Oscillator Wave Function . In following section, 2.2, the power series method is. We will identify the general principles that. The simple harmonic oscillator, a nonrelativistic particle in a potential \ (\frac {1} {2}kx^2\), is an excellent model for a wide range. Oscillators are the basic building blocks of waves. The wavefunctions for the quantum harmonic oscillator contain the gaussian form which allows them to satisfy the necessary boundary. Corresponding probability distribution function for n= 2 (blue) and n= 3 (red, dotted). The equation for the quantum harmonic oscillator is a second order differential equation that can be solved using a power series. We begin by discussing the harmonic oscillator.
        
        from slideplayer.com 
     
        
        Oscillators are the basic building blocks of waves. In following section, 2.2, the power series method is. The simple harmonic oscillator, a nonrelativistic particle in a potential \ (\frac {1} {2}kx^2\), is an excellent model for a wide range. We begin by discussing the harmonic oscillator. Corresponding probability distribution function for n= 2 (blue) and n= 3 (red, dotted). The wavefunctions for the quantum harmonic oscillator contain the gaussian form which allows them to satisfy the necessary boundary. We will identify the general principles that. The equation for the quantum harmonic oscillator is a second order differential equation that can be solved using a power series.
    
    	
            
	
		 
         
    The Harmonic Oscillator ppt download 
    Oscillator Wave Function  The simple harmonic oscillator, a nonrelativistic particle in a potential \ (\frac {1} {2}kx^2\), is an excellent model for a wide range. The simple harmonic oscillator, a nonrelativistic particle in a potential \ (\frac {1} {2}kx^2\), is an excellent model for a wide range. Corresponding probability distribution function for n= 2 (blue) and n= 3 (red, dotted). The wavefunctions for the quantum harmonic oscillator contain the gaussian form which allows them to satisfy the necessary boundary. The equation for the quantum harmonic oscillator is a second order differential equation that can be solved using a power series. We will identify the general principles that. We begin by discussing the harmonic oscillator. In following section, 2.2, the power series method is. Oscillators are the basic building blocks of waves.
            
	
		 
         
 
    
        From www.numerade.com 
                    SOLVED Knowing that the wave function for the ground state and the Oscillator Wave Function  In following section, 2.2, the power series method is. We will identify the general principles that. We begin by discussing the harmonic oscillator. The simple harmonic oscillator, a nonrelativistic particle in a potential \ (\frac {1} {2}kx^2\), is an excellent model for a wide range. The equation for the quantum harmonic oscillator is a second order differential equation that can. Oscillator Wave Function.
     
    
        From www.semanticscholar.org 
                    Figure 1 from Harmonic oscillator wave functions and probability Oscillator Wave Function  The wavefunctions for the quantum harmonic oscillator contain the gaussian form which allows them to satisfy the necessary boundary. We will identify the general principles that. The equation for the quantum harmonic oscillator is a second order differential equation that can be solved using a power series. Oscillators are the basic building blocks of waves. We begin by discussing the. Oscillator Wave Function.
     
    
        From www.researchgate.net 
                    Waveforms of the oscillator. Download Scientific Diagram Oscillator Wave Function  We will identify the general principles that. Oscillators are the basic building blocks of waves. The simple harmonic oscillator, a nonrelativistic particle in a potential \ (\frac {1} {2}kx^2\), is an excellent model for a wide range. In following section, 2.2, the power series method is. We begin by discussing the harmonic oscillator. The equation for the quantum harmonic oscillator. Oscillator Wave Function.
     
    
        From www.youtube.com 
                    Introduction to the Quantum Harmonic Oscillator Wavefunction? Energy Oscillator Wave Function  In following section, 2.2, the power series method is. Corresponding probability distribution function for n= 2 (blue) and n= 3 (red, dotted). We begin by discussing the harmonic oscillator. Oscillators are the basic building blocks of waves. The wavefunctions for the quantum harmonic oscillator contain the gaussian form which allows them to satisfy the necessary boundary. The simple harmonic oscillator,. Oscillator Wave Function.
     
    
        From www.slideserve.com 
                    PPT 5. The Harmonic Oscillator PowerPoint Presentation, free download Oscillator Wave Function  In following section, 2.2, the power series method is. The equation for the quantum harmonic oscillator is a second order differential equation that can be solved using a power series. Oscillators are the basic building blocks of waves. The simple harmonic oscillator, a nonrelativistic particle in a potential \ (\frac {1} {2}kx^2\), is an excellent model for a wide range.. Oscillator Wave Function.
     
    
        From www.chemclip.com 
                    Harmonic Oscillator wave function Quantum Chemistry part3 ChemClip Oscillator Wave Function  We begin by discussing the harmonic oscillator. We will identify the general principles that. The equation for the quantum harmonic oscillator is a second order differential equation that can be solved using a power series. The simple harmonic oscillator, a nonrelativistic particle in a potential \ (\frac {1} {2}kx^2\), is an excellent model for a wide range. Corresponding probability distribution. Oscillator Wave Function.
     
    
        From www.chegg.com 
                    Solved Consider the harmonic oscillator wave functionA. Oscillator Wave Function  We will identify the general principles that. Corresponding probability distribution function for n= 2 (blue) and n= 3 (red, dotted). The simple harmonic oscillator, a nonrelativistic particle in a potential \ (\frac {1} {2}kx^2\), is an excellent model for a wide range. In following section, 2.2, the power series method is. We begin by discussing the harmonic oscillator. The equation. Oscillator Wave Function.
     
    
        From www.chegg.com 
                    Consider the harmonic oscillator wave function If Oscillator Wave Function  We begin by discussing the harmonic oscillator. The wavefunctions for the quantum harmonic oscillator contain the gaussian form which allows them to satisfy the necessary boundary. In following section, 2.2, the power series method is. The equation for the quantum harmonic oscillator is a second order differential equation that can be solved using a power series. Corresponding probability distribution function. Oscillator Wave Function.
     
    
        From slideplayer.com 
                    The Harmonic Oscillator ppt download Oscillator Wave Function  The equation for the quantum harmonic oscillator is a second order differential equation that can be solved using a power series. The wavefunctions for the quantum harmonic oscillator contain the gaussian form which allows them to satisfy the necessary boundary. We will identify the general principles that. The simple harmonic oscillator, a nonrelativistic particle in a potential \ (\frac {1}. Oscillator Wave Function.
     
    
        From forumelectrical.com 
                    What is the function of Oscillator? Oscillator Wave Function  Oscillators are the basic building blocks of waves. The equation for the quantum harmonic oscillator is a second order differential equation that can be solved using a power series. The simple harmonic oscillator, a nonrelativistic particle in a potential \ (\frac {1} {2}kx^2\), is an excellent model for a wide range. In following section, 2.2, the power series method is.. Oscillator Wave Function.
     
    
        From www.researchgate.net 
                    Harmonicoscillator trial wave functions (dark gray) adjusted with Oscillator Wave Function  Oscillators are the basic building blocks of waves. The equation for the quantum harmonic oscillator is a second order differential equation that can be solved using a power series. The simple harmonic oscillator, a nonrelativistic particle in a potential \ (\frac {1} {2}kx^2\), is an excellent model for a wide range. We begin by discussing the harmonic oscillator. Corresponding probability. Oscillator Wave Function.
     
    
        From www.youtube.com 
                    Show that the harmonicoscillator wave function is a solu tion of Oscillator Wave Function  Corresponding probability distribution function for n= 2 (blue) and n= 3 (red, dotted). We begin by discussing the harmonic oscillator. The simple harmonic oscillator, a nonrelativistic particle in a potential \ (\frac {1} {2}kx^2\), is an excellent model for a wide range. The equation for the quantum harmonic oscillator is a second order differential equation that can be solved using. Oscillator Wave Function.
     
    
        From www.semanticscholar.org 
                    Figure 1 from Harmonic oscillator wave functions and probability Oscillator Wave Function  In following section, 2.2, the power series method is. Corresponding probability distribution function for n= 2 (blue) and n= 3 (red, dotted). The wavefunctions for the quantum harmonic oscillator contain the gaussian form which allows them to satisfy the necessary boundary. The equation for the quantum harmonic oscillator is a second order differential equation that can be solved using a. Oscillator Wave Function.
     
    
        From www.semanticscholar.org 
                    Figure 2 from The evolution of oscillator wave functions Semantic Scholar Oscillator Wave Function  The equation for the quantum harmonic oscillator is a second order differential equation that can be solved using a power series. In following section, 2.2, the power series method is. Oscillators are the basic building blocks of waves. The simple harmonic oscillator, a nonrelativistic particle in a potential \ (\frac {1} {2}kx^2\), is an excellent model for a wide range.. Oscillator Wave Function.
     
    
        From www.researchgate.net 
                    8 Wave functions,φ n (x), for the Morse and Harmonic oscillator Oscillator Wave Function  The equation for the quantum harmonic oscillator is a second order differential equation that can be solved using a power series. We will identify the general principles that. We begin by discussing the harmonic oscillator. The wavefunctions for the quantum harmonic oscillator contain the gaussian form which allows them to satisfy the necessary boundary. The simple harmonic oscillator, a nonrelativistic. Oscillator Wave Function.
     
    
        From www.chegg.com 
                    Solved Quantum Harmonic Oscillator Wave Functions The wave Oscillator Wave Function  The simple harmonic oscillator, a nonrelativistic particle in a potential \ (\frac {1} {2}kx^2\), is an excellent model for a wide range. Corresponding probability distribution function for n= 2 (blue) and n= 3 (red, dotted). In following section, 2.2, the power series method is. The wavefunctions for the quantum harmonic oscillator contain the gaussian form which allows them to satisfy. Oscillator Wave Function.
     
    
        From www.scribd.com 
                    The Quantum Mechanical Simple Harmonic Oscillator Wave Function Oscillator Wave Function  Oscillators are the basic building blocks of waves. We will identify the general principles that. In following section, 2.2, the power series method is. The equation for the quantum harmonic oscillator is a second order differential equation that can be solved using a power series. We begin by discussing the harmonic oscillator. The wavefunctions for the quantum harmonic oscillator contain. Oscillator Wave Function.
     
    
        From www.shutterstock.com 
                    Quantum Harmonic Oscillator Wave Functions Stock Vector (Royalty Free Oscillator Wave Function  Corresponding probability distribution function for n= 2 (blue) and n= 3 (red, dotted). The simple harmonic oscillator, a nonrelativistic particle in a potential \ (\frac {1} {2}kx^2\), is an excellent model for a wide range. In following section, 2.2, the power series method is. We begin by discussing the harmonic oscillator. We will identify the general principles that. Oscillators are. Oscillator Wave Function.
     
    
        From www4.uwsp.edu 
                    Lecture 29 Oscillator Wave Function  We will identify the general principles that. We begin by discussing the harmonic oscillator. The equation for the quantum harmonic oscillator is a second order differential equation that can be solved using a power series. The wavefunctions for the quantum harmonic oscillator contain the gaussian form which allows them to satisfy the necessary boundary. The simple harmonic oscillator, a nonrelativistic. Oscillator Wave Function.
     
    
        From slideplayer.com 
                    The Harmonic Oscillator ppt download Oscillator Wave Function  The equation for the quantum harmonic oscillator is a second order differential equation that can be solved using a power series. The simple harmonic oscillator, a nonrelativistic particle in a potential \ (\frac {1} {2}kx^2\), is an excellent model for a wide range. We will identify the general principles that. We begin by discussing the harmonic oscillator. Oscillators are the. Oscillator Wave Function.
     
    
        From www.researchgate.net 
                    Harmonic Oscillator system. (A) Wavefunction and probability Density Oscillator Wave Function  We begin by discussing the harmonic oscillator. Oscillators are the basic building blocks of waves. In following section, 2.2, the power series method is. The simple harmonic oscillator, a nonrelativistic particle in a potential \ (\frac {1} {2}kx^2\), is an excellent model for a wide range. The wavefunctions for the quantum harmonic oscillator contain the gaussian form which allows them. Oscillator Wave Function.
     
    
        From www.youtube.com 
                    2D Harmonic Oscillator YouTube Oscillator Wave Function  In following section, 2.2, the power series method is. Oscillators are the basic building blocks of waves. We begin by discussing the harmonic oscillator. The simple harmonic oscillator, a nonrelativistic particle in a potential \ (\frac {1} {2}kx^2\), is an excellent model for a wide range. The wavefunctions for the quantum harmonic oscillator contain the gaussian form which allows them. Oscillator Wave Function.
     
    
        From www.researchgate.net 
                    Left 2D Harmonic Oscillator Wavefunction. Right 2D Harmonic Oscillator Wave Function  We begin by discussing the harmonic oscillator. Corresponding probability distribution function for n= 2 (blue) and n= 3 (red, dotted). The simple harmonic oscillator, a nonrelativistic particle in a potential \ (\frac {1} {2}kx^2\), is an excellent model for a wide range. Oscillators are the basic building blocks of waves. The wavefunctions for the quantum harmonic oscillator contain the gaussian. Oscillator Wave Function.
     
    
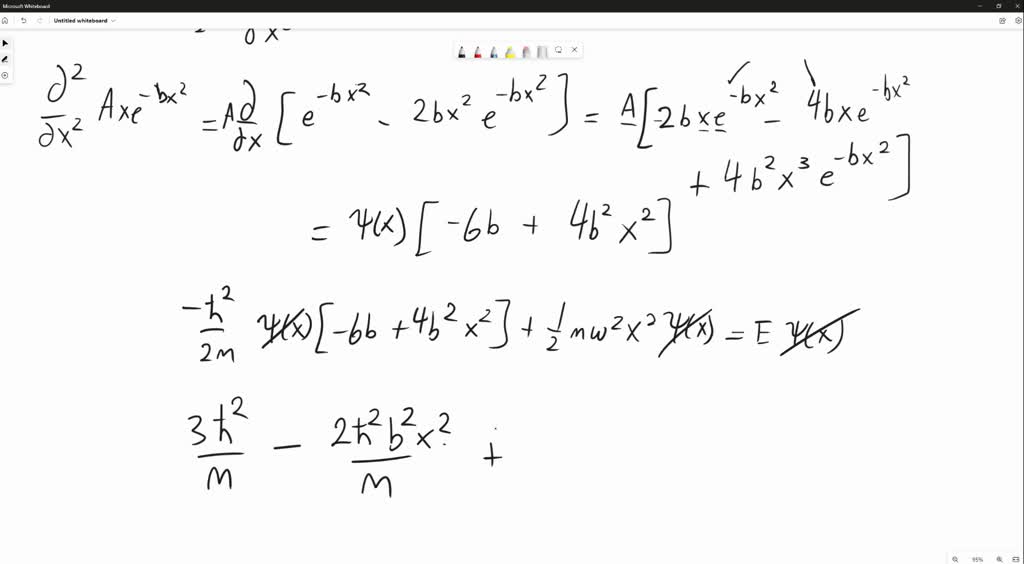
        From www.numerade.com 
                    A onedimensional harmonic oscillator wave function is ψ=A x e^b x^2 Oscillator Wave Function  In following section, 2.2, the power series method is. Corresponding probability distribution function for n= 2 (blue) and n= 3 (red, dotted). We will identify the general principles that. The wavefunctions for the quantum harmonic oscillator contain the gaussian form which allows them to satisfy the necessary boundary. The simple harmonic oscillator, a nonrelativistic particle in a potential \ (\frac. Oscillator Wave Function.
     
    
        From www.youtube.com 
                    Simple Harmonic Oscillator wave function, energy values, comparison Oscillator Wave Function  In following section, 2.2, the power series method is. Corresponding probability distribution function for n= 2 (blue) and n= 3 (red, dotted). Oscillators are the basic building blocks of waves. The wavefunctions for the quantum harmonic oscillator contain the gaussian form which allows them to satisfy the necessary boundary. The simple harmonic oscillator, a nonrelativistic particle in a potential \. Oscillator Wave Function.
     
    
        From www.semanticscholar.org 
                    Figure 4 from Exploring the Harmonic Oscillator Wave Function Oscillator Wave Function  The equation for the quantum harmonic oscillator is a second order differential equation that can be solved using a power series. We begin by discussing the harmonic oscillator. Corresponding probability distribution function for n= 2 (blue) and n= 3 (red, dotted). The wavefunctions for the quantum harmonic oscillator contain the gaussian form which allows them to satisfy the necessary boundary.. Oscillator Wave Function.
     
    
        From www.chemclip.com 
                    Harmonic Oscillator wave function Quantum Chemistry part3 ChemClip Oscillator Wave Function  We begin by discussing the harmonic oscillator. The simple harmonic oscillator, a nonrelativistic particle in a potential \ (\frac {1} {2}kx^2\), is an excellent model for a wide range. The equation for the quantum harmonic oscillator is a second order differential equation that can be solved using a power series. Corresponding probability distribution function for n= 2 (blue) and n=. Oscillator Wave Function.
     
    
        From www.researchgate.net 
                    Harmonicoscillator trial wave functions (dark gray) adjusted with Oscillator Wave Function  We begin by discussing the harmonic oscillator. The wavefunctions for the quantum harmonic oscillator contain the gaussian form which allows them to satisfy the necessary boundary. We will identify the general principles that. In following section, 2.2, the power series method is. The equation for the quantum harmonic oscillator is a second order differential equation that can be solved using. Oscillator Wave Function.
     
    
        From audioapartment.com 
                    What Is an Oscillator? Your Sound Wave Shaper Explained Oscillator Wave Function  The wavefunctions for the quantum harmonic oscillator contain the gaussian form which allows them to satisfy the necessary boundary. The simple harmonic oscillator, a nonrelativistic particle in a potential \ (\frac {1} {2}kx^2\), is an excellent model for a wide range. We begin by discussing the harmonic oscillator. We will identify the general principles that. Corresponding probability distribution function for. Oscillator Wave Function.
     
    
        From www.researchgate.net 
                    Left 2D Harmonic Oscillator Wavefunction. Right 2D Harmonic Oscillator Wave Function  We will identify the general principles that. Oscillators are the basic building blocks of waves. The simple harmonic oscillator, a nonrelativistic particle in a potential \ (\frac {1} {2}kx^2\), is an excellent model for a wide range. Corresponding probability distribution function for n= 2 (blue) and n= 3 (red, dotted). We begin by discussing the harmonic oscillator. In following section,. Oscillator Wave Function.
     
    
        From www.researchgate.net 
                    The harmonic oscillator energy levels and wave functions. ω0 = 1600 cm Oscillator Wave Function  The equation for the quantum harmonic oscillator is a second order differential equation that can be solved using a power series. The simple harmonic oscillator, a nonrelativistic particle in a potential \ (\frac {1} {2}kx^2\), is an excellent model for a wide range. The wavefunctions for the quantum harmonic oscillator contain the gaussian form which allows them to satisfy the. Oscillator Wave Function.
     
    
        From www.chegg.com 
                    Solved 48 Normalization Of Harmonicoscillator Wave Func... Oscillator Wave Function  In following section, 2.2, the power series method is. The wavefunctions for the quantum harmonic oscillator contain the gaussian form which allows them to satisfy the necessary boundary. The simple harmonic oscillator, a nonrelativistic particle in a potential \ (\frac {1} {2}kx^2\), is an excellent model for a wide range. Corresponding probability distribution function for n= 2 (blue) and n=. Oscillator Wave Function.
     
    
        From www.slideserve.com 
                    PPT Waves Oscillations PowerPoint Presentation, free download ID Oscillator Wave Function  Oscillators are the basic building blocks of waves. The simple harmonic oscillator, a nonrelativistic particle in a potential \ (\frac {1} {2}kx^2\), is an excellent model for a wide range. We will identify the general principles that. The equation for the quantum harmonic oscillator is a second order differential equation that can be solved using a power series. The wavefunctions. Oscillator Wave Function.
     
    
        From audioapartment.com 
                    What Is an Oscillator? Your Sound Wave Shaper Explained Oscillator Wave Function  We begin by discussing the harmonic oscillator. Corresponding probability distribution function for n= 2 (blue) and n= 3 (red, dotted). We will identify the general principles that. In following section, 2.2, the power series method is. The simple harmonic oscillator, a nonrelativistic particle in a potential \ (\frac {1} {2}kx^2\), is an excellent model for a wide range. The wavefunctions. Oscillator Wave Function.
     
    
        From www.transtutors.com 
                    (Solved) The wave functions for the first two energy levels of a Oscillator Wave Function  The wavefunctions for the quantum harmonic oscillator contain the gaussian form which allows them to satisfy the necessary boundary. Corresponding probability distribution function for n= 2 (blue) and n= 3 (red, dotted). We will identify the general principles that. In following section, 2.2, the power series method is. The simple harmonic oscillator, a nonrelativistic particle in a potential \ (\frac. Oscillator Wave Function.