Tangent Line Y Sqrt X . F left parenthesis, x , right parenthesis equals x cubed. Enter the equation of curve to find horizontal tangent line. Click the blue arrow to submit. F x = x 3 Horizontal tangent line calculator finds the equation of the tangent line to a given curve. Find the first derivative and evaluate at and to find the slope of the tangent line. The tangent line calculator finds the equation of the tangent line to a given curve at a given point. The equation of the tangent to y=f(x) at the point x=a is given by the formula: The gradient of the tangent when is equal to the. Compute answers using wolfram's breakthrough technology & knowledgebase, relied on by millions of students & professionals. The formula for the equation of tangent is derived from. Compute answers using wolfram's breakthrough technology &.
from www.youtube.com
The formula for the equation of tangent is derived from. Click the blue arrow to submit. Find the first derivative and evaluate at and to find the slope of the tangent line. F x = x 3 Compute answers using wolfram's breakthrough technology &. Compute answers using wolfram's breakthrough technology & knowledgebase, relied on by millions of students & professionals. Horizontal tangent line calculator finds the equation of the tangent line to a given curve. The gradient of the tangent when is equal to the. F left parenthesis, x , right parenthesis equals x cubed. Enter the equation of curve to find horizontal tangent line.
Find equation of tangent line to y= sqrt(1+x^3) at point (2, 3). Chain
Tangent Line Y Sqrt X The gradient of the tangent when is equal to the. The tangent line calculator finds the equation of the tangent line to a given curve at a given point. Compute answers using wolfram's breakthrough technology & knowledgebase, relied on by millions of students & professionals. Compute answers using wolfram's breakthrough technology &. The equation of the tangent to y=f(x) at the point x=a is given by the formula: Horizontal tangent line calculator finds the equation of the tangent line to a given curve. F x = x 3 The formula for the equation of tangent is derived from. The gradient of the tangent when is equal to the. Click the blue arrow to submit. Enter the equation of curve to find horizontal tangent line. F left parenthesis, x , right parenthesis equals x cubed. Find the first derivative and evaluate at and to find the slope of the tangent line.
From socratic.org
How do you find an equation of the tangent line to the curve at the Tangent Line Y Sqrt X The gradient of the tangent when is equal to the. The equation of the tangent to y=f(x) at the point x=a is given by the formula: Click the blue arrow to submit. The tangent line calculator finds the equation of the tangent line to a given curve at a given point. Compute answers using wolfram's breakthrough technology &. F x. Tangent Line Y Sqrt X.
From socratic.org
How do you find the equation of the tangent line to the graph of f(x)=x Tangent Line Y Sqrt X Find the first derivative and evaluate at and to find the slope of the tangent line. The tangent line calculator finds the equation of the tangent line to a given curve at a given point. The equation of the tangent to y=f(x) at the point x=a is given by the formula: Compute answers using wolfram's breakthrough technology &. The gradient. Tangent Line Y Sqrt X.
From www.quora.com
What is the equation of the circle tangent to the line 3x+y2=0 and (1 Tangent Line Y Sqrt X Click the blue arrow to submit. The formula for the equation of tangent is derived from. The equation of the tangent to y=f(x) at the point x=a is given by the formula: Horizontal tangent line calculator finds the equation of the tangent line to a given curve. The tangent line calculator finds the equation of the tangent line to a. Tangent Line Y Sqrt X.
From www.tessshebaylo.com
How To Find Equation Of Tangent Line Graph Tessshebaylo Tangent Line Y Sqrt X The equation of the tangent to y=f(x) at the point x=a is given by the formula: Enter the equation of curve to find horizontal tangent line. Click the blue arrow to submit. F left parenthesis, x , right parenthesis equals x cubed. Compute answers using wolfram's breakthrough technology & knowledgebase, relied on by millions of students & professionals. Find the. Tangent Line Y Sqrt X.
From socratic.org
How do you find the equations of the tangent lines to the curve y= (x1 Tangent Line Y Sqrt X Find the first derivative and evaluate at and to find the slope of the tangent line. F left parenthesis, x , right parenthesis equals x cubed. Horizontal tangent line calculator finds the equation of the tangent line to a given curve. F x = x 3 The gradient of the tangent when is equal to the. Compute answers using wolfram's. Tangent Line Y Sqrt X.
From www.youtube.com
Find the equation of the tangent line to the curve y = x(sqrt(x)) that Tangent Line Y Sqrt X Compute answers using wolfram's breakthrough technology &. The equation of the tangent to y=f(x) at the point x=a is given by the formula: Horizontal tangent line calculator finds the equation of the tangent line to a given curve. Find the first derivative and evaluate at and to find the slope of the tangent line. Compute answers using wolfram's breakthrough technology. Tangent Line Y Sqrt X.
From www.youtube.com
Find the equation of the tangent line to the curve `y=sqrt(5x3)2 Tangent Line Y Sqrt X Compute answers using wolfram's breakthrough technology &. The tangent line calculator finds the equation of the tangent line to a given curve at a given point. F left parenthesis, x , right parenthesis equals x cubed. The formula for the equation of tangent is derived from. Click the blue arrow to submit. Compute answers using wolfram's breakthrough technology & knowledgebase,. Tangent Line Y Sqrt X.
From www.toppr.com
the tangent to the curve ( sqrt { x } + sqrt { y } = sqrt { a } ) any Tangent Line Y Sqrt X Enter the equation of curve to find horizontal tangent line. Compute answers using wolfram's breakthrough technology & knowledgebase, relied on by millions of students & professionals. The equation of the tangent to y=f(x) at the point x=a is given by the formula: Horizontal tangent line calculator finds the equation of the tangent line to a given curve. F x =. Tangent Line Y Sqrt X.
From www.chegg.com
Solved (a) Find the slope m of the tangent to the curve y = Tangent Line Y Sqrt X Compute answers using wolfram's breakthrough technology & knowledgebase, relied on by millions of students & professionals. The formula for the equation of tangent is derived from. F x = x 3 Click the blue arrow to submit. The tangent line calculator finds the equation of the tangent line to a given curve at a given point. Find the first derivative. Tangent Line Y Sqrt X.
From www.youtube.com
The tangent and the normal lines at the point 1(sqrt3, 1) to the circle Tangent Line Y Sqrt X Find the first derivative and evaluate at and to find the slope of the tangent line. F x = x 3 Enter the equation of curve to find horizontal tangent line. The formula for the equation of tangent is derived from. Compute answers using wolfram's breakthrough technology & knowledgebase, relied on by millions of students & professionals. The gradient of. Tangent Line Y Sqrt X.
From exyvbdkaw.blob.core.windows.net
What Is The Tangent Of 30 Degrees at Joseph Pierson blog Tangent Line Y Sqrt X Compute answers using wolfram's breakthrough technology &. F x = x 3 The gradient of the tangent when is equal to the. The formula for the equation of tangent is derived from. Click the blue arrow to submit. The tangent line calculator finds the equation of the tangent line to a given curve at a given point. Compute answers using. Tangent Line Y Sqrt X.
From www.wikihow.com
How to Find the Equation of a Tangent Line 8 Steps Tangent Line Y Sqrt X Horizontal tangent line calculator finds the equation of the tangent line to a given curve. Enter the equation of curve to find horizontal tangent line. The equation of the tangent to y=f(x) at the point x=a is given by the formula: Compute answers using wolfram's breakthrough technology &. F left parenthesis, x , right parenthesis equals x cubed. Compute answers. Tangent Line Y Sqrt X.
From www.youtube.com
Find equation of tangent and normal line to curve y = x sqrt(x) at (1 Tangent Line Y Sqrt X Compute answers using wolfram's breakthrough technology &. The equation of the tangent to y=f(x) at the point x=a is given by the formula: The tangent line calculator finds the equation of the tangent line to a given curve at a given point. Enter the equation of curve to find horizontal tangent line. Horizontal tangent line calculator finds the equation of. Tangent Line Y Sqrt X.
From www.chegg.com
Solved Let f(x) 4. Find the equation of the line tangent to Tangent Line Y Sqrt X The gradient of the tangent when is equal to the. Compute answers using wolfram's breakthrough technology & knowledgebase, relied on by millions of students & professionals. The equation of the tangent to y=f(x) at the point x=a is given by the formula: Enter the equation of curve to find horizontal tangent line. Click the blue arrow to submit. The formula. Tangent Line Y Sqrt X.
From www.youtube.com
Finding The Linearization of a Function Using Tangent Line Tangent Line Y Sqrt X Find the first derivative and evaluate at and to find the slope of the tangent line. The tangent line calculator finds the equation of the tangent line to a given curve at a given point. Click the blue arrow to submit. F x = x 3 The gradient of the tangent when is equal to the. Compute answers using wolfram's. Tangent Line Y Sqrt X.
From www.cuemath.com
Tangent Line Equation, Slope, Horizontal Point of Tangency Tangent Line Y Sqrt X Horizontal tangent line calculator finds the equation of the tangent line to a given curve. Compute answers using wolfram's breakthrough technology & knowledgebase, relied on by millions of students & professionals. Compute answers using wolfram's breakthrough technology &. Click the blue arrow to submit. Enter the equation of curve to find horizontal tangent line. The tangent line calculator finds the. Tangent Line Y Sqrt X.
From www.youtube.com
How To Find The Equation of The Tangent Line With Derivatives YouTube Tangent Line Y Sqrt X Find the first derivative and evaluate at and to find the slope of the tangent line. Compute answers using wolfram's breakthrough technology &. The formula for the equation of tangent is derived from. The gradient of the tangent when is equal to the. The equation of the tangent to y=f(x) at the point x=a is given by the formula: Horizontal. Tangent Line Y Sqrt X.
From www.youtube.com
Find equation of tangent line to y= sqrt(1+x^3) at point (2, 3). Chain Tangent Line Y Sqrt X Horizontal tangent line calculator finds the equation of the tangent line to a given curve. The gradient of the tangent when is equal to the. The equation of the tangent to y=f(x) at the point x=a is given by the formula: Compute answers using wolfram's breakthrough technology &. F left parenthesis, x , right parenthesis equals x cubed. Click the. Tangent Line Y Sqrt X.
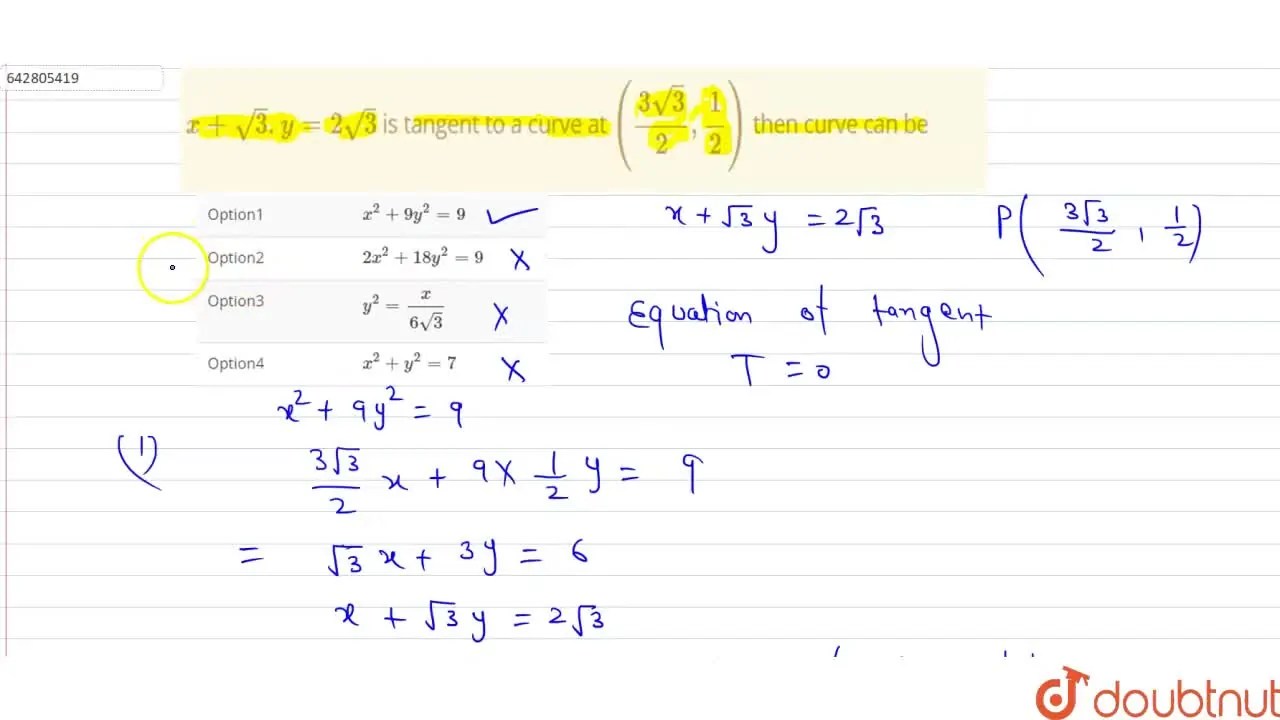
From www.doubtnut.com
x+sqrt3.y=2sqrt3 is tangent to a curve at ((3sqrt3)/2 ,1/2) then curve Tangent Line Y Sqrt X The tangent line calculator finds the equation of the tangent line to a given curve at a given point. Click the blue arrow to submit. F left parenthesis, x , right parenthesis equals x cubed. Find the first derivative and evaluate at and to find the slope of the tangent line. The formula for the equation of tangent is derived. Tangent Line Y Sqrt X.
From www.chegg.com
Solved Find an equation of the tangent line to the graph at Tangent Line Y Sqrt X F left parenthesis, x , right parenthesis equals x cubed. Horizontal tangent line calculator finds the equation of the tangent line to a given curve. F x = x 3 The tangent line calculator finds the equation of the tangent line to a given curve at a given point. Compute answers using wolfram's breakthrough technology &. Find the first derivative. Tangent Line Y Sqrt X.
From www.teachoo.com
Question 25 Find equation of tangent to root 3x2 parallel Tangent Line Y Sqrt X The formula for the equation of tangent is derived from. Enter the equation of curve to find horizontal tangent line. F x = x 3 The gradient of the tangent when is equal to the. Find the first derivative and evaluate at and to find the slope of the tangent line. Click the blue arrow to submit. The equation of. Tangent Line Y Sqrt X.
From owlcation.com
How to Find the Tangent Line of a Function in a Point Owlcation Tangent Line Y Sqrt X Horizontal tangent line calculator finds the equation of the tangent line to a given curve. Compute answers using wolfram's breakthrough technology &. Click the blue arrow to submit. Find the first derivative and evaluate at and to find the slope of the tangent line. The tangent line calculator finds the equation of the tangent line to a given curve at. Tangent Line Y Sqrt X.
From www.youtube.com
Find the equation of tangent line to curve y = sqrt(x) at point (1, 1 Tangent Line Y Sqrt X The formula for the equation of tangent is derived from. Horizontal tangent line calculator finds the equation of the tangent line to a given curve. F x = x 3 Compute answers using wolfram's breakthrough technology &. The tangent line calculator finds the equation of the tangent line to a given curve at a given point. The gradient of the. Tangent Line Y Sqrt X.
From www.toppr.com
Equation of the tangent line ( y = a / 4 ) to the curve ( y left( x Tangent Line Y Sqrt X Compute answers using wolfram's breakthrough technology & knowledgebase, relied on by millions of students & professionals. Horizontal tangent line calculator finds the equation of the tangent line to a given curve. The tangent line calculator finds the equation of the tangent line to a given curve at a given point. Find the first derivative and evaluate at and to find. Tangent Line Y Sqrt X.
From www.chegg.com
Solved Find an equation for the line tangent to the curve at Tangent Line Y Sqrt X The gradient of the tangent when is equal to the. The formula for the equation of tangent is derived from. The tangent line calculator finds the equation of the tangent line to a given curve at a given point. Compute answers using wolfram's breakthrough technology & knowledgebase, relied on by millions of students & professionals. Click the blue arrow to. Tangent Line Y Sqrt X.
From www.youtube.com
Find equation of tangent to y= sqrt(x)/(x+1) at point (4, 0) YouTube Tangent Line Y Sqrt X Compute answers using wolfram's breakthrough technology &. F x = x 3 The formula for the equation of tangent is derived from. Find the first derivative and evaluate at and to find the slope of the tangent line. Click the blue arrow to submit. The tangent line calculator finds the equation of the tangent line to a given curve at. Tangent Line Y Sqrt X.
From www.youtube.com
Find equation of tangent line to y= sqrt(3+x^2) that is parallel to Tangent Line Y Sqrt X Find the first derivative and evaluate at and to find the slope of the tangent line. Click the blue arrow to submit. Compute answers using wolfram's breakthrough technology & knowledgebase, relied on by millions of students & professionals. The tangent line calculator finds the equation of the tangent line to a given curve at a given point. The gradient of. Tangent Line Y Sqrt X.
From www.youtube.com
The tangent and the normal lines at the point (sqrt3, 1) to the circle Tangent Line Y Sqrt X F left parenthesis, x , right parenthesis equals x cubed. Compute answers using wolfram's breakthrough technology & knowledgebase, relied on by millions of students & professionals. Compute answers using wolfram's breakthrough technology &. The formula for the equation of tangent is derived from. The gradient of the tangent when is equal to the. Horizontal tangent line calculator finds the equation. Tangent Line Y Sqrt X.
From socratic.org
How do you find equation of tangent to circle x^2 + y^2 = 25 at the Tangent Line Y Sqrt X The formula for the equation of tangent is derived from. The tangent line calculator finds the equation of the tangent line to a given curve at a given point. Horizontal tangent line calculator finds the equation of the tangent line to a given curve. Compute answers using wolfram's breakthrough technology &. Find the first derivative and evaluate at and to. Tangent Line Y Sqrt X.
From sahedulseryce.blogspot.com
23+ Tangent Plane Calculator SahedulSeryce Tangent Line Y Sqrt X The equation of the tangent to y=f(x) at the point x=a is given by the formula: Enter the equation of curve to find horizontal tangent line. Compute answers using wolfram's breakthrough technology & knowledgebase, relied on by millions of students & professionals. F left parenthesis, x , right parenthesis equals x cubed. Click the blue arrow to submit. The formula. Tangent Line Y Sqrt X.
From www.youtube.com
Find Equation of Tangent line on sq rt (x 5) using first principle Tangent Line Y Sqrt X F x = x 3 F left parenthesis, x , right parenthesis equals x cubed. Find the first derivative and evaluate at and to find the slope of the tangent line. The tangent line calculator finds the equation of the tangent line to a given curve at a given point. Enter the equation of curve to find horizontal tangent line.. Tangent Line Y Sqrt X.
From www.youtube.com
Find equation of tangent line to curve y= x sqrt(x) that is parallel to Tangent Line Y Sqrt X The tangent line calculator finds the equation of the tangent line to a given curve at a given point. F left parenthesis, x , right parenthesis equals x cubed. Horizontal tangent line calculator finds the equation of the tangent line to a given curve. Click the blue arrow to submit. The equation of the tangent to y=f(x) at the point. Tangent Line Y Sqrt X.
From socratic.org
What is the equation of the normal line of f(x)=sqrt(x1)/(x^23) at x Tangent Line Y Sqrt X Click the blue arrow to submit. The tangent line calculator finds the equation of the tangent line to a given curve at a given point. Compute answers using wolfram's breakthrough technology &. Enter the equation of curve to find horizontal tangent line. The formula for the equation of tangent is derived from. F left parenthesis, x , right parenthesis equals. Tangent Line Y Sqrt X.
From quizlet.com
***Conjecture*** Consider the functions f(x)= \frac{1}{2}x^ Quizlet Tangent Line Y Sqrt X F left parenthesis, x , right parenthesis equals x cubed. Enter the equation of curve to find horizontal tangent line. The tangent line calculator finds the equation of the tangent line to a given curve at a given point. The gradient of the tangent when is equal to the. F x = x 3 Compute answers using wolfram's breakthrough technology. Tangent Line Y Sqrt X.
From www.youtube.com
2.1 Finding the Slope of Tangent Line Example 2 YouTube Tangent Line Y Sqrt X Compute answers using wolfram's breakthrough technology & knowledgebase, relied on by millions of students & professionals. The gradient of the tangent when is equal to the. Find the first derivative and evaluate at and to find the slope of the tangent line. Horizontal tangent line calculator finds the equation of the tangent line to a given curve. Compute answers using. Tangent Line Y Sqrt X.