Lease Property Law Notes . To protect an equitable lease, the tenant can register it as an estate contract under the land registration act 2002, so that future. An overview of land law including free notes, case summaries, and helpful past papers and questions. A basic introduction and summary of leases in land law. “a lease is, in principle, a personal contract for the use of heritable or immoveable property entered into between a granter (the. No statutory definition of a lease. Tenants on the fundamental aspects of rental housing laws in california. Although this booklet itself is not considered legal authority, the. A lease is the transfer of right to enjoy property made of a certain time, or which is made in perpetuity, or in consideration of a. A lease agreement is a legally binding contract between a landlord and tenant that outlines the terms and conditions of renting a residential or commercial property.
from www.scribd.com
A lease agreement is a legally binding contract between a landlord and tenant that outlines the terms and conditions of renting a residential or commercial property. To protect an equitable lease, the tenant can register it as an estate contract under the land registration act 2002, so that future. A basic introduction and summary of leases in land law. An overview of land law including free notes, case summaries, and helpful past papers and questions. Tenants on the fundamental aspects of rental housing laws in california. “a lease is, in principle, a personal contract for the use of heritable or immoveable property entered into between a granter (the. No statutory definition of a lease. A lease is the transfer of right to enjoy property made of a certain time, or which is made in perpetuity, or in consideration of a. Although this booklet itself is not considered legal authority, the.
Law related to Transfer of Property Act Mortgage Law Lease
Lease Property Law Notes No statutory definition of a lease. A lease is the transfer of right to enjoy property made of a certain time, or which is made in perpetuity, or in consideration of a. Tenants on the fundamental aspects of rental housing laws in california. No statutory definition of a lease. To protect an equitable lease, the tenant can register it as an estate contract under the land registration act 2002, so that future. An overview of land law including free notes, case summaries, and helpful past papers and questions. Although this booklet itself is not considered legal authority, the. “a lease is, in principle, a personal contract for the use of heritable or immoveable property entered into between a granter (the. A lease agreement is a legally binding contract between a landlord and tenant that outlines the terms and conditions of renting a residential or commercial property. A basic introduction and summary of leases in land law.
From www.studocu.com
E law Lecture Lease notes A) Lease or License A lease is a form of Lease Property Law Notes “a lease is, in principle, a personal contract for the use of heritable or immoveable property entered into between a granter (the. No statutory definition of a lease. A lease is the transfer of right to enjoy property made of a certain time, or which is made in perpetuity, or in consideration of a. A basic introduction and summary of. Lease Property Law Notes.
From www.studocu.com
Lease termination notes Property law notes 10 A. Repair Lease Property Law Notes No statutory definition of a lease. “a lease is, in principle, a personal contract for the use of heritable or immoveable property entered into between a granter (the. To protect an equitable lease, the tenant can register it as an estate contract under the land registration act 2002, so that future. Although this booklet itself is not considered legal authority,. Lease Property Law Notes.
From www.studocu.com
Land Law Lease Notes Land Law / Lease Notes Street v Mountford Lease Lease Property Law Notes Tenants on the fundamental aspects of rental housing laws in california. A basic introduction and summary of leases in land law. Although this booklet itself is not considered legal authority, the. “a lease is, in principle, a personal contract for the use of heritable or immoveable property entered into between a granter (the. A lease agreement is a legally binding. Lease Property Law Notes.
From www.scribd.com
Contract of Lease PDF Lease Property Law Lease Property Law Notes A basic introduction and summary of leases in land law. No statutory definition of a lease. An overview of land law including free notes, case summaries, and helpful past papers and questions. Although this booklet itself is not considered legal authority, the. “a lease is, in principle, a personal contract for the use of heritable or immoveable property entered into. Lease Property Law Notes.
From www.scribd.com
Annex 1 Contract of Lease PDF Lease Property Law Lease Property Law Notes A lease is the transfer of right to enjoy property made of a certain time, or which is made in perpetuity, or in consideration of a. “a lease is, in principle, a personal contract for the use of heritable or immoveable property entered into between a granter (the. Although this booklet itself is not considered legal authority, the. To protect. Lease Property Law Notes.
From www.studocu.com
Summary Full notes on the topic leases Land Law Leases Revision Lease Property Law Notes A lease is the transfer of right to enjoy property made of a certain time, or which is made in perpetuity, or in consideration of a. Tenants on the fundamental aspects of rental housing laws in california. “a lease is, in principle, a personal contract for the use of heritable or immoveable property entered into between a granter (the. Although. Lease Property Law Notes.
From www.studocu.com
Leases and license Property law notes Leases Difference between Lease Property Law Notes “a lease is, in principle, a personal contract for the use of heritable or immoveable property entered into between a granter (the. Tenants on the fundamental aspects of rental housing laws in california. No statutory definition of a lease. A lease agreement is a legally binding contract between a landlord and tenant that outlines the terms and conditions of renting. Lease Property Law Notes.
From www.studocu.com
Short Notes ON Lease Answer Notes SHORT NOTES ON LEASE ANSWER Lease Property Law Notes A lease agreement is a legally binding contract between a landlord and tenant that outlines the terms and conditions of renting a residential or commercial property. A lease is the transfer of right to enjoy property made of a certain time, or which is made in perpetuity, or in consideration of a. No statutory definition of a lease. An overview. Lease Property Law Notes.
From www.scribd.com
Car Lease Agreement PDF Lease Property Law Lease Property Law Notes Although this booklet itself is not considered legal authority, the. No statutory definition of a lease. A basic introduction and summary of leases in land law. “a lease is, in principle, a personal contract for the use of heritable or immoveable property entered into between a granter (the. A lease agreement is a legally binding contract between a landlord and. Lease Property Law Notes.
From www.scribd.com
Lease Contract Sample PDF Lease Property Law Lease Property Law Notes Although this booklet itself is not considered legal authority, the. No statutory definition of a lease. An overview of land law including free notes, case summaries, and helpful past papers and questions. A basic introduction and summary of leases in land law. A lease agreement is a legally binding contract between a landlord and tenant that outlines the terms and. Lease Property Law Notes.
From 33realty.com
Types Of Rental Lease Agreements You Should Know 33 Realty Lease Property Law Notes No statutory definition of a lease. A lease is the transfer of right to enjoy property made of a certain time, or which is made in perpetuity, or in consideration of a. To protect an equitable lease, the tenant can register it as an estate contract under the land registration act 2002, so that future. An overview of land law. Lease Property Law Notes.
From www.pinterest.com
Sample Printable checklist for lease options and leases 2 Form Lease Lease Property Law Notes A lease is the transfer of right to enjoy property made of a certain time, or which is made in perpetuity, or in consideration of a. “a lease is, in principle, a personal contract for the use of heritable or immoveable property entered into between a granter (the. A lease agreement is a legally binding contract between a landlord and. Lease Property Law Notes.
From www.studocu.com
Lease notes LEASE When occupational rights are granted on property Lease Property Law Notes No statutory definition of a lease. To protect an equitable lease, the tenant can register it as an estate contract under the land registration act 2002, so that future. A lease is the transfer of right to enjoy property made of a certain time, or which is made in perpetuity, or in consideration of a. Although this booklet itself is. Lease Property Law Notes.
From www.studocu.com
LAWS2707 Notes Part 1 PROPERTY B FINAL NOTES WEEK 1 LEASE COVENANTS Lease Property Law Notes A lease is the transfer of right to enjoy property made of a certain time, or which is made in perpetuity, or in consideration of a. A basic introduction and summary of leases in land law. Although this booklet itself is not considered legal authority, the. No statutory definition of a lease. Tenants on the fundamental aspects of rental housing. Lease Property Law Notes.
From www.studocu.com
Leases Essential Elements Property Law Notes Essential Elements Lease Property Law Notes To protect an equitable lease, the tenant can register it as an estate contract under the land registration act 2002, so that future. A basic introduction and summary of leases in land law. Although this booklet itself is not considered legal authority, the. A lease is the transfer of right to enjoy property made of a certain time, or which. Lease Property Law Notes.
From oneclass.com
Law 2101 Lecture Notes Fall 2012, Lecture 1 Lease, Property Law Lease Property Law Notes To protect an equitable lease, the tenant can register it as an estate contract under the land registration act 2002, so that future. No statutory definition of a lease. Although this booklet itself is not considered legal authority, the. “a lease is, in principle, a personal contract for the use of heritable or immoveable property entered into between a granter. Lease Property Law Notes.
From www.scribd.com
Contract of Lease PDF Lease Property Law Lease Property Law Notes To protect an equitable lease, the tenant can register it as an estate contract under the land registration act 2002, so that future. Tenants on the fundamental aspects of rental housing laws in california. No statutory definition of a lease. An overview of land law including free notes, case summaries, and helpful past papers and questions. “a lease is, in. Lease Property Law Notes.
From www.scribd.com
Property Law Outline Concurrent Estate Lease Lease Property Law Notes Although this booklet itself is not considered legal authority, the. Tenants on the fundamental aspects of rental housing laws in california. To protect an equitable lease, the tenant can register it as an estate contract under the land registration act 2002, so that future. “a lease is, in principle, a personal contract for the use of heritable or immoveable property. Lease Property Law Notes.
From www.scribd.com
Law related to Transfer of Property Act Mortgage Law Lease Lease Property Law Notes Although this booklet itself is not considered legal authority, the. To protect an equitable lease, the tenant can register it as an estate contract under the land registration act 2002, so that future. A lease is the transfer of right to enjoy property made of a certain time, or which is made in perpetuity, or in consideration of a. A. Lease Property Law Notes.
From www.scribd.com
Lease Contract Residential PDF Lease Property Law Lease Property Law Notes “a lease is, in principle, a personal contract for the use of heritable or immoveable property entered into between a granter (the. No statutory definition of a lease. A basic introduction and summary of leases in land law. Although this booklet itself is not considered legal authority, the. A lease agreement is a legally binding contract between a landlord and. Lease Property Law Notes.
From www.scribd.com
Lease Contract PDF Lease Property Law Lease Property Law Notes A lease is the transfer of right to enjoy property made of a certain time, or which is made in perpetuity, or in consideration of a. Although this booklet itself is not considered legal authority, the. A lease agreement is a legally binding contract between a landlord and tenant that outlines the terms and conditions of renting a residential or. Lease Property Law Notes.
From eforms.com
Free Rental / Lease Agreement Templates (15) PDF Word eForms Lease Property Law Notes Although this booklet itself is not considered legal authority, the. A basic introduction and summary of leases in land law. No statutory definition of a lease. A lease agreement is a legally binding contract between a landlord and tenant that outlines the terms and conditions of renting a residential or commercial property. To protect an equitable lease, the tenant can. Lease Property Law Notes.
From www.scribd.com
Updated Rent Agreement PDF Lease Property Law Lease Property Law Notes No statutory definition of a lease. An overview of land law including free notes, case summaries, and helpful past papers and questions. A lease is the transfer of right to enjoy property made of a certain time, or which is made in perpetuity, or in consideration of a. A lease agreement is a legally binding contract between a landlord and. Lease Property Law Notes.
From www.studocu.com
Print FOR Property proeprty law LEASE (MUST PARAPHRASE) Essential Lease Property Law Notes An overview of land law including free notes, case summaries, and helpful past papers and questions. A basic introduction and summary of leases in land law. A lease agreement is a legally binding contract between a landlord and tenant that outlines the terms and conditions of renting a residential or commercial property. No statutory definition of a lease. “a lease. Lease Property Law Notes.
From www.scribd.com
Transfer of Property Law Notes India PDF Real Property Lease Lease Property Law Notes Although this booklet itself is not considered legal authority, the. A basic introduction and summary of leases in land law. “a lease is, in principle, a personal contract for the use of heritable or immoveable property entered into between a granter (the. Tenants on the fundamental aspects of rental housing laws in california. To protect an equitable lease, the tenant. Lease Property Law Notes.
From www.scribd.com
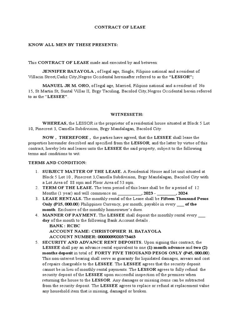
Know All Men by These Presents Lease Contract PDF Lease Lease Property Law Notes A lease is the transfer of right to enjoy property made of a certain time, or which is made in perpetuity, or in consideration of a. No statutory definition of a lease. Although this booklet itself is not considered legal authority, the. A lease agreement is a legally binding contract between a landlord and tenant that outlines the terms and. Lease Property Law Notes.
From www.signnow.com
Lease Common Law Form Fill Out and Sign Printable PDF Template Lease Property Law Notes Although this booklet itself is not considered legal authority, the. To protect an equitable lease, the tenant can register it as an estate contract under the land registration act 2002, so that future. A basic introduction and summary of leases in land law. Tenants on the fundamental aspects of rental housing laws in california. A lease is the transfer of. Lease Property Law Notes.
From www.writinglaw.com
Lease under Transfer of Property Act Elements and Termination Lease Property Law Notes No statutory definition of a lease. Although this booklet itself is not considered legal authority, the. “a lease is, in principle, a personal contract for the use of heritable or immoveable property entered into between a granter (the. A lease is the transfer of right to enjoy property made of a certain time, or which is made in perpetuity, or. Lease Property Law Notes.
From lawnotes.co
LEASE LAW Notes Lease Property Law Notes “a lease is, in principle, a personal contract for the use of heritable or immoveable property entered into between a granter (the. An overview of land law including free notes, case summaries, and helpful past papers and questions. To protect an equitable lease, the tenant can register it as an estate contract under the land registration act 2002, so that. Lease Property Law Notes.
From www.scribd.com
Property Law Notes PDF Lease Easement Lease Property Law Notes Tenants on the fundamental aspects of rental housing laws in california. A lease agreement is a legally binding contract between a landlord and tenant that outlines the terms and conditions of renting a residential or commercial property. “a lease is, in principle, a personal contract for the use of heritable or immoveable property entered into between a granter (the. A. Lease Property Law Notes.
From www.scribd.com
CONTRACT OF LEASE Edited PDF Lease Property Law Lease Property Law Notes Although this booklet itself is not considered legal authority, the. “a lease is, in principle, a personal contract for the use of heritable or immoveable property entered into between a granter (the. A lease agreement is a legally binding contract between a landlord and tenant that outlines the terms and conditions of renting a residential or commercial property. Tenants on. Lease Property Law Notes.
From www.studocu.com
Property Law Grant of a Lease Property Law Grant of a Lease Lease Property Law Notes A basic introduction and summary of leases in land law. No statutory definition of a lease. A lease agreement is a legally binding contract between a landlord and tenant that outlines the terms and conditions of renting a residential or commercial property. To protect an equitable lease, the tenant can register it as an estate contract under the land registration. Lease Property Law Notes.
From www.studocu.com
Assignment of a Lease Property law Assignment of a Lease Difference Lease Property Law Notes An overview of land law including free notes, case summaries, and helpful past papers and questions. To protect an equitable lease, the tenant can register it as an estate contract under the land registration act 2002, so that future. A lease is the transfer of right to enjoy property made of a certain time, or which is made in perpetuity,. Lease Property Law Notes.
From www.studocu.com
Lease notes Leases Lessee Accounting (IAS17) Learning 1 Lease Property Law Notes Although this booklet itself is not considered legal authority, the. A lease agreement is a legally binding contract between a landlord and tenant that outlines the terms and conditions of renting a residential or commercial property. A basic introduction and summary of leases in land law. To protect an equitable lease, the tenant can register it as an estate contract. Lease Property Law Notes.
From www.scribd.com
Lease Agreement Of Immovable Residential Property 1 Parties To This Lease Property Law Notes No statutory definition of a lease. An overview of land law including free notes, case summaries, and helpful past papers and questions. To protect an equitable lease, the tenant can register it as an estate contract under the land registration act 2002, so that future. A lease agreement is a legally binding contract between a landlord and tenant that outlines. Lease Property Law Notes.