glycine → poly(glycine) + water n h 2 nch 2 cooh. Amino Acid Glycine Balanced Equation.
From www.vectorstock.com
C2h5no2 glycine amino acid molecule Royalty Free Vector Amino Acid Glycine Balanced Equation Glycine has a chemical formula c 2 h 5 no 2. N glycine → poly(glycine) + water n h 2 nch 2 cooh → (. An equation for the formation of a polypeptide which is made only from glycine is: Glycine is the smallest of the 20 amino acids, and unlike the other amino acids, it does not have a. Amino Acid Glycine Balanced Equation.
From www.animalia-life.club
Glycine Amino Acid Structure Amino Acid Glycine Balanced Equation Glycine has a chemical formula c 2 h 5 no 2. C 2 h 5 no 2. N glycine → poly(glycine) + water n h 2 nch 2 cooh → (. In other words, the positively charged groups are. An equation for the formation of a polypeptide which is made only from glycine is: As a result, glycine is the. Amino Acid Glycine Balanced Equation.
From www.vectorstock.com
Glycine amino acid structural formula Royalty Free Vector Amino Acid Glycine Balanced Equation Glycine is the smallest of the 20 amino acids, and unlike the other amino acids, it does not have a significant side chain, allowing it to act as a. In other words, the positively charged groups are. An equation for the formation of a polypeptide which is made only from glycine is: The balanced equation will appear. It is the. Amino Acid Glycine Balanced Equation.
From www.dreamstime.com
Glycine (Gly, G) Amino Acid Molecule. (Chemical Formula C2H5NO2) Stock Amino Acid Glycine Balanced Equation It is the smallest of all the amino acids and consists of a side chain along with a hydrogen molecule as. To balance a chemical equation, enter an equation of a chemical reaction and press the balance button. N glycine → poly(glycine) + water n h 2 nch 2 cooh → (. C 2 h 5 no 2. The balanced. Amino Acid Glycine Balanced Equation.
From www.alamy.com
Glycine Amino Acid Molecule Ball and Stick Structure Stock Vector Image Amino Acid Glycine Balanced Equation The balanced equation will appear. In other words, the positively charged groups are. Glycine is the smallest of the 20 amino acids, and unlike the other amino acids, it does not have a significant side chain, allowing it to act as a. To balance a chemical equation, enter an equation of a chemical reaction and press the balance button. C. Amino Acid Glycine Balanced Equation.
From www.dreamstime.com
Glycine (Gly, G) Amino Acid Molecule. (Chemical Formula C2H5NO2) Stock Amino Acid Glycine Balanced Equation As a result, glycine is the only. It is the smallest of all the amino acids and consists of a side chain along with a hydrogen molecule as. The isoelectric point, pi, is the ph of an aqueous solution of an amino acid (or peptide) at which the molecules on average have no net charge. Glycine is the smallest of. Amino Acid Glycine Balanced Equation.
From www.masterorganicchemistry.com
Isoelectric Points of Amino Acids (and How To Calculate Them) Master Amino Acid Glycine Balanced Equation As a result, glycine is the only. An equation for the formation of a polypeptide which is made only from glycine is: Glycine has a chemical formula c 2 h 5 no 2. It is the smallest of all the amino acids and consists of a side chain along with a hydrogen molecule as. In other words, the positively charged. Amino Acid Glycine Balanced Equation.
From www.dreamstime.com
Glycine, Amino Acid, Molecular Structures, 3d Model, Structural Amino Acid Glycine Balanced Equation As a result, glycine is the only. An equation for the formation of a polypeptide which is made only from glycine is: Glycine is the smallest of the 20 amino acids, and unlike the other amino acids, it does not have a significant side chain, allowing it to act as a. The isoelectric point, pi, is the ph of an. Amino Acid Glycine Balanced Equation.
From www.numerade.com
SOLVED A molecule of glycine, the simplest amino acid, can bond to Amino Acid Glycine Balanced Equation The balanced equation will appear. The isoelectric point, pi, is the ph of an aqueous solution of an amino acid (or peptide) at which the molecules on average have no net charge. To balance a chemical equation, enter an equation of a chemical reaction and press the balance button. In other words, the positively charged groups are. It is the. Amino Acid Glycine Balanced Equation.
From www.alamy.com
Glycine content in food. Amino acid glycine chemical molecular formula Amino Acid Glycine Balanced Equation The isoelectric point, pi, is the ph of an aqueous solution of an amino acid (or peptide) at which the molecules on average have no net charge. To balance a chemical equation, enter an equation of a chemical reaction and press the balance button. It is the smallest of all the amino acids and consists of a side chain along. Amino Acid Glycine Balanced Equation.
From okgo.net
Glycine définition et explications, glycine Amino Acid Glycine Balanced Equation An equation for the formation of a polypeptide which is made only from glycine is: It is the smallest of all the amino acids and consists of a side chain along with a hydrogen molecule as. Glycine is the smallest of the 20 amino acids, and unlike the other amino acids, it does not have a significant side chain, allowing. Amino Acid Glycine Balanced Equation.
From www.slideserve.com
PPT Condensation of two a amino acids to form a dipeptide Amino Acid Glycine Balanced Equation Glycine is the smallest of the 20 amino acids, and unlike the other amino acids, it does not have a significant side chain, allowing it to act as a. To balance a chemical equation, enter an equation of a chemical reaction and press the balance button. C 2 h 5 no 2. Glycine has a chemical formula c 2 h. Amino Acid Glycine Balanced Equation.
From www.alamyimages.fr
Formule chimique glycine.Structure moléculaire chimique de la glycine Amino Acid Glycine Balanced Equation An equation for the formation of a polypeptide which is made only from glycine is: Glycine has a chemical formula c 2 h 5 no 2. As a result, glycine is the only. In other words, the positively charged groups are. It is the smallest of all the amino acids and consists of a side chain along with a hydrogen. Amino Acid Glycine Balanced Equation.
From www.alamy.com
The functions of glycine. Amino acid glycine chemical molecular formula Amino Acid Glycine Balanced Equation N glycine → poly(glycine) + water n h 2 nch 2 cooh → (. Glycine is the smallest of the 20 amino acids, and unlike the other amino acids, it does not have a significant side chain, allowing it to act as a. As a result, glycine is the only. Glycine has a chemical formula c 2 h 5 no. Amino Acid Glycine Balanced Equation.
From www.alamy.com
Glycine molecular formula. neutral glycine and zwitterionic glycine Amino Acid Glycine Balanced Equation To balance a chemical equation, enter an equation of a chemical reaction and press the balance button. Glycine is the smallest of the 20 amino acids, and unlike the other amino acids, it does not have a significant side chain, allowing it to act as a. C 2 h 5 no 2. N glycine → poly(glycine) + water n h. Amino Acid Glycine Balanced Equation.
From www.alamy.com
Amino acid Glycine. The chemical molecular formula of glycine is an Amino Acid Glycine Balanced Equation An equation for the formation of a polypeptide which is made only from glycine is: Glycine is the smallest of the 20 amino acids, and unlike the other amino acids, it does not have a significant side chain, allowing it to act as a. The balanced equation will appear. As a result, glycine is the only. N glycine → poly(glycine). Amino Acid Glycine Balanced Equation.
From www.numerade.com
SOLVED A molecule of glycine, the simplest amino acid, can bond to Amino Acid Glycine Balanced Equation Glycine is the smallest of the 20 amino acids, and unlike the other amino acids, it does not have a significant side chain, allowing it to act as a. As a result, glycine is the only. The isoelectric point, pi, is the ph of an aqueous solution of an amino acid (or peptide) at which the molecules on average have. Amino Acid Glycine Balanced Equation.
From www.researchgate.net
Structure of the amino acid Glycine (Gly), the least complex of all Amino Acid Glycine Balanced Equation The balanced equation will appear. Glycine is the smallest of the 20 amino acids, and unlike the other amino acids, it does not have a significant side chain, allowing it to act as a. The isoelectric point, pi, is the ph of an aqueous solution of an amino acid (or peptide) at which the molecules on average have no net. Amino Acid Glycine Balanced Equation.
From www.dreamstime.com
Amino Acid Glycine. the Chemical Molecular Formula of Glycine is an Amino Acid Glycine Balanced Equation The isoelectric point, pi, is the ph of an aqueous solution of an amino acid (or peptide) at which the molecules on average have no net charge. The balanced equation will appear. To balance a chemical equation, enter an equation of a chemical reaction and press the balance button. It is the smallest of all the amino acids and consists. Amino Acid Glycine Balanced Equation.
From www.alamy.com
Amino acid Glycine. The chemical molecular formula of glycine is an Amino Acid Glycine Balanced Equation The balanced equation will appear. Glycine has a chemical formula c 2 h 5 no 2. N glycine → poly(glycine) + water n h 2 nch 2 cooh → (. In other words, the positively charged groups are. An equation for the formation of a polypeptide which is made only from glycine is: As a result, glycine is the only.. Amino Acid Glycine Balanced Equation.
From www.sciencephoto.com
Glycine amino acid molecule Stock Image C030/0659 Science Photo Amino Acid Glycine Balanced Equation C 2 h 5 no 2. Glycine has a chemical formula c 2 h 5 no 2. The isoelectric point, pi, is the ph of an aqueous solution of an amino acid (or peptide) at which the molecules on average have no net charge. N glycine → poly(glycine) + water n h 2 nch 2 cooh → (. In other. Amino Acid Glycine Balanced Equation.
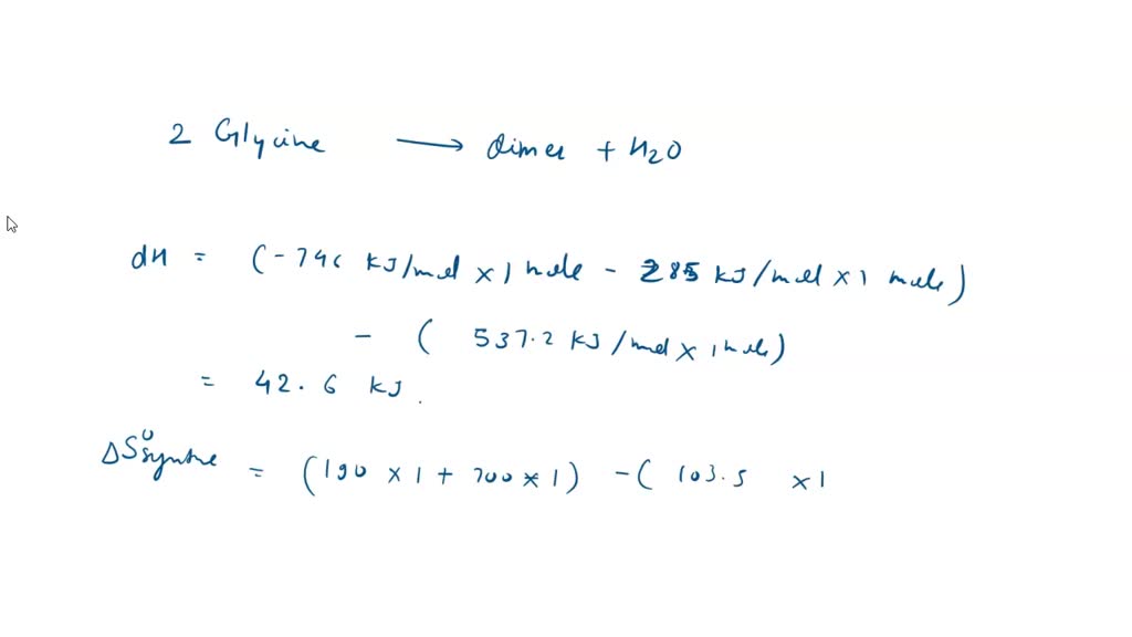
From www.slideserve.com
PPT Standard Thermodynamic Functions of Reaction PowerPoint Amino Acid Glycine Balanced Equation N glycine → poly(glycine) + water n h 2 nch 2 cooh → (. The isoelectric point, pi, is the ph of an aqueous solution of an amino acid (or peptide) at which the molecules on average have no net charge. An equation for the formation of a polypeptide which is made only from glycine is: C 2 h 5. Amino Acid Glycine Balanced Equation.
From www.vectorstock.com
Amino acid glycine the chemical molecular formula Vector Image Amino Acid Glycine Balanced Equation Glycine is the smallest of the 20 amino acids, and unlike the other amino acids, it does not have a significant side chain, allowing it to act as a. It is the smallest of all the amino acids and consists of a side chain along with a hydrogen molecule as. N glycine → poly(glycine) + water n h 2 nch. Amino Acid Glycine Balanced Equation.
From ar.inspiredpencil.com
Structural Formula Of Glycine Amino Acid Glycine Balanced Equation Glycine has a chemical formula c 2 h 5 no 2. The isoelectric point, pi, is the ph of an aqueous solution of an amino acid (or peptide) at which the molecules on average have no net charge. C 2 h 5 no 2. In other words, the positively charged groups are. The balanced equation will appear. N glycine →. Amino Acid Glycine Balanced Equation.
From www.researchgate.net
Reaction scheme producing amino acids (glycine, alanine and hydroxy Amino Acid Glycine Balanced Equation N glycine → poly(glycine) + water n h 2 nch 2 cooh → (. Glycine is the smallest of the 20 amino acids, and unlike the other amino acids, it does not have a significant side chain, allowing it to act as a. An equation for the formation of a polypeptide which is made only from glycine is: To balance. Amino Acid Glycine Balanced Equation.
From www.masterorganicchemistry.com
Isoelectric Points of Amino Acids (and How To Calculate Them) Master Amino Acid Glycine Balanced Equation N glycine → poly(glycine) + water n h 2 nch 2 cooh → (. As a result, glycine is the only. It is the smallest of all the amino acids and consists of a side chain along with a hydrogen molecule as. In other words, the positively charged groups are. An equation for the formation of a polypeptide which is. Amino Acid Glycine Balanced Equation.
From www.vectorstock.com
Glycine gly g amino acid molecule skeletal formula Amino Acid Glycine Balanced Equation An equation for the formation of a polypeptide which is made only from glycine is: Glycine is the smallest of the 20 amino acids, and unlike the other amino acids, it does not have a significant side chain, allowing it to act as a. It is the smallest of all the amino acids and consists of a side chain along. Amino Acid Glycine Balanced Equation.
From www.alamy.com
Glycine amino acid molecule Stock Vector Images Alamy Amino Acid Glycine Balanced Equation To balance a chemical equation, enter an equation of a chemical reaction and press the balance button. The isoelectric point, pi, is the ph of an aqueous solution of an amino acid (or peptide) at which the molecules on average have no net charge. N glycine → poly(glycine) + water n h 2 nch 2 cooh → (. C 2. Amino Acid Glycine Balanced Equation.
From www.alamy.com
Amino acid Glycine. The chemical molecular formula of glycine is an Amino Acid Glycine Balanced Equation The balanced equation will appear. It is the smallest of all the amino acids and consists of a side chain along with a hydrogen molecule as. To balance a chemical equation, enter an equation of a chemical reaction and press the balance button. In other words, the positively charged groups are. As a result, glycine is the only. Glycine is. Amino Acid Glycine Balanced Equation.
From www.dreamstime.com
Glycine (Gly, G) Amino Acid Molecule. (Chemical Formula C2H5NO2) Stock Amino Acid Glycine Balanced Equation Glycine has a chemical formula c 2 h 5 no 2. It is the smallest of all the amino acids and consists of a side chain along with a hydrogen molecule as. N glycine → poly(glycine) + water n h 2 nch 2 cooh → (. The isoelectric point, pi, is the ph of an aqueous solution of an amino. Amino Acid Glycine Balanced Equation.
From www.numerade.com
SOLVED A solution of the amino acid Glycine is at pH 13. What will be Amino Acid Glycine Balanced Equation It is the smallest of all the amino acids and consists of a side chain along with a hydrogen molecule as. N glycine → poly(glycine) + water n h 2 nch 2 cooh → (. Glycine has a chemical formula c 2 h 5 no 2. In other words, the positively charged groups are. The balanced equation will appear. The. Amino Acid Glycine Balanced Equation.
From www.alamy.com
Chemical formula, structural formula and 3D ballandstick model of Amino Acid Glycine Balanced Equation C 2 h 5 no 2. To balance a chemical equation, enter an equation of a chemical reaction and press the balance button. An equation for the formation of a polypeptide which is made only from glycine is: Glycine is the smallest of the 20 amino acids, and unlike the other amino acids, it does not have a significant side. Amino Acid Glycine Balanced Equation.
From www.dreamstime.com
Glycine Molecular Structure Stock Illustration Illustration of Amino Acid Glycine Balanced Equation C 2 h 5 no 2. In other words, the positively charged groups are. It is the smallest of all the amino acids and consists of a side chain along with a hydrogen molecule as. To balance a chemical equation, enter an equation of a chemical reaction and press the balance button. Glycine has a chemical formula c 2 h. Amino Acid Glycine Balanced Equation.