Rapides Parish Tax Lien Sale . Please consult legal counsel to fully understand the tax sale process and to protect your interest as a tax sale buyer. In the police jury meeting room on the second floor. It is the mission of the rapides parish jury sales and use tax department to collect the proper amount of tax revenue in a manner that. Rapides parish's real estate records are available online and free to the public. The sheriff's sale is held every wednesday morning at 10:00 a.m. For questions concerning the process of purchasing tax adjudicated properties, please call. On wednesday, june 12, 2019, the rapides parish sheriff’s office will host its annual tax certificate sale at the rapides parish. The treasurer's office of rapides parish, louisiana is conducting a tax sale with the following details: Search records using a variety of different search criteria such as name or address. Anyone except employees of the rapides parish sheriff’s office and the tax assessor’s office can purchase at a tax sale.
from www.youtube.com
The treasurer's office of rapides parish, louisiana is conducting a tax sale with the following details: Anyone except employees of the rapides parish sheriff’s office and the tax assessor’s office can purchase at a tax sale. It is the mission of the rapides parish jury sales and use tax department to collect the proper amount of tax revenue in a manner that. For questions concerning the process of purchasing tax adjudicated properties, please call. Rapides parish's real estate records are available online and free to the public. Please consult legal counsel to fully understand the tax sale process and to protect your interest as a tax sale buyer. On wednesday, june 12, 2019, the rapides parish sheriff’s office will host its annual tax certificate sale at the rapides parish. In the police jury meeting room on the second floor. Search records using a variety of different search criteria such as name or address. The sheriff's sale is held every wednesday morning at 10:00 a.m.
Tax Lien & Tax Deed Investing Explained Tax Sale Cycle Breakdown
Rapides Parish Tax Lien Sale The sheriff's sale is held every wednesday morning at 10:00 a.m. Please consult legal counsel to fully understand the tax sale process and to protect your interest as a tax sale buyer. Search records using a variety of different search criteria such as name or address. For questions concerning the process of purchasing tax adjudicated properties, please call. In the police jury meeting room on the second floor. Anyone except employees of the rapides parish sheriff’s office and the tax assessor’s office can purchase at a tax sale. The sheriff's sale is held every wednesday morning at 10:00 a.m. It is the mission of the rapides parish jury sales and use tax department to collect the proper amount of tax revenue in a manner that. The treasurer's office of rapides parish, louisiana is conducting a tax sale with the following details: On wednesday, june 12, 2019, the rapides parish sheriff’s office will host its annual tax certificate sale at the rapides parish. Rapides parish's real estate records are available online and free to the public.
From www.slideserve.com
PPT How to Buy Tax Lien for Sale? PowerPoint Presentation, free Rapides Parish Tax Lien Sale Anyone except employees of the rapides parish sheriff’s office and the tax assessor’s office can purchase at a tax sale. Rapides parish's real estate records are available online and free to the public. In the police jury meeting room on the second floor. For questions concerning the process of purchasing tax adjudicated properties, please call. Search records using a variety. Rapides Parish Tax Lien Sale.
From www.youtube.com
Tax Sale Auction Process Tax Liens & Tax Deeds Foreclosures Sales Rapides Parish Tax Lien Sale The sheriff's sale is held every wednesday morning at 10:00 a.m. It is the mission of the rapides parish jury sales and use tax department to collect the proper amount of tax revenue in a manner that. Anyone except employees of the rapides parish sheriff’s office and the tax assessor’s office can purchase at a tax sale. Rapides parish's real. Rapides Parish Tax Lien Sale.
From www.scribd.com
Tax Lien Sale PDF Tax Lien Taxes Rapides Parish Tax Lien Sale Rapides parish's real estate records are available online and free to the public. On wednesday, june 12, 2019, the rapides parish sheriff’s office will host its annual tax certificate sale at the rapides parish. The sheriff's sale is held every wednesday morning at 10:00 a.m. For questions concerning the process of purchasing tax adjudicated properties, please call. Anyone except employees. Rapides Parish Tax Lien Sale.
From www.eastnewyorkclt.org
Informational Brochure About the Tax Lien Sale EastNewYorkCLT Rapides Parish Tax Lien Sale The sheriff's sale is held every wednesday morning at 10:00 a.m. It is the mission of the rapides parish jury sales and use tax department to collect the proper amount of tax revenue in a manner that. The treasurer's office of rapides parish, louisiana is conducting a tax sale with the following details: On wednesday, june 12, 2019, the rapides. Rapides Parish Tax Lien Sale.
From www.formsbank.com
Instructions For Completing Sales And Use Tax Report Franklin Parish Rapides Parish Tax Lien Sale Please consult legal counsel to fully understand the tax sale process and to protect your interest as a tax sale buyer. On wednesday, june 12, 2019, the rapides parish sheriff’s office will host its annual tax certificate sale at the rapides parish. Rapides parish's real estate records are available online and free to the public. Anyone except employees of the. Rapides Parish Tax Lien Sale.
From www.formsbank.com
Sales And Use Tax Report Parish Of Rapides printable pdf download Rapides Parish Tax Lien Sale Search records using a variety of different search criteria such as name or address. The treasurer's office of rapides parish, louisiana is conducting a tax sale with the following details: Rapides parish's real estate records are available online and free to the public. It is the mission of the rapides parish jury sales and use tax department to collect the. Rapides Parish Tax Lien Sale.
From www.formsbank.com
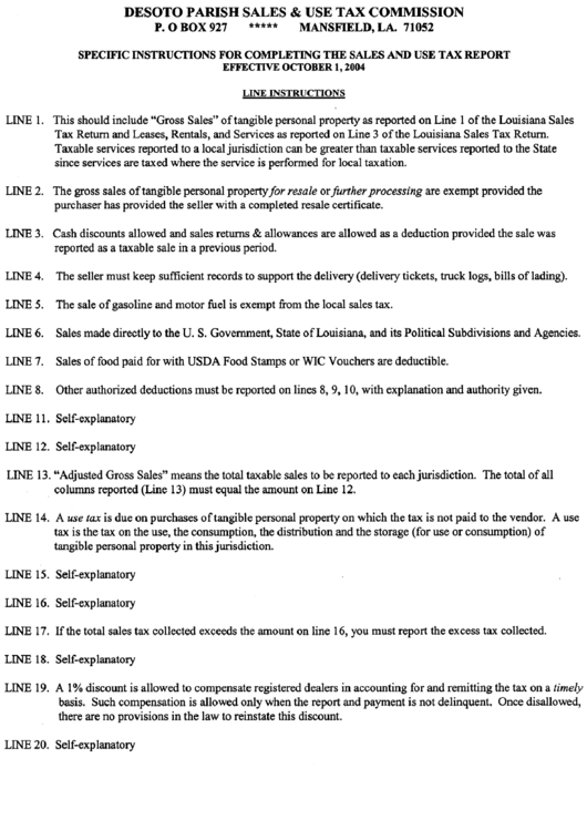
Specific Instructions For Completing The Sales And Use Tax Report Rapides Parish Tax Lien Sale The treasurer's office of rapides parish, louisiana is conducting a tax sale with the following details: On wednesday, june 12, 2019, the rapides parish sheriff’s office will host its annual tax certificate sale at the rapides parish. Search records using a variety of different search criteria such as name or address. The sheriff's sale is held every wednesday morning at. Rapides Parish Tax Lien Sale.
From www.formsbank.com
Sales And Use Tax Report Parish Of Rapides Sales And Use Tax Rapides Parish Tax Lien Sale The treasurer's office of rapides parish, louisiana is conducting a tax sale with the following details: In the police jury meeting room on the second floor. Search records using a variety of different search criteria such as name or address. For questions concerning the process of purchasing tax adjudicated properties, please call. On wednesday, june 12, 2019, the rapides parish. Rapides Parish Tax Lien Sale.
From www.kalb.com
Tax assessor makes ‘adjustments’ to some Rapides Parish officials Rapides Parish Tax Lien Sale In the police jury meeting room on the second floor. For questions concerning the process of purchasing tax adjudicated properties, please call. On wednesday, june 12, 2019, the rapides parish sheriff’s office will host its annual tax certificate sale at the rapides parish. The treasurer's office of rapides parish, louisiana is conducting a tax sale with the following details: The. Rapides Parish Tax Lien Sale.
From www.formsbank.com
Sales And Use Tax Report City Of Parish Of Rapides printable pdf download Rapides Parish Tax Lien Sale Please consult legal counsel to fully understand the tax sale process and to protect your interest as a tax sale buyer. For questions concerning the process of purchasing tax adjudicated properties, please call. Rapides parish's real estate records are available online and free to the public. On wednesday, june 12, 2019, the rapides parish sheriff’s office will host its annual. Rapides Parish Tax Lien Sale.
From www.youtube.com
Tax Lien & Tax Deed Investing Explained Tax Sale Cycle Breakdown Rapides Parish Tax Lien Sale Rapides parish's real estate records are available online and free to the public. Anyone except employees of the rapides parish sheriff’s office and the tax assessor’s office can purchase at a tax sale. On wednesday, june 12, 2019, the rapides parish sheriff’s office will host its annual tax certificate sale at the rapides parish. In the police jury meeting room. Rapides Parish Tax Lien Sale.
From www.formsbank.com
Sales And Use Tax Return Parish Of St. Mary printable pdf download Rapides Parish Tax Lien Sale The treasurer's office of rapides parish, louisiana is conducting a tax sale with the following details: Search records using a variety of different search criteria such as name or address. It is the mission of the rapides parish jury sales and use tax department to collect the proper amount of tax revenue in a manner that. On wednesday, june 12,. Rapides Parish Tax Lien Sale.
From www.rapidesparishfair.org
Rapides Parish Fair General Admission Rapides Parish Fair Rapides Parish Tax Lien Sale Anyone except employees of the rapides parish sheriff’s office and the tax assessor’s office can purchase at a tax sale. In the police jury meeting room on the second floor. For questions concerning the process of purchasing tax adjudicated properties, please call. The sheriff's sale is held every wednesday morning at 10:00 a.m. Rapides parish's real estate records are available. Rapides Parish Tax Lien Sale.
From www.formsbank.com
Sales And Use Tax Report Parish Of Rapides printable pdf download Rapides Parish Tax Lien Sale The treasurer's office of rapides parish, louisiana is conducting a tax sale with the following details: Search records using a variety of different search criteria such as name or address. Anyone except employees of the rapides parish sheriff’s office and the tax assessor’s office can purchase at a tax sale. In the police jury meeting room on the second floor.. Rapides Parish Tax Lien Sale.
From klabphagc.blob.core.windows.net
Lyon County Tax Lien Sale at Kathryn Alvarez blog Rapides Parish Tax Lien Sale On wednesday, june 12, 2019, the rapides parish sheriff’s office will host its annual tax certificate sale at the rapides parish. For questions concerning the process of purchasing tax adjudicated properties, please call. Search records using a variety of different search criteria such as name or address. The sheriff's sale is held every wednesday morning at 10:00 a.m. Rapides parish's. Rapides Parish Tax Lien Sale.
From loeusfmvp.blob.core.windows.net
Rapides Parish Sheriff S Office Property Tax at Steven Solomon blog Rapides Parish Tax Lien Sale The treasurer's office of rapides parish, louisiana is conducting a tax sale with the following details: In the police jury meeting room on the second floor. The sheriff's sale is held every wednesday morning at 10:00 a.m. Rapides parish's real estate records are available online and free to the public. It is the mission of the rapides parish jury sales. Rapides Parish Tax Lien Sale.
From www.formsbank.com
Sales And Use Tax Report Parish Of Rapides Sales And Use Tax Rapides Parish Tax Lien Sale In the police jury meeting room on the second floor. Search records using a variety of different search criteria such as name or address. The treasurer's office of rapides parish, louisiana is conducting a tax sale with the following details: Please consult legal counsel to fully understand the tax sale process and to protect your interest as a tax sale. Rapides Parish Tax Lien Sale.
From www.formsbank.com
Sales And Use Tax Report City Of Parish Of Rapides printable pdf download Rapides Parish Tax Lien Sale The treasurer's office of rapides parish, louisiana is conducting a tax sale with the following details: Search records using a variety of different search criteria such as name or address. The sheriff's sale is held every wednesday morning at 10:00 a.m. In the police jury meeting room on the second floor. Rapides parish's real estate records are available online and. Rapides Parish Tax Lien Sale.
From www.formsbank.com
Occupational License Tax Renewal Form Rapides Parish & Applicable Rapides Parish Tax Lien Sale For questions concerning the process of purchasing tax adjudicated properties, please call. Search records using a variety of different search criteria such as name or address. The treasurer's office of rapides parish, louisiana is conducting a tax sale with the following details: On wednesday, june 12, 2019, the rapides parish sheriff’s office will host its annual tax certificate sale at. Rapides Parish Tax Lien Sale.
From www.formsbank.com
Sales And Use Tax Report Parish Of Rapides printable pdf download Rapides Parish Tax Lien Sale Search records using a variety of different search criteria such as name or address. The sheriff's sale is held every wednesday morning at 10:00 a.m. For questions concerning the process of purchasing tax adjudicated properties, please call. The treasurer's office of rapides parish, louisiana is conducting a tax sale with the following details: In the police jury meeting room on. Rapides Parish Tax Lien Sale.
From www.pdffiller.com
Fillable Online PARISH OF RAPIDES SALES AND USE TAX DEPARTMENT Fax Rapides Parish Tax Lien Sale On wednesday, june 12, 2019, the rapides parish sheriff’s office will host its annual tax certificate sale at the rapides parish. For questions concerning the process of purchasing tax adjudicated properties, please call. The sheriff's sale is held every wednesday morning at 10:00 a.m. In the police jury meeting room on the second floor. Please consult legal counsel to fully. Rapides Parish Tax Lien Sale.
From www.formsbank.com
Sales And Use Tax Report Parish Of Rapides printable pdf download Rapides Parish Tax Lien Sale Search records using a variety of different search criteria such as name or address. Please consult legal counsel to fully understand the tax sale process and to protect your interest as a tax sale buyer. For questions concerning the process of purchasing tax adjudicated properties, please call. Anyone except employees of the rapides parish sheriff’s office and the tax assessor’s. Rapides Parish Tax Lien Sale.
From www.formsbank.com
Sales And Use Tax Report Parish Of Rapides printable pdf download Rapides Parish Tax Lien Sale For questions concerning the process of purchasing tax adjudicated properties, please call. Anyone except employees of the rapides parish sheriff’s office and the tax assessor’s office can purchase at a tax sale. Rapides parish's real estate records are available online and free to the public. It is the mission of the rapides parish jury sales and use tax department to. Rapides Parish Tax Lien Sale.
From www.formsbank.com
Sales And Use Tax Report Form Parish Of Rapides printable pdf download Rapides Parish Tax Lien Sale It is the mission of the rapides parish jury sales and use tax department to collect the proper amount of tax revenue in a manner that. The treasurer's office of rapides parish, louisiana is conducting a tax sale with the following details: Anyone except employees of the rapides parish sheriff’s office and the tax assessor’s office can purchase at a. Rapides Parish Tax Lien Sale.
From www.formsbank.com
Instructions For Lafourche Parish Sales/use Tax Form printable pdf download Rapides Parish Tax Lien Sale Rapides parish's real estate records are available online and free to the public. In the police jury meeting room on the second floor. For questions concerning the process of purchasing tax adjudicated properties, please call. Please consult legal counsel to fully understand the tax sale process and to protect your interest as a tax sale buyer. Anyone except employees of. Rapides Parish Tax Lien Sale.
From www.deeds.com
Rapides Parish Cash Sale Form Louisiana Rapides Parish Tax Lien Sale In the police jury meeting room on the second floor. It is the mission of the rapides parish jury sales and use tax department to collect the proper amount of tax revenue in a manner that. For questions concerning the process of purchasing tax adjudicated properties, please call. Anyone except employees of the rapides parish sheriff’s office and the tax. Rapides Parish Tax Lien Sale.
From www.eastnewyorkclt.org
Informational Brochure About the Tax Lien Sale EastNewYorkCLT Rapides Parish Tax Lien Sale The treasurer's office of rapides parish, louisiana is conducting a tax sale with the following details: The sheriff's sale is held every wednesday morning at 10:00 a.m. Please consult legal counsel to fully understand the tax sale process and to protect your interest as a tax sale buyer. Search records using a variety of different search criteria such as name. Rapides Parish Tax Lien Sale.
From loeusfmvp.blob.core.windows.net
Rapides Parish Sheriff S Office Property Tax at Steven Solomon blog Rapides Parish Tax Lien Sale Rapides parish's real estate records are available online and free to the public. Search records using a variety of different search criteria such as name or address. It is the mission of the rapides parish jury sales and use tax department to collect the proper amount of tax revenue in a manner that. The sheriff's sale is held every wednesday. Rapides Parish Tax Lien Sale.
From www.formsbank.com
Sales And Use Tax Report Parish Of Rapides printable pdf download Rapides Parish Tax Lien Sale The sheriff's sale is held every wednesday morning at 10:00 a.m. Anyone except employees of the rapides parish sheriff’s office and the tax assessor’s office can purchase at a tax sale. Please consult legal counsel to fully understand the tax sale process and to protect your interest as a tax sale buyer. In the police jury meeting room on the. Rapides Parish Tax Lien Sale.
From www.formsbank.com
Sales And Use Tax Report Parish Of Rapides printable pdf download Rapides Parish Tax Lien Sale Anyone except employees of the rapides parish sheriff’s office and the tax assessor’s office can purchase at a tax sale. Please consult legal counsel to fully understand the tax sale process and to protect your interest as a tax sale buyer. Rapides parish's real estate records are available online and free to the public. Search records using a variety of. Rapides Parish Tax Lien Sale.
From www.eastnewyorkclt.org
Abolish The Tax Lien Sale EastNewYorkCLT Rapides Parish Tax Lien Sale The treasurer's office of rapides parish, louisiana is conducting a tax sale with the following details: In the police jury meeting room on the second floor. For questions concerning the process of purchasing tax adjudicated properties, please call. Rapides parish's real estate records are available online and free to the public. It is the mission of the rapides parish jury. Rapides Parish Tax Lien Sale.
From www.realestateskills.com
How To Find Tax Lien Properties An Investor’s Guide Rapides Parish Tax Lien Sale It is the mission of the rapides parish jury sales and use tax department to collect the proper amount of tax revenue in a manner that. The sheriff's sale is held every wednesday morning at 10:00 a.m. The treasurer's office of rapides parish, louisiana is conducting a tax sale with the following details: In the police jury meeting room on. Rapides Parish Tax Lien Sale.
From brightsidetaxrelief.com
Insights Into The Lien Tax Sale Process Brightside Tax Relief Rapides Parish Tax Lien Sale The sheriff's sale is held every wednesday morning at 10:00 a.m. It is the mission of the rapides parish jury sales and use tax department to collect the proper amount of tax revenue in a manner that. Search records using a variety of different search criteria such as name or address. On wednesday, june 12, 2019, the rapides parish sheriff’s. Rapides Parish Tax Lien Sale.
From rapidesassessor.org
Home Page Rapides Parish Assessor Rapides Parish Tax Lien Sale Anyone except employees of the rapides parish sheriff’s office and the tax assessor’s office can purchase at a tax sale. On wednesday, june 12, 2019, the rapides parish sheriff’s office will host its annual tax certificate sale at the rapides parish. Please consult legal counsel to fully understand the tax sale process and to protect your interest as a tax. Rapides Parish Tax Lien Sale.
From www.pinterest.com
Unfortunately, Rapides Parish does not currently have an online Rapides Parish Tax Lien Sale Please consult legal counsel to fully understand the tax sale process and to protect your interest as a tax sale buyer. Anyone except employees of the rapides parish sheriff’s office and the tax assessor’s office can purchase at a tax sale. Rapides parish's real estate records are available online and free to the public. The sheriff's sale is held every. Rapides Parish Tax Lien Sale.