Bleach Ratio Calculator . Input the total amount of bleach and the. The calculator will guide you on the. — the bleach dilution calculator will tell you exactly how much bleach and water you need to mix to create a mixture. — this calculator is designed to simplify the process of achieving the correct bleach dilution for various needs,. — using the bleach to water ratio calculator is a simple yet essential process. — to calculate a bleach solution, determine the desired concentration (e.g., 1:10), and then mix the appropriate. if you have a specific dilution ratio in mind, input the bleach concentration and required ratio. — using the right bleach to water ratio is essential for effective disinfection while ensuring safety and preventing.
from www.survivenature.com
— using the bleach to water ratio calculator is a simple yet essential process. Input the total amount of bleach and the. The calculator will guide you on the. — this calculator is designed to simplify the process of achieving the correct bleach dilution for various needs,. — to calculate a bleach solution, determine the desired concentration (e.g., 1:10), and then mix the appropriate. — the bleach dilution calculator will tell you exactly how much bleach and water you need to mix to create a mixture. — using the right bleach to water ratio is essential for effective disinfection while ensuring safety and preventing. if you have a specific dilution ratio in mind, input the bleach concentration and required ratio.
Bleach to Water Ratio Survive Nature
Bleach Ratio Calculator The calculator will guide you on the. — to calculate a bleach solution, determine the desired concentration (e.g., 1:10), and then mix the appropriate. — the bleach dilution calculator will tell you exactly how much bleach and water you need to mix to create a mixture. Input the total amount of bleach and the. — this calculator is designed to simplify the process of achieving the correct bleach dilution for various needs,. The calculator will guide you on the. if you have a specific dilution ratio in mind, input the bleach concentration and required ratio. — using the right bleach to water ratio is essential for effective disinfection while ensuring safety and preventing. — using the bleach to water ratio calculator is a simple yet essential process.
From laurenbanks.z13.web.core.windows.net
Chemical Mixing Order Chart Bleach Ratio Calculator — using the right bleach to water ratio is essential for effective disinfection while ensuring safety and preventing. — the bleach dilution calculator will tell you exactly how much bleach and water you need to mix to create a mixture. Input the total amount of bleach and the. if you have a specific dilution ratio in mind,. Bleach Ratio Calculator.
From www.colouredhaircare.com
How To Get The Perfect Ratio Of Bleach To Developer [5 Easy Rules Bleach Ratio Calculator — this calculator is designed to simplify the process of achieving the correct bleach dilution for various needs,. The calculator will guide you on the. — using the bleach to water ratio calculator is a simple yet essential process. Input the total amount of bleach and the. — using the right bleach to water ratio is essential. Bleach Ratio Calculator.
From wowtutorial.org
Bleach To Water Ratio For Sanitizing Baby Toys Wow Blog Bleach Ratio Calculator — the bleach dilution calculator will tell you exactly how much bleach and water you need to mix to create a mixture. — using the bleach to water ratio calculator is a simple yet essential process. Input the total amount of bleach and the. — using the right bleach to water ratio is essential for effective disinfection. Bleach Ratio Calculator.
From www.pipeen.com
Bleach To Water Ratio For 32 Oz Spray Bottle Best Pictures and Bleach Ratio Calculator The calculator will guide you on the. — the bleach dilution calculator will tell you exactly how much bleach and water you need to mix to create a mixture. — to calculate a bleach solution, determine the desired concentration (e.g., 1:10), and then mix the appropriate. — using the right bleach to water ratio is essential for. Bleach Ratio Calculator.
From jamiegardiner.z21.web.core.windows.net
Bleach Dilution Ratio Chart Bleach Ratio Calculator — the bleach dilution calculator will tell you exactly how much bleach and water you need to mix to create a mixture. if you have a specific dilution ratio in mind, input the bleach concentration and required ratio. — using the right bleach to water ratio is essential for effective disinfection while ensuring safety and preventing. Input. Bleach Ratio Calculator.
From www.omnicalculator.com
Bleach Dilution Calculator Bleach Ratio Calculator if you have a specific dilution ratio in mind, input the bleach concentration and required ratio. — this calculator is designed to simplify the process of achieving the correct bleach dilution for various needs,. — using the right bleach to water ratio is essential for effective disinfection while ensuring safety and preventing. — using the bleach. Bleach Ratio Calculator.
From dxobfhovl.blob.core.windows.net
Cleaning Solution Ratio Calculator at Jennine Lovely blog Bleach Ratio Calculator — to calculate a bleach solution, determine the desired concentration (e.g., 1:10), and then mix the appropriate. Input the total amount of bleach and the. if you have a specific dilution ratio in mind, input the bleach concentration and required ratio. — the bleach dilution calculator will tell you exactly how much bleach and water you need. Bleach Ratio Calculator.
From www.rechargecolorado.org
Bleach Dilution Ratio Chart Ppm Best Picture Of Chart Bleach Ratio Calculator — the bleach dilution calculator will tell you exactly how much bleach and water you need to mix to create a mixture. — to calculate a bleach solution, determine the desired concentration (e.g., 1:10), and then mix the appropriate. Input the total amount of bleach and the. — this calculator is designed to simplify the process of. Bleach Ratio Calculator.
From lessonlibschneider.z1.web.core.windows.net
Bleach Dilution Ratio Chart Bleach Ratio Calculator — this calculator is designed to simplify the process of achieving the correct bleach dilution for various needs,. — using the right bleach to water ratio is essential for effective disinfection while ensuring safety and preventing. — using the bleach to water ratio calculator is a simple yet essential process. — to calculate a bleach solution,. Bleach Ratio Calculator.
From www.survivenature.com
Bleach to Water Ratio Survive Nature Bleach Ratio Calculator Input the total amount of bleach and the. if you have a specific dilution ratio in mind, input the bleach concentration and required ratio. — the bleach dilution calculator will tell you exactly how much bleach and water you need to mix to create a mixture. The calculator will guide you on the. — using the right. Bleach Ratio Calculator.
From wowtutorial.org
Bleach To Water Ratio For Sanitizing Baby Toys Wow Blog Bleach Ratio Calculator — using the right bleach to water ratio is essential for effective disinfection while ensuring safety and preventing. — using the bleach to water ratio calculator is a simple yet essential process. Input the total amount of bleach and the. The calculator will guide you on the. if you have a specific dilution ratio in mind, input. Bleach Ratio Calculator.
From cleanclothnappies.com
Revamped bleach calculator three updated versions Clean Cloth Nappies Bleach Ratio Calculator — to calculate a bleach solution, determine the desired concentration (e.g., 1:10), and then mix the appropriate. The calculator will guide you on the. — using the right bleach to water ratio is essential for effective disinfection while ensuring safety and preventing. Input the total amount of bleach and the. if you have a specific dilution ratio. Bleach Ratio Calculator.
From www.healthinspectorfaq.com
Bleach Dilution Table Health Inspector FAQ Bleach Ratio Calculator if you have a specific dilution ratio in mind, input the bleach concentration and required ratio. — the bleach dilution calculator will tell you exactly how much bleach and water you need to mix to create a mixture. The calculator will guide you on the. — to calculate a bleach solution, determine the desired concentration (e.g., 1:10),. Bleach Ratio Calculator.
From 134.209.152.22
Free Online Bleach Dilution Calculator How to Mix Bleach Solution for Bleach Ratio Calculator — to calculate a bleach solution, determine the desired concentration (e.g., 1:10), and then mix the appropriate. Input the total amount of bleach and the. — using the right bleach to water ratio is essential for effective disinfection while ensuring safety and preventing. if you have a specific dilution ratio in mind, input the bleach concentration and. Bleach Ratio Calculator.
From samanthalong.z19.web.core.windows.net
Bleach Dilution Ratio Chart Bleach Ratio Calculator — the bleach dilution calculator will tell you exactly how much bleach and water you need to mix to create a mixture. — this calculator is designed to simplify the process of achieving the correct bleach dilution for various needs,. — to calculate a bleach solution, determine the desired concentration (e.g., 1:10), and then mix the appropriate.. Bleach Ratio Calculator.
From bathroomposter.blogspot.com
Bleach To Water Ratio For Cleaning Bathroom Bathroom Poster Bleach Ratio Calculator — using the right bleach to water ratio is essential for effective disinfection while ensuring safety and preventing. — using the bleach to water ratio calculator is a simple yet essential process. — to calculate a bleach solution, determine the desired concentration (e.g., 1:10), and then mix the appropriate. — the bleach dilution calculator will tell. Bleach Ratio Calculator.
From www.youtube.com
Testing Different Ratios of Bleach for Bleach Painting YouTube Bleach Ratio Calculator — the bleach dilution calculator will tell you exactly how much bleach and water you need to mix to create a mixture. — to calculate a bleach solution, determine the desired concentration (e.g., 1:10), and then mix the appropriate. if you have a specific dilution ratio in mind, input the bleach concentration and required ratio. Input the. Bleach Ratio Calculator.
From bceweb.org
Bleach Dilution Ratio Chart A Visual Reference of Charts Chart Master Bleach Ratio Calculator — using the bleach to water ratio calculator is a simple yet essential process. — to calculate a bleach solution, determine the desired concentration (e.g., 1:10), and then mix the appropriate. — this calculator is designed to simplify the process of achieving the correct bleach dilution for various needs,. if you have a specific dilution ratio. Bleach Ratio Calculator.
From www.numerade.com
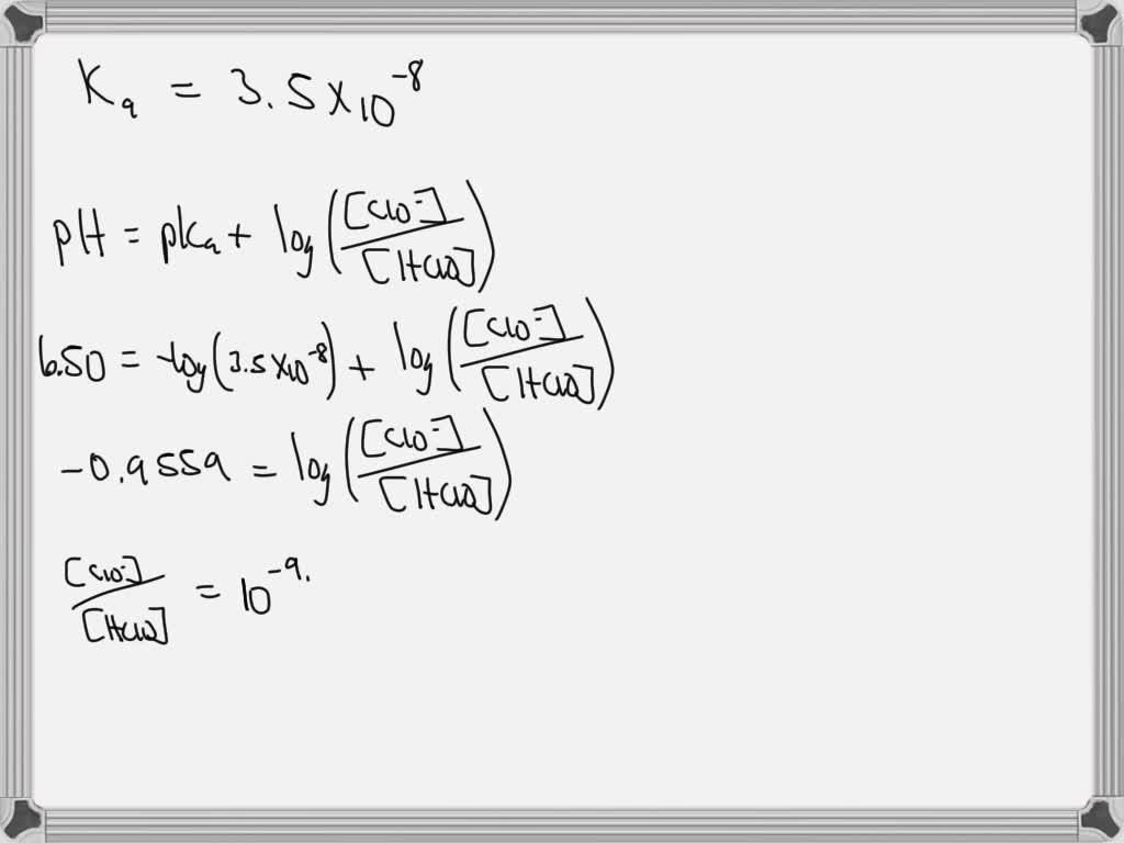
SOLVED 'Sodium hypochlorite NaOCI; is the active ingredient in many Bleach Ratio Calculator Input the total amount of bleach and the. — the bleach dilution calculator will tell you exactly how much bleach and water you need to mix to create a mixture. — using the bleach to water ratio calculator is a simple yet essential process. — to calculate a bleach solution, determine the desired concentration (e.g., 1:10), and. Bleach Ratio Calculator.
From skinsuperclear.com
Free Calculator for Eczema Bleach Bath How to make a dilution? Bleach Ratio Calculator — to calculate a bleach solution, determine the desired concentration (e.g., 1:10), and then mix the appropriate. Input the total amount of bleach and the. — the bleach dilution calculator will tell you exactly how much bleach and water you need to mix to create a mixture. The calculator will guide you on the. if you have. Bleach Ratio Calculator.
From www.pinterest.com
301 Bleach Ratio for Disinfecting 2 Cups Water to 1 tbsp bleach 1 Bleach Ratio Calculator — to calculate a bleach solution, determine the desired concentration (e.g., 1:10), and then mix the appropriate. The calculator will guide you on the. Input the total amount of bleach and the. — using the right bleach to water ratio is essential for effective disinfection while ensuring safety and preventing. — using the bleach to water ratio. Bleach Ratio Calculator.
From www.colouredhaircare.com
How To Get The Perfect Ratio Of Bleach To Developer [5 Easy Rules Bleach Ratio Calculator — using the right bleach to water ratio is essential for effective disinfection while ensuring safety and preventing. The calculator will guide you on the. — this calculator is designed to simplify the process of achieving the correct bleach dilution for various needs,. — using the bleach to water ratio calculator is a simple yet essential process.. Bleach Ratio Calculator.
From washbasics.com
Downstream Batch Mix Calculator Wash Basics Bleach Ratio Calculator The calculator will guide you on the. Input the total amount of bleach and the. — using the right bleach to water ratio is essential for effective disinfection while ensuring safety and preventing. — to calculate a bleach solution, determine the desired concentration (e.g., 1:10), and then mix the appropriate. — using the bleach to water ratio. Bleach Ratio Calculator.
From pressurewashingresource.com
Chem dilution chart 4 by JayDavis Chemical/Chemistry Pressure Bleach Ratio Calculator The calculator will guide you on the. — using the right bleach to water ratio is essential for effective disinfection while ensuring safety and preventing. — to calculate a bleach solution, determine the desired concentration (e.g., 1:10), and then mix the appropriate. — this calculator is designed to simplify the process of achieving the correct bleach dilution. Bleach Ratio Calculator.
From www.sparklingandbeyond.com
Bleach to water ratio for spray bottle Sparkling and Beyond Bleach Ratio Calculator — using the right bleach to water ratio is essential for effective disinfection while ensuring safety and preventing. — using the bleach to water ratio calculator is a simple yet essential process. — the bleach dilution calculator will tell you exactly how much bleach and water you need to mix to create a mixture. The calculator will. Bleach Ratio Calculator.
From studylib.net
Chemical dilution chart. Bleach Ratio Calculator — using the bleach to water ratio calculator is a simple yet essential process. The calculator will guide you on the. Input the total amount of bleach and the. — to calculate a bleach solution, determine the desired concentration (e.g., 1:10), and then mix the appropriate. — this calculator is designed to simplify the process of achieving. Bleach Ratio Calculator.
From www.sparklingandbeyond.com
Bleach to water ratio for spray bottle Sparkling and Beyond Bleach Ratio Calculator — using the bleach to water ratio calculator is a simple yet essential process. The calculator will guide you on the. — to calculate a bleach solution, determine the desired concentration (e.g., 1:10), and then mix the appropriate. — the bleach dilution calculator will tell you exactly how much bleach and water you need to mix to. Bleach Ratio Calculator.
From www.chegg.com
Solved 1. Calculate the concentration of the bleach using Bleach Ratio Calculator — to calculate a bleach solution, determine the desired concentration (e.g., 1:10), and then mix the appropriate. Input the total amount of bleach and the. if you have a specific dilution ratio in mind, input the bleach concentration and required ratio. The calculator will guide you on the. — using the bleach to water ratio calculator is. Bleach Ratio Calculator.
From www.colouredhaircare.com
How To Get The Perfect Ratio Of Bleach To Developer [+ Calculator]. Bleach Ratio Calculator — this calculator is designed to simplify the process of achieving the correct bleach dilution for various needs,. — to calculate a bleach solution, determine the desired concentration (e.g., 1:10), and then mix the appropriate. Input the total amount of bleach and the. The calculator will guide you on the. if you have a specific dilution ratio. Bleach Ratio Calculator.
From www.colouredhaircare.com
Hair Color Mixing Chart. The Easy Guide To Mixing Colors (& Calculator) Bleach Ratio Calculator — to calculate a bleach solution, determine the desired concentration (e.g., 1:10), and then mix the appropriate. — the bleach dilution calculator will tell you exactly how much bleach and water you need to mix to create a mixture. — using the bleach to water ratio calculator is a simple yet essential process. if you have. Bleach Ratio Calculator.
From www.colouredhaircare.com
How To Get The Perfect Ratio Of Bleach To Developer [5 Easy Rules Bleach Ratio Calculator — using the bleach to water ratio calculator is a simple yet essential process. The calculator will guide you on the. — the bleach dilution calculator will tell you exactly how much bleach and water you need to mix to create a mixture. Input the total amount of bleach and the. — this calculator is designed to. Bleach Ratio Calculator.
From dxojablba.blob.core.windows.net
Bleach Mixing Ratio Cleaning at Clifford Denis blog Bleach Ratio Calculator — using the right bleach to water ratio is essential for effective disinfection while ensuring safety and preventing. if you have a specific dilution ratio in mind, input the bleach concentration and required ratio. The calculator will guide you on the. — to calculate a bleach solution, determine the desired concentration (e.g., 1:10), and then mix the. Bleach Ratio Calculator.
From adamtodd.z13.web.core.windows.net
P&s Dilution Chart Bleach Ratio Calculator — using the right bleach to water ratio is essential for effective disinfection while ensuring safety and preventing. — the bleach dilution calculator will tell you exactly how much bleach and water you need to mix to create a mixture. — to calculate a bleach solution, determine the desired concentration (e.g., 1:10), and then mix the appropriate.. Bleach Ratio Calculator.
From www.pinterest.com
Bleach Water Ratio For Disinfecting Bleach water, Bleach, Water Bleach Ratio Calculator — to calculate a bleach solution, determine the desired concentration (e.g., 1:10), and then mix the appropriate. — this calculator is designed to simplify the process of achieving the correct bleach dilution for various needs,. — using the right bleach to water ratio is essential for effective disinfection while ensuring safety and preventing. Input the total amount. Bleach Ratio Calculator.
From haireveryday.com
What Ratio Of Bleach To Developer Do I Use Mixing Bleach Safely At Bleach Ratio Calculator — this calculator is designed to simplify the process of achieving the correct bleach dilution for various needs,. — to calculate a bleach solution, determine the desired concentration (e.g., 1:10), and then mix the appropriate. if you have a specific dilution ratio in mind, input the bleach concentration and required ratio. — using the right bleach. Bleach Ratio Calculator.