Assumption Of Risk In California . Altogether, california courts view the assumption of risk as a valid legal defense against a claim of negligence, which is why it is important to. Assumption of the risk is a legal doctrine that shifts liability for an accident or injury to the person who voluntarily chooses to engage in. In california, the courts have adopted a comparative fault system, which means that. The essence of the tort doctrine “assumption of risk” is that. Assumption of risk may be proved either by the plaintiff's spoken or written words (express assumption of risk), or by inference from the. How is assumption of risk applied in california? Under california law, the primary assumption of risk occurs when a plaintiff is aware of the risks involved in an activity but voluntarily chooses to engage in that activity anyway. Jewett (1992) 3 cal.4th 296. California’s “primary assumption of the risk” doctrine was first set forth in knight v.
from slideplayer.com
Altogether, california courts view the assumption of risk as a valid legal defense against a claim of negligence, which is why it is important to. Assumption of risk may be proved either by the plaintiff's spoken or written words (express assumption of risk), or by inference from the. Assumption of the risk is a legal doctrine that shifts liability for an accident or injury to the person who voluntarily chooses to engage in. California’s “primary assumption of the risk” doctrine was first set forth in knight v. In california, the courts have adopted a comparative fault system, which means that. Jewett (1992) 3 cal.4th 296. Under california law, the primary assumption of risk occurs when a plaintiff is aware of the risks involved in an activity but voluntarily chooses to engage in that activity anyway. The essence of the tort doctrine “assumption of risk” is that. How is assumption of risk applied in california?
Unit 1 Review Careers and Ethics. ppt download
Assumption Of Risk In California Assumption of risk may be proved either by the plaintiff's spoken or written words (express assumption of risk), or by inference from the. The essence of the tort doctrine “assumption of risk” is that. In california, the courts have adopted a comparative fault system, which means that. Under california law, the primary assumption of risk occurs when a plaintiff is aware of the risks involved in an activity but voluntarily chooses to engage in that activity anyway. Jewett (1992) 3 cal.4th 296. How is assumption of risk applied in california? California’s “primary assumption of the risk” doctrine was first set forth in knight v. Altogether, california courts view the assumption of risk as a valid legal defense against a claim of negligence, which is why it is important to. Assumption of risk may be proved either by the plaintiff's spoken or written words (express assumption of risk), or by inference from the. Assumption of the risk is a legal doctrine that shifts liability for an accident or injury to the person who voluntarily chooses to engage in.
From attorneyjeff.com
Primary and Secondary Assumption of Risk Within CA Doctrine Assumption Of Risk In California Under california law, the primary assumption of risk occurs when a plaintiff is aware of the risks involved in an activity but voluntarily chooses to engage in that activity anyway. The essence of the tort doctrine “assumption of risk” is that. Assumption of risk may be proved either by the plaintiff's spoken or written words (express assumption of risk), or. Assumption Of Risk In California.
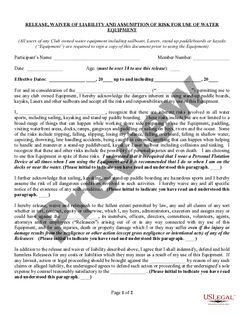
From www.uslegalforms.com
Orange California Release of Claims and Assumption of Risks for Future Assumption Of Risk In California Under california law, the primary assumption of risk occurs when a plaintiff is aware of the risks involved in an activity but voluntarily chooses to engage in that activity anyway. In california, the courts have adopted a comparative fault system, which means that. Altogether, california courts view the assumption of risk as a valid legal defense against a claim of. Assumption Of Risk In California.
From www.cloudlex.com
What Is Assumption of Risk? Definition of Assumption of Risk Assumption Of Risk In California In california, the courts have adopted a comparative fault system, which means that. Altogether, california courts view the assumption of risk as a valid legal defense against a claim of negligence, which is why it is important to. California’s “primary assumption of the risk” doctrine was first set forth in knight v. Assumption of risk may be proved either by. Assumption Of Risk In California.
From www.zirkinandschmerlinglaw.com
Recognizing Assumption of Risk in a Personal Injury Claim Assumption Of Risk In California Altogether, california courts view the assumption of risk as a valid legal defense against a claim of negligence, which is why it is important to. The essence of the tort doctrine “assumption of risk” is that. Assumption of the risk is a legal doctrine that shifts liability for an accident or injury to the person who voluntarily chooses to engage. Assumption Of Risk In California.
From foreignpolicyi.org
An Assumption of Risk Overview Foreign Policy Assumption Of Risk In California In california, the courts have adopted a comparative fault system, which means that. Jewett (1992) 3 cal.4th 296. Assumption of risk may be proved either by the plaintiff's spoken or written words (express assumption of risk), or by inference from the. Assumption of the risk is a legal doctrine that shifts liability for an accident or injury to the person. Assumption Of Risk In California.
From www.uslegalforms.com
Los Angeles California Release, Waiver of Liability, Assumption of all Assumption Of Risk In California In california, the courts have adopted a comparative fault system, which means that. The essence of the tort doctrine “assumption of risk” is that. California’s “primary assumption of the risk” doctrine was first set forth in knight v. Assumption of the risk is a legal doctrine that shifts liability for an accident or injury to the person who voluntarily chooses. Assumption Of Risk In California.
From www.templateroller.com
City of Murrieta, California Release and Waiver of Liability and Assumption Of Risk In California Altogether, california courts view the assumption of risk as a valid legal defense against a claim of negligence, which is why it is important to. In california, the courts have adopted a comparative fault system, which means that. Assumption of risk may be proved either by the plaintiff's spoken or written words (express assumption of risk), or by inference from. Assumption Of Risk In California.
From slideshare.net
Assumption Of Risk In Premises Liability Assumption Of Risk In California Assumption of the risk is a legal doctrine that shifts liability for an accident or injury to the person who voluntarily chooses to engage in. How is assumption of risk applied in california? Jewett (1992) 3 cal.4th 296. In california, the courts have adopted a comparative fault system, which means that. Altogether, california courts view the assumption of risk as. Assumption Of Risk In California.
From www.youtube.com
Waiver and Assumption of Risk Law in California YouTube Assumption Of Risk In California In california, the courts have adopted a comparative fault system, which means that. The essence of the tort doctrine “assumption of risk” is that. California’s “primary assumption of the risk” doctrine was first set forth in knight v. Assumption of risk may be proved either by the plaintiff's spoken or written words (express assumption of risk), or by inference from. Assumption Of Risk In California.
From formdownload.org
Free California Liability Release Form PDF Template Form Download Assumption Of Risk In California Under california law, the primary assumption of risk occurs when a plaintiff is aware of the risks involved in an activity but voluntarily chooses to engage in that activity anyway. The essence of the tort doctrine “assumption of risk” is that. How is assumption of risk applied in california? Altogether, california courts view the assumption of risk as a valid. Assumption Of Risk In California.
From www.slideshare.net
Assumption Of Risk In Premises Liability Assumption Of Risk In California In california, the courts have adopted a comparative fault system, which means that. Assumption of the risk is a legal doctrine that shifts liability for an accident or injury to the person who voluntarily chooses to engage in. California’s “primary assumption of the risk” doctrine was first set forth in knight v. Assumption of risk may be proved either by. Assumption Of Risk In California.
From studylib.net
ASSUMPTION OF RISK, GENERAL RELEASE, and INDEMNITY AGREEMENT Assumption Of Risk In California Assumption of the risk is a legal doctrine that shifts liability for an accident or injury to the person who voluntarily chooses to engage in. Altogether, california courts view the assumption of risk as a valid legal defense against a claim of negligence, which is why it is important to. California’s “primary assumption of the risk” doctrine was first set. Assumption Of Risk In California.
From www.pinterest.jp
What is Assumption of the Risk? How does it impact my case? The term Assumption Of Risk In California California’s “primary assumption of the risk” doctrine was first set forth in knight v. The essence of the tort doctrine “assumption of risk” is that. Assumption of risk may be proved either by the plaintiff's spoken or written words (express assumption of risk), or by inference from the. Altogether, california courts view the assumption of risk as a valid legal. Assumption Of Risk In California.
From www.la-personalinjurylaw.com
What Is the Assumption of Risk in California Law? Assumption Of Risk In California Assumption of the risk is a legal doctrine that shifts liability for an accident or injury to the person who voluntarily chooses to engage in. Altogether, california courts view the assumption of risk as a valid legal defense against a claim of negligence, which is why it is important to. The essence of the tort doctrine “assumption of risk” is. Assumption Of Risk In California.
From www.dochub.com
California liability assumption risk Fill out & sign online DocHub Assumption Of Risk In California Assumption of the risk is a legal doctrine that shifts liability for an accident or injury to the person who voluntarily chooses to engage in. The essence of the tort doctrine “assumption of risk” is that. Under california law, the primary assumption of risk occurs when a plaintiff is aware of the risks involved in an activity but voluntarily chooses. Assumption Of Risk In California.
From www.slideshare.net
Assumption Of Risk In Premises Liability Assumption Of Risk In California Assumption of risk may be proved either by the plaintiff's spoken or written words (express assumption of risk), or by inference from the. Altogether, california courts view the assumption of risk as a valid legal defense against a claim of negligence, which is why it is important to. Under california law, the primary assumption of risk occurs when a plaintiff. Assumption Of Risk In California.
From slideshare.net
Assumption Of Risk In Premises Liability Assumption Of Risk In California Altogether, california courts view the assumption of risk as a valid legal defense against a claim of negligence, which is why it is important to. The essence of the tort doctrine “assumption of risk” is that. Jewett (1992) 3 cal.4th 296. How is assumption of risk applied in california? Under california law, the primary assumption of risk occurs when a. Assumption Of Risk In California.
From slideplayer.com
Unit 1 Review Careers and Ethics. ppt download Assumption Of Risk In California Altogether, california courts view the assumption of risk as a valid legal defense against a claim of negligence, which is why it is important to. How is assumption of risk applied in california? Assumption of the risk is a legal doctrine that shifts liability for an accident or injury to the person who voluntarily chooses to engage in. Jewett (1992). Assumption Of Risk In California.
From bgwlawyers.com
Assumption of Risk of Snow Sports Bradley, Gmelich & Wellerstein LLP Assumption Of Risk In California In california, the courts have adopted a comparative fault system, which means that. California’s “primary assumption of the risk” doctrine was first set forth in knight v. Assumption of risk may be proved either by the plaintiff's spoken or written words (express assumption of risk), or by inference from the. Assumption of the risk is a legal doctrine that shifts. Assumption Of Risk In California.
From www.slideserve.com
PPT Teachers and Tort Liability PowerPoint Presentation, free Assumption Of Risk In California Assumption of the risk is a legal doctrine that shifts liability for an accident or injury to the person who voluntarily chooses to engage in. California’s “primary assumption of the risk” doctrine was first set forth in knight v. Jewett (1992) 3 cal.4th 296. Assumption of risk may be proved either by the plaintiff's spoken or written words (express assumption. Assumption Of Risk In California.
From www.slideserve.com
PPT Product Liability Defenses and Government Agencies to Protect Us Assumption Of Risk In California Under california law, the primary assumption of risk occurs when a plaintiff is aware of the risks involved in an activity but voluntarily chooses to engage in that activity anyway. Assumption of the risk is a legal doctrine that shifts liability for an accident or injury to the person who voluntarily chooses to engage in. California’s “primary assumption of the. Assumption Of Risk In California.
From www.slideserve.com
PPT Chapter 5 Torts PowerPoint Presentation, free download ID1822315 Assumption Of Risk In California Assumption of risk may be proved either by the plaintiff's spoken or written words (express assumption of risk), or by inference from the. In california, the courts have adopted a comparative fault system, which means that. How is assumption of risk applied in california? California’s “primary assumption of the risk” doctrine was first set forth in knight v. The essence. Assumption Of Risk In California.
From www.slideserve.com
PPT Introduction to Risk Management PowerPoint Presentation, free Assumption Of Risk In California Assumption of the risk is a legal doctrine that shifts liability for an accident or injury to the person who voluntarily chooses to engage in. How is assumption of risk applied in california? California’s “primary assumption of the risk” doctrine was first set forth in knight v. Altogether, california courts view the assumption of risk as a valid legal defense. Assumption Of Risk In California.
From www.uslegalforms.com
California Waiver, Release, Assumption of Risks and Indemnity Agreement Assumption Of Risk In California The essence of the tort doctrine “assumption of risk” is that. Under california law, the primary assumption of risk occurs when a plaintiff is aware of the risks involved in an activity but voluntarily chooses to engage in that activity anyway. California’s “primary assumption of the risk” doctrine was first set forth in knight v. Jewett (1992) 3 cal.4th 296.. Assumption Of Risk In California.
From www.uslegalforms.com
San Bernardino California Waiver, Release, Assumption of Risks and Assumption Of Risk In California Assumption of risk may be proved either by the plaintiff's spoken or written words (express assumption of risk), or by inference from the. Under california law, the primary assumption of risk occurs when a plaintiff is aware of the risks involved in an activity but voluntarily chooses to engage in that activity anyway. Altogether, california courts view the assumption of. Assumption Of Risk In California.
From www.uslegalforms.com
Release, Waiver, and Assumption of Risk for Use of Water Equipment at a Assumption Of Risk In California Jewett (1992) 3 cal.4th 296. Altogether, california courts view the assumption of risk as a valid legal defense against a claim of negligence, which is why it is important to. How is assumption of risk applied in california? California’s “primary assumption of the risk” doctrine was first set forth in knight v. In california, the courts have adopted a comparative. Assumption Of Risk In California.
From issuu.com
SDI General Liability Release and Express Assumption of Risk by Blue Assumption Of Risk In California In california, the courts have adopted a comparative fault system, which means that. How is assumption of risk applied in california? Altogether, california courts view the assumption of risk as a valid legal defense against a claim of negligence, which is why it is important to. Jewett (1992) 3 cal.4th 296. The essence of the tort doctrine “assumption of risk”. Assumption Of Risk In California.
From legal-explanations.com
Assumption Of Risk Definition What Does Assumption Of Risk Mean? Assumption Of Risk In California Assumption of risk may be proved either by the plaintiff's spoken or written words (express assumption of risk), or by inference from the. In california, the courts have adopted a comparative fault system, which means that. California’s “primary assumption of the risk” doctrine was first set forth in knight v. Altogether, california courts view the assumption of risk as a. Assumption Of Risk In California.
From www.johnyelaw.com
What Is “Assumption of The Risk” in California Personal Injury Law Assumption Of Risk In California How is assumption of risk applied in california? Assumption of the risk is a legal doctrine that shifts liability for an accident or injury to the person who voluntarily chooses to engage in. Altogether, california courts view the assumption of risk as a valid legal defense against a claim of negligence, which is why it is important to. In california,. Assumption Of Risk In California.
From www.uslegalforms.com
Waiver And Assumption Of Risk Template 20202021 Fill and Sign Assumption Of Risk In California The essence of the tort doctrine “assumption of risk” is that. Assumption of risk may be proved either by the plaintiff's spoken or written words (express assumption of risk), or by inference from the. Under california law, the primary assumption of risk occurs when a plaintiff is aware of the risks involved in an activity but voluntarily chooses to engage. Assumption Of Risk In California.
From www.uslegalforms.com
California Release, Waiver, Assumption of Risk and Indemnity Agreement Assumption Of Risk In California The essence of the tort doctrine “assumption of risk” is that. Jewett (1992) 3 cal.4th 296. California’s “primary assumption of the risk” doctrine was first set forth in knight v. Assumption of the risk is a legal doctrine that shifts liability for an accident or injury to the person who voluntarily chooses to engage in. How is assumption of risk. Assumption Of Risk In California.
From studylib.net
PASSENGER ASSUMPTION OF RISK AND RELEASE Assumption Of Risk In California The essence of the tort doctrine “assumption of risk” is that. Under california law, the primary assumption of risk occurs when a plaintiff is aware of the risks involved in an activity but voluntarily chooses to engage in that activity anyway. Altogether, california courts view the assumption of risk as a valid legal defense against a claim of negligence, which. Assumption Of Risk In California.
From www.reichandbinstock.com
What Is Assumption of Risk in Personal Injury Lawsuits? R&B Assumption Of Risk In California Assumption of the risk is a legal doctrine that shifts liability for an accident or injury to the person who voluntarily chooses to engage in. Altogether, california courts view the assumption of risk as a valid legal defense against a claim of negligence, which is why it is important to. Assumption of risk may be proved either by the plaintiff's. Assumption Of Risk In California.
From www.slideserve.com
PPT Introduction to Risk Management PowerPoint Presentation, free Assumption Of Risk In California The essence of the tort doctrine “assumption of risk” is that. Assumption of risk may be proved either by the plaintiff's spoken or written words (express assumption of risk), or by inference from the. How is assumption of risk applied in california? Altogether, california courts view the assumption of risk as a valid legal defense against a claim of negligence,. Assumption Of Risk In California.
From artofservice.com.au
9780655303589 Assumption of risk A Complete Guide by Blokdyk, Gerardus Assumption Of Risk In California Jewett (1992) 3 cal.4th 296. How is assumption of risk applied in california? Assumption of the risk is a legal doctrine that shifts liability for an accident or injury to the person who voluntarily chooses to engage in. In california, the courts have adopted a comparative fault system, which means that. California’s “primary assumption of the risk” doctrine was first. Assumption Of Risk In California.