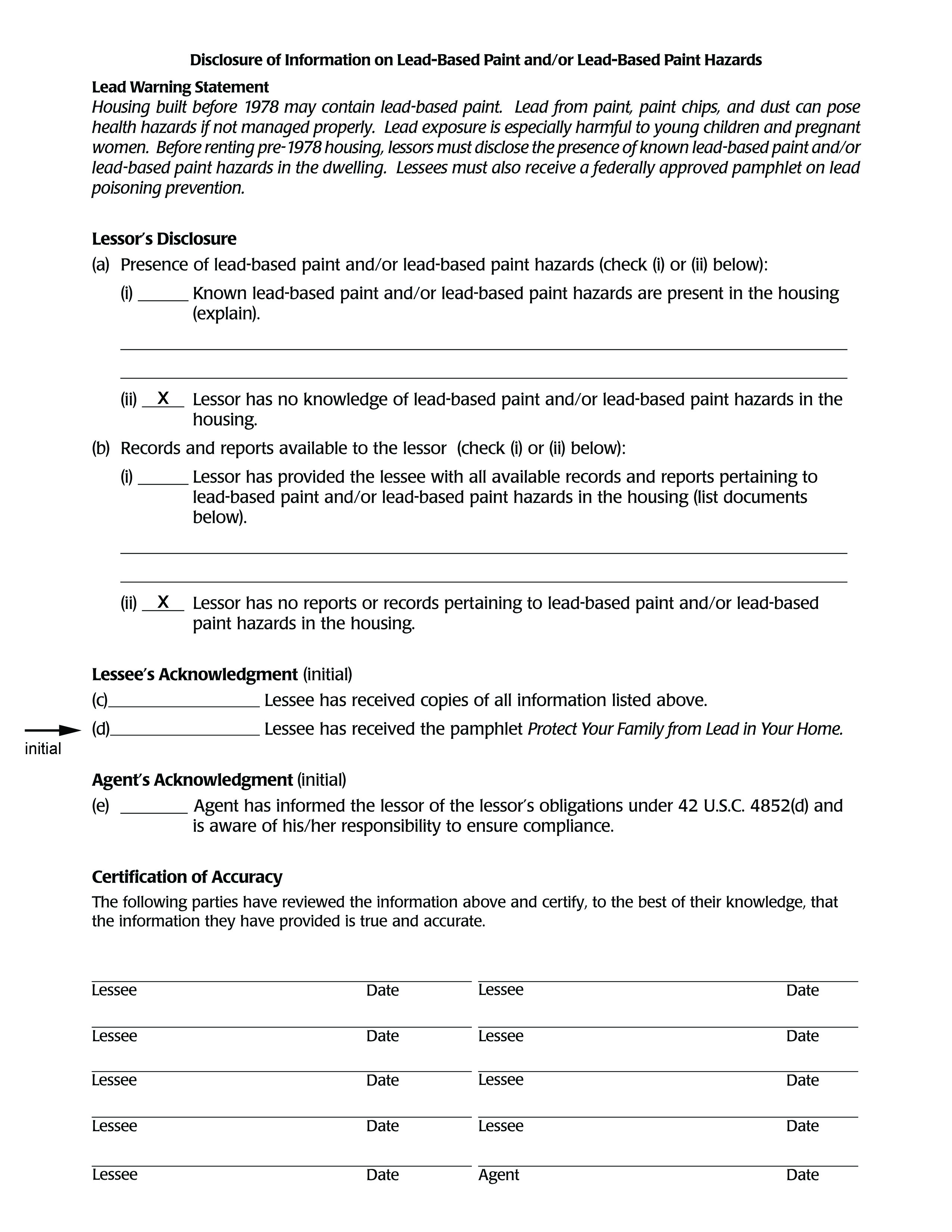
Lead Based Paint Addendum Michigan . Lead from paint, paint chips, and dust can pose health hazards if not managed properly. Environmental protection agency (epa) provides information about epa lead laws and regulations; Every purchaser of any interest in residential real property on which a residential dwelling was built prior to 1978 is notified that such property may. • if you rent, notify your. Form for real estate professionals to use in sales transactions when sellers of residential real property are required to disclose to the buyer. This addendum must be part of every real estate sale agreement for the sale of a home built prior to. Lead exposure is especially harmful to young children.
from www.uslegalforms.com
Every purchaser of any interest in residential real property on which a residential dwelling was built prior to 1978 is notified that such property may. Form for real estate professionals to use in sales transactions when sellers of residential real property are required to disclose to the buyer. Lead from paint, paint chips, and dust can pose health hazards if not managed properly. Lead exposure is especially harmful to young children. • if you rent, notify your. Environmental protection agency (epa) provides information about epa lead laws and regulations; This addendum must be part of every real estate sale agreement for the sale of a home built prior to.
Michigan Lead Based Paint Disclosure for Rental Transaction Lead
Lead Based Paint Addendum Michigan Lead from paint, paint chips, and dust can pose health hazards if not managed properly. Environmental protection agency (epa) provides information about epa lead laws and regulations; This addendum must be part of every real estate sale agreement for the sale of a home built prior to. Lead exposure is especially harmful to young children. Lead from paint, paint chips, and dust can pose health hazards if not managed properly. Form for real estate professionals to use in sales transactions when sellers of residential real property are required to disclose to the buyer. Every purchaser of any interest in residential real property on which a residential dwelling was built prior to 1978 is notified that such property may. • if you rent, notify your.
From vnstreetart.blogspot.com
lead based paint addendum 1978 Code Vlog Slideshow Lead Based Paint Addendum Michigan Every purchaser of any interest in residential real property on which a residential dwelling was built prior to 1978 is notified that such property may. Lead exposure is especially harmful to young children. Form for real estate professionals to use in sales transactions when sellers of residential real property are required to disclose to the buyer. This addendum must be. Lead Based Paint Addendum Michigan.
From www.youtube.com
Lead base paint addendum YouTube Lead Based Paint Addendum Michigan This addendum must be part of every real estate sale agreement for the sale of a home built prior to. Every purchaser of any interest in residential real property on which a residential dwelling was built prior to 1978 is notified that such property may. Environmental protection agency (epa) provides information about epa lead laws and regulations; • if you. Lead Based Paint Addendum Michigan.
From www.youtube.com
UNDERSTANDING THE LEAD BASED PAINT ADDENDUM YouTube Lead Based Paint Addendum Michigan This addendum must be part of every real estate sale agreement for the sale of a home built prior to. Lead from paint, paint chips, and dust can pose health hazards if not managed properly. Lead exposure is especially harmful to young children. Form for real estate professionals to use in sales transactions when sellers of residential real property are. Lead Based Paint Addendum Michigan.
From www.pdffiller.com
Fillable Online LeadBased Paint Addendum Compliance Checklist imgix Lead Based Paint Addendum Michigan Environmental protection agency (epa) provides information about epa lead laws and regulations; Lead from paint, paint chips, and dust can pose health hazards if not managed properly. Every purchaser of any interest in residential real property on which a residential dwelling was built prior to 1978 is notified that such property may. This addendum must be part of every real. Lead Based Paint Addendum Michigan.
From www.slideshare.net
Good neighbor next door contract Lead Based Paint Addendum Michigan Lead exposure is especially harmful to young children. Environmental protection agency (epa) provides information about epa lead laws and regulations; Every purchaser of any interest in residential real property on which a residential dwelling was built prior to 1978 is notified that such property may. Lead from paint, paint chips, and dust can pose health hazards if not managed properly.. Lead Based Paint Addendum Michigan.
From www.pdffiller.com
Fillable Online 159NunvCourtLeadBasedPaintAddendum. Fax Email Lead Based Paint Addendum Michigan Environmental protection agency (epa) provides information about epa lead laws and regulations; Every purchaser of any interest in residential real property on which a residential dwelling was built prior to 1978 is notified that such property may. Lead exposure is especially harmful to young children. Form for real estate professionals to use in sales transactions when sellers of residential real. Lead Based Paint Addendum Michigan.
From www.youtube.com
Addendum Regarding LeadBased Paint (TAR 2008) YouTube Lead Based Paint Addendum Michigan Lead from paint, paint chips, and dust can pose health hazards if not managed properly. This addendum must be part of every real estate sale agreement for the sale of a home built prior to. Form for real estate professionals to use in sales transactions when sellers of residential real property are required to disclose to the buyer. Environmental protection. Lead Based Paint Addendum Michigan.
From www.azibo.com
Lead Paint Addendum What It Is & Whether to Include One in Your Lease Lead Based Paint Addendum Michigan Environmental protection agency (epa) provides information about epa lead laws and regulations; Every purchaser of any interest in residential real property on which a residential dwelling was built prior to 1978 is notified that such property may. • if you rent, notify your. This addendum must be part of every real estate sale agreement for the sale of a home. Lead Based Paint Addendum Michigan.
From alphonselemon.blogspot.com
lead based paint addendum pdf Alphonse Lemon Lead Based Paint Addendum Michigan This addendum must be part of every real estate sale agreement for the sale of a home built prior to. Environmental protection agency (epa) provides information about epa lead laws and regulations; • if you rent, notify your. Every purchaser of any interest in residential real property on which a residential dwelling was built prior to 1978 is notified that. Lead Based Paint Addendum Michigan.
From www.hrirentals.com
Lease Information Lead Based Paint Addendum Michigan Lead from paint, paint chips, and dust can pose health hazards if not managed properly. Environmental protection agency (epa) provides information about epa lead laws and regulations; Every purchaser of any interest in residential real property on which a residential dwelling was built prior to 1978 is notified that such property may. This addendum must be part of every real. Lead Based Paint Addendum Michigan.
From friendship-jasmine94.blogspot.com
lead based paint addendum massachusetts Deon Wisniewski Lead Based Paint Addendum Michigan This addendum must be part of every real estate sale agreement for the sale of a home built prior to. Environmental protection agency (epa) provides information about epa lead laws and regulations; Lead from paint, paint chips, and dust can pose health hazards if not managed properly. Form for real estate professionals to use in sales transactions when sellers of. Lead Based Paint Addendum Michigan.
From www.signnow.com
Lead Based Paint Disclosure for Rental Transaction Michigan Form Fill Lead Based Paint Addendum Michigan Environmental protection agency (epa) provides information about epa lead laws and regulations; • if you rent, notify your. Form for real estate professionals to use in sales transactions when sellers of residential real property are required to disclose to the buyer. Every purchaser of any interest in residential real property on which a residential dwelling was built prior to 1978. Lead Based Paint Addendum Michigan.
From www.uslegalforms.com
Michigan Lead Based Paint Disclosure for Rental Transaction Lead Lead Based Paint Addendum Michigan Lead exposure is especially harmful to young children. Lead from paint, paint chips, and dust can pose health hazards if not managed properly. Environmental protection agency (epa) provides information about epa lead laws and regulations; This addendum must be part of every real estate sale agreement for the sale of a home built prior to. • if you rent, notify. Lead Based Paint Addendum Michigan.
From alphonselemon.blogspot.com
lead based paint addendum pdf Alphonse Lemon Lead Based Paint Addendum Michigan Every purchaser of any interest in residential real property on which a residential dwelling was built prior to 1978 is notified that such property may. Form for real estate professionals to use in sales transactions when sellers of residential real property are required to disclose to the buyer. Environmental protection agency (epa) provides information about epa lead laws and regulations;. Lead Based Paint Addendum Michigan.
From karnavaliagiasou.blogspot.com
lead based paint addendum nc Tammie Hurd Lead Based Paint Addendum Michigan Form for real estate professionals to use in sales transactions when sellers of residential real property are required to disclose to the buyer. This addendum must be part of every real estate sale agreement for the sale of a home built prior to. • if you rent, notify your. Every purchaser of any interest in residential real property on which. Lead Based Paint Addendum Michigan.
From freeforms.com
Free LeadBased Paint Disclosure Form For Homebuyers PDF WORD Lead Based Paint Addendum Michigan Every purchaser of any interest in residential real property on which a residential dwelling was built prior to 1978 is notified that such property may. • if you rent, notify your. Form for real estate professionals to use in sales transactions when sellers of residential real property are required to disclose to the buyer. This addendum must be part of. Lead Based Paint Addendum Michigan.
From www.pdffiller.com
Fillable Online LEADBASED PAINT ADDENDUM TO EXCLUSIVE RIGHT TO Fax Lead Based Paint Addendum Michigan Form for real estate professionals to use in sales transactions when sellers of residential real property are required to disclose to the buyer. This addendum must be part of every real estate sale agreement for the sale of a home built prior to. Lead exposure is especially harmful to young children. Every purchaser of any interest in residential real property. Lead Based Paint Addendum Michigan.
From www.dochub.com
Michigan lead paint disclosure Fill out & sign online DocHub Lead Based Paint Addendum Michigan This addendum must be part of every real estate sale agreement for the sale of a home built prior to. Every purchaser of any interest in residential real property on which a residential dwelling was built prior to 1978 is notified that such property may. Form for real estate professionals to use in sales transactions when sellers of residential real. Lead Based Paint Addendum Michigan.
From www.mymetrotex.com
Complying With the Requirements of the LeadBased Paint Addendum MetroTex Lead Based Paint Addendum Michigan Environmental protection agency (epa) provides information about epa lead laws and regulations; • if you rent, notify your. Form for real estate professionals to use in sales transactions when sellers of residential real property are required to disclose to the buyer. Every purchaser of any interest in residential real property on which a residential dwelling was built prior to 1978. Lead Based Paint Addendum Michigan.
From www.formsbank.com
Addendum Disclosure Of Information And Acknowledgment About LeadBased Lead Based Paint Addendum Michigan • if you rent, notify your. Every purchaser of any interest in residential real property on which a residential dwelling was built prior to 1978 is notified that such property may. Environmental protection agency (epa) provides information about epa lead laws and regulations; Lead exposure is especially harmful to young children. Form for real estate professionals to use in sales. Lead Based Paint Addendum Michigan.
From setequedasnews2.blogspot.com
lead based paint addendum hawaii Sharita Soliz Lead Based Paint Addendum Michigan This addendum must be part of every real estate sale agreement for the sale of a home built prior to. Lead exposure is especially harmful to young children. • if you rent, notify your. Every purchaser of any interest in residential real property on which a residential dwelling was built prior to 1978 is notified that such property may. Form. Lead Based Paint Addendum Michigan.
From micaelawingate.blogspot.com
Micaela Wingate Lead Based Paint Addendum Michigan Every purchaser of any interest in residential real property on which a residential dwelling was built prior to 1978 is notified that such property may. Environmental protection agency (epa) provides information about epa lead laws and regulations; This addendum must be part of every real estate sale agreement for the sale of a home built prior to. Lead exposure is. Lead Based Paint Addendum Michigan.
From www.youtube.com
LeadBased Paint Addendum YouTube Lead Based Paint Addendum Michigan Every purchaser of any interest in residential real property on which a residential dwelling was built prior to 1978 is notified that such property may. Form for real estate professionals to use in sales transactions when sellers of residential real property are required to disclose to the buyer. Environmental protection agency (epa) provides information about epa lead laws and regulations;. Lead Based Paint Addendum Michigan.
From ceupjbmk.blob.core.windows.net
Lead Based Paint Addendum Pdf at Matthew Cammack blog Lead Based Paint Addendum Michigan Lead from paint, paint chips, and dust can pose health hazards if not managed properly. Lead exposure is especially harmful to young children. Every purchaser of any interest in residential real property on which a residential dwelling was built prior to 1978 is notified that such property may. • if you rent, notify your. This addendum must be part of. Lead Based Paint Addendum Michigan.
From www.uslegalforms.com
Frisco Texas LeadBased Paint Addendum Texas Lead Based Paint Lead Based Paint Addendum Michigan Environmental protection agency (epa) provides information about epa lead laws and regulations; Every purchaser of any interest in residential real property on which a residential dwelling was built prior to 1978 is notified that such property may. Lead exposure is especially harmful to young children. Lead from paint, paint chips, and dust can pose health hazards if not managed properly.. Lead Based Paint Addendum Michigan.
From www.pdffiller.com
Fillable Online Disclosure of Information on LeadBased Paint and Lead Lead Based Paint Addendum Michigan Lead exposure is especially harmful to young children. • if you rent, notify your. Form for real estate professionals to use in sales transactions when sellers of residential real property are required to disclose to the buyer. Environmental protection agency (epa) provides information about epa lead laws and regulations; This addendum must be part of every real estate sale agreement. Lead Based Paint Addendum Michigan.
From www.pdffiller.com
Fillable Online addendum a disclosure of information and acknowledgment Lead Based Paint Addendum Michigan Lead exposure is especially harmful to young children. Form for real estate professionals to use in sales transactions when sellers of residential real property are required to disclose to the buyer. • if you rent, notify your. Every purchaser of any interest in residential real property on which a residential dwelling was built prior to 1978 is notified that such. Lead Based Paint Addendum Michigan.
From www.uslegalforms.com
Michigan LeadBased Paint and LeadBased Paint Hazards Disclosure of Lead Based Paint Addendum Michigan • if you rent, notify your. This addendum must be part of every real estate sale agreement for the sale of a home built prior to. Form for real estate professionals to use in sales transactions when sellers of residential real property are required to disclose to the buyer. Lead exposure is especially harmful to young children. Lead from paint,. Lead Based Paint Addendum Michigan.
From www.youtube.com
Lead Based Paint Addendum YouTube Lead Based Paint Addendum Michigan Environmental protection agency (epa) provides information about epa lead laws and regulations; Every purchaser of any interest in residential real property on which a residential dwelling was built prior to 1978 is notified that such property may. Lead from paint, paint chips, and dust can pose health hazards if not managed properly. This addendum must be part of every real. Lead Based Paint Addendum Michigan.
From www.youtube.com
Sales Document Execution Tutorial Lead Paint Addendum YouTube Lead Based Paint Addendum Michigan Lead exposure is especially harmful to young children. Form for real estate professionals to use in sales transactions when sellers of residential real property are required to disclose to the buyer. Lead from paint, paint chips, and dust can pose health hazards if not managed properly. • if you rent, notify your. Every purchaser of any interest in residential real. Lead Based Paint Addendum Michigan.
From www.youtube.com
Lead Based Paint Addendum YouTube Lead Based Paint Addendum Michigan Form for real estate professionals to use in sales transactions when sellers of residential real property are required to disclose to the buyer. Lead from paint, paint chips, and dust can pose health hazards if not managed properly. Environmental protection agency (epa) provides information about epa lead laws and regulations; This addendum must be part of every real estate sale. Lead Based Paint Addendum Michigan.
From ceupjbmk.blob.core.windows.net
Lead Based Paint Addendum Pdf at Matthew Cammack blog Lead Based Paint Addendum Michigan Environmental protection agency (epa) provides information about epa lead laws and regulations; • if you rent, notify your. Every purchaser of any interest in residential real property on which a residential dwelling was built prior to 1978 is notified that such property may. Lead exposure is especially harmful to young children. Form for real estate professionals to use in sales. Lead Based Paint Addendum Michigan.
From www.slideshare.net
Fld leadbased paint and leadbased paint hazards 1110 Lead Based Paint Addendum Michigan • if you rent, notify your. Lead from paint, paint chips, and dust can pose health hazards if not managed properly. This addendum must be part of every real estate sale agreement for the sale of a home built prior to. Every purchaser of any interest in residential real property on which a residential dwelling was built prior to 1978. Lead Based Paint Addendum Michigan.
From www.youtube.com
Lead Based Paint Addendum YouTube Lead Based Paint Addendum Michigan Form for real estate professionals to use in sales transactions when sellers of residential real property are required to disclose to the buyer. Lead exposure is especially harmful to young children. Lead from paint, paint chips, and dust can pose health hazards if not managed properly. Environmental protection agency (epa) provides information about epa lead laws and regulations; Every purchaser. Lead Based Paint Addendum Michigan.
From www.formsbank.com
Fillable Disclosure Of Information On LeadBased Paint And LeadBased Lead Based Paint Addendum Michigan Form for real estate professionals to use in sales transactions when sellers of residential real property are required to disclose to the buyer. Environmental protection agency (epa) provides information about epa lead laws and regulations; Lead exposure is especially harmful to young children. Every purchaser of any interest in residential real property on which a residential dwelling was built prior. Lead Based Paint Addendum Michigan.