Bromide Ion Equation . If we look at the ionic compound consisting of lithium ions and bromide ions, we see that the lithium ion has a 1+ charge and the bromide ion has a 1− charge. For example, the neutral bromine atom, with 35 protons and 35 electrons, can gain one electron to provide it with 36 electrons. The balanced equation will be calculated along with the. Write net ionic equations for chemical reactions between ionic compounds. Only one ion of each is needed. Write ionic equations for chemical reactions between ionic compounds. Enter an equation of an ionic chemical equation and press the balance button. The halide ions will react with the silver nitrate solution as follows: There is one cobalt ion.
from brainly.in
Enter an equation of an ionic chemical equation and press the balance button. Write net ionic equations for chemical reactions between ionic compounds. There is one cobalt ion. The balanced equation will be calculated along with the. Write ionic equations for chemical reactions between ionic compounds. The halide ions will react with the silver nitrate solution as follows: If we look at the ionic compound consisting of lithium ions and bromide ions, we see that the lithium ion has a 1+ charge and the bromide ion has a 1− charge. Only one ion of each is needed. For example, the neutral bromine atom, with 35 protons and 35 electrons, can gain one electron to provide it with 36 electrons.
Reaction between sodium iodide and bromine water Brainly.in
Bromide Ion Equation Only one ion of each is needed. For example, the neutral bromine atom, with 35 protons and 35 electrons, can gain one electron to provide it with 36 electrons. The balanced equation will be calculated along with the. Write net ionic equations for chemical reactions between ionic compounds. Write ionic equations for chemical reactions between ionic compounds. Only one ion of each is needed. If we look at the ionic compound consisting of lithium ions and bromide ions, we see that the lithium ion has a 1+ charge and the bromide ion has a 1− charge. There is one cobalt ion. The halide ions will react with the silver nitrate solution as follows: Enter an equation of an ionic chemical equation and press the balance button.
From www.numerade.com
SOLVEDGaseous chlorine will displace bromide ion from an aqueous Bromide Ion Equation There is one cobalt ion. The halide ions will react with the silver nitrate solution as follows: If we look at the ionic compound consisting of lithium ions and bromide ions, we see that the lithium ion has a 1+ charge and the bromide ion has a 1− charge. Only one ion of each is needed. Enter an equation of. Bromide Ion Equation.
From www.numerade.com
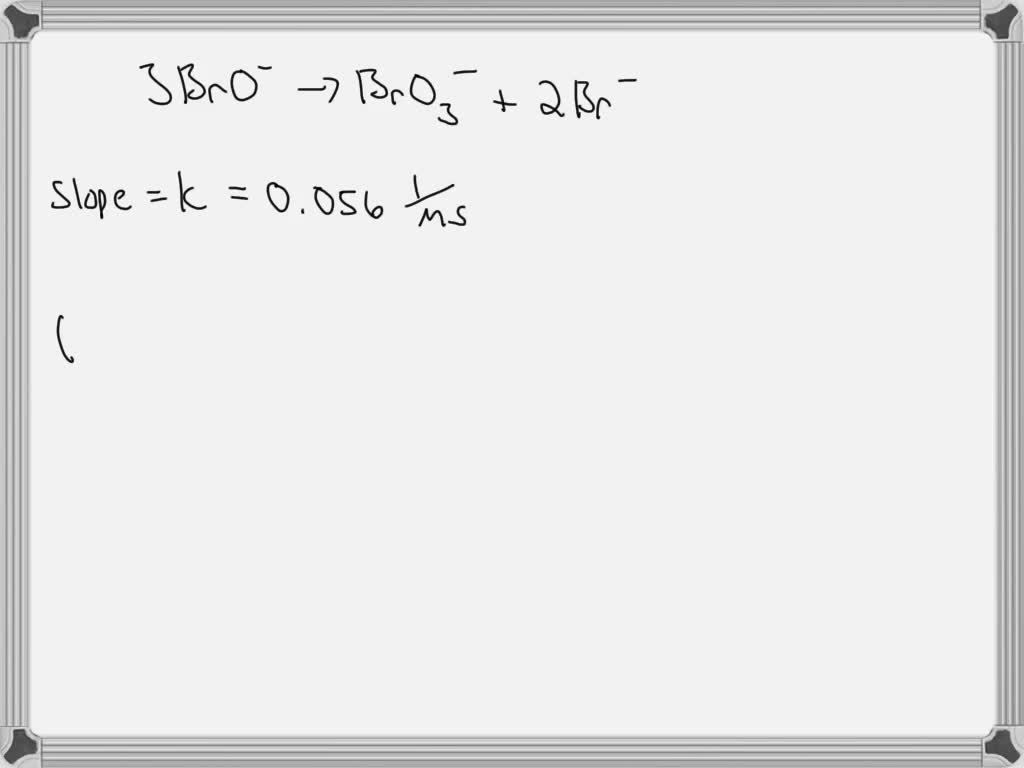
SOLVED In aqueous solution, hypobromite ion, BrO, reacts to produce Bromide Ion Equation If we look at the ionic compound consisting of lithium ions and bromide ions, we see that the lithium ion has a 1+ charge and the bromide ion has a 1− charge. The balanced equation will be calculated along with the. Enter an equation of an ionic chemical equation and press the balance button. Write ionic equations for chemical reactions. Bromide Ion Equation.
From www.pw.live
Ammonium Bromide Formula ,Properties ,Structure And Ionic Formula Bromide Ion Equation There is one cobalt ion. For example, the neutral bromine atom, with 35 protons and 35 electrons, can gain one electron to provide it with 36 electrons. Write ionic equations for chemical reactions between ionic compounds. Only one ion of each is needed. The balanced equation will be calculated along with the. Enter an equation of an ionic chemical equation. Bromide Ion Equation.
From www.sarthaks.com
Permanganate ion (MnO4^ ) reacts with bromide ion (Br^ ) in basic Bromide Ion Equation The halide ions will react with the silver nitrate solution as follows: For example, the neutral bromine atom, with 35 protons and 35 electrons, can gain one electron to provide it with 36 electrons. The balanced equation will be calculated along with the. If we look at the ionic compound consisting of lithium ions and bromide ions, we see that. Bromide Ion Equation.
From socratic.org
How do you write the equation for this reaction Aluminum bromide and Bromide Ion Equation The halide ions will react with the silver nitrate solution as follows: Only one ion of each is needed. Write ionic equations for chemical reactions between ionic compounds. There is one cobalt ion. The balanced equation will be calculated along with the. If we look at the ionic compound consisting of lithium ions and bromide ions, we see that the. Bromide Ion Equation.
From www.numerade.com
SOLVED The balanced equation for the reaction of bromate ion with Bromide Ion Equation Only one ion of each is needed. There is one cobalt ion. Write ionic equations for chemical reactions between ionic compounds. The balanced equation will be calculated along with the. If we look at the ionic compound consisting of lithium ions and bromide ions, we see that the lithium ion has a 1+ charge and the bromide ion has a. Bromide Ion Equation.
From www.youtube.com
Quick video Balancing an oxidation reduction reaction in base [bromine Bromide Ion Equation Enter an equation of an ionic chemical equation and press the balance button. If we look at the ionic compound consisting of lithium ions and bromide ions, we see that the lithium ion has a 1+ charge and the bromide ion has a 1− charge. For example, the neutral bromine atom, with 35 protons and 35 electrons, can gain one. Bromide Ion Equation.
From www.youtube.com
Precipitation Reactions & Net Ionic Equations Chemistry YouTube Bromide Ion Equation There is one cobalt ion. If we look at the ionic compound consisting of lithium ions and bromide ions, we see that the lithium ion has a 1+ charge and the bromide ion has a 1− charge. For example, the neutral bromine atom, with 35 protons and 35 electrons, can gain one electron to provide it with 36 electrons. Enter. Bromide Ion Equation.
From www.toppr.com
Permanganate ion react with bromide ion in basic medium to give Bromide Ion Equation Write net ionic equations for chemical reactions between ionic compounds. The balanced equation will be calculated along with the. For example, the neutral bromine atom, with 35 protons and 35 electrons, can gain one electron to provide it with 36 electrons. Write ionic equations for chemical reactions between ionic compounds. There is one cobalt ion. If we look at the. Bromide Ion Equation.
From www.youtube.com
How to Write the Net Ionic Equation for NaI + Br2 = NaBr + I2 YouTube Bromide Ion Equation Write ionic equations for chemical reactions between ionic compounds. Enter an equation of an ionic chemical equation and press the balance button. For example, the neutral bromine atom, with 35 protons and 35 electrons, can gain one electron to provide it with 36 electrons. The balanced equation will be calculated along with the. Write net ionic equations for chemical reactions. Bromide Ion Equation.
From www.numerade.com
SOLVED Metals bond with halogens to form colorless metal halides Bromide Ion Equation Write net ionic equations for chemical reactions between ionic compounds. Only one ion of each is needed. There is one cobalt ion. The halide ions will react with the silver nitrate solution as follows: If we look at the ionic compound consisting of lithium ions and bromide ions, we see that the lithium ion has a 1+ charge and the. Bromide Ion Equation.
From brainly.in
Explain the equation Permanganate ion reacts with bromide ion in basic Bromide Ion Equation The balanced equation will be calculated along with the. Enter an equation of an ionic chemical equation and press the balance button. If we look at the ionic compound consisting of lithium ions and bromide ions, we see that the lithium ion has a 1+ charge and the bromide ion has a 1− charge. For example, the neutral bromine atom,. Bromide Ion Equation.
From www.youtube.com
How to Write the Formula for Cobalt (III) bromide YouTube Bromide Ion Equation Write net ionic equations for chemical reactions between ionic compounds. There is one cobalt ion. If we look at the ionic compound consisting of lithium ions and bromide ions, we see that the lithium ion has a 1+ charge and the bromide ion has a 1− charge. Enter an equation of an ionic chemical equation and press the balance button.. Bromide Ion Equation.
From www.nagwa.com
Question Video Writing a Net Ionic Equation for the Reaction between Bromide Ion Equation There is one cobalt ion. Only one ion of each is needed. Write ionic equations for chemical reactions between ionic compounds. Enter an equation of an ionic chemical equation and press the balance button. If we look at the ionic compound consisting of lithium ions and bromide ions, we see that the lithium ion has a 1+ charge and the. Bromide Ion Equation.
From byjus.com
Briefly explain the process of electrolysis of molten Lead Bromide Bromide Ion Equation Only one ion of each is needed. The halide ions will react with the silver nitrate solution as follows: Write ionic equations for chemical reactions between ionic compounds. Write net ionic equations for chemical reactions between ionic compounds. The balanced equation will be calculated along with the. For example, the neutral bromine atom, with 35 protons and 35 electrons, can. Bromide Ion Equation.
From www.pw.live
Zinc Bromide Formula, Structure And Properties Bromide Ion Equation The halide ions will react with the silver nitrate solution as follows: There is one cobalt ion. Write ionic equations for chemical reactions between ionic compounds. If we look at the ionic compound consisting of lithium ions and bromide ions, we see that the lithium ion has a 1+ charge and the bromide ion has a 1− charge. Enter an. Bromide Ion Equation.
From www.numerade.com
SOLVED Based on your observations, predict the reaction of bromide Bromide Ion Equation The halide ions will react with the silver nitrate solution as follows: Write ionic equations for chemical reactions between ionic compounds. Enter an equation of an ionic chemical equation and press the balance button. Only one ion of each is needed. For example, the neutral bromine atom, with 35 protons and 35 electrons, can gain one electron to provide it. Bromide Ion Equation.
From www.toppr.com
Its Permanganate ion reacts with bromide ion unts in basic medium to Bromide Ion Equation Write ionic equations for chemical reactions between ionic compounds. If we look at the ionic compound consisting of lithium ions and bromide ions, we see that the lithium ion has a 1+ charge and the bromide ion has a 1− charge. For example, the neutral bromine atom, with 35 protons and 35 electrons, can gain one electron to provide it. Bromide Ion Equation.
From www.youtube.com
How to Write the Net Ionic Equation for KI + Br2 = KBr + I2 YouTube Bromide Ion Equation For example, the neutral bromine atom, with 35 protons and 35 electrons, can gain one electron to provide it with 36 electrons. If we look at the ionic compound consisting of lithium ions and bromide ions, we see that the lithium ion has a 1+ charge and the bromide ion has a 1− charge. Only one ion of each is. Bromide Ion Equation.
From chemistry291.blogspot.com
What Is the Magnesium Bromide Formula? Bromide Ion Equation There is one cobalt ion. Only one ion of each is needed. For example, the neutral bromine atom, with 35 protons and 35 electrons, can gain one electron to provide it with 36 electrons. Write net ionic equations for chemical reactions between ionic compounds. Write ionic equations for chemical reactions between ionic compounds. The balanced equation will be calculated along. Bromide Ion Equation.
From www.onlinemathlearning.com
Writing Ionic Equation (video lessons, examples and solutions) Bromide Ion Equation Enter an equation of an ionic chemical equation and press the balance button. For example, the neutral bromine atom, with 35 protons and 35 electrons, can gain one electron to provide it with 36 electrons. Write ionic equations for chemical reactions between ionic compounds. If we look at the ionic compound consisting of lithium ions and bromide ions, we see. Bromide Ion Equation.
From slideplayer.com
1 Negative Ions Bromine Negative ions are attracted to the positive Bromide Ion Equation Write ionic equations for chemical reactions between ionic compounds. The balanced equation will be calculated along with the. If we look at the ionic compound consisting of lithium ions and bromide ions, we see that the lithium ion has a 1+ charge and the bromide ion has a 1− charge. For example, the neutral bromine atom, with 35 protons and. Bromide Ion Equation.
From ask.modifiyegaraj.com
What Best Describes The Bromide Ion That Forms Asking List Bromide Ion Equation For example, the neutral bromine atom, with 35 protons and 35 electrons, can gain one electron to provide it with 36 electrons. Write net ionic equations for chemical reactions between ionic compounds. The balanced equation will be calculated along with the. The halide ions will react with the silver nitrate solution as follows: Only one ion of each is needed.. Bromide Ion Equation.
From www.pw.live
Bromine Formula, Valency, Mass And Properties Bromide Ion Equation Only one ion of each is needed. The balanced equation will be calculated along with the. For example, the neutral bromine atom, with 35 protons and 35 electrons, can gain one electron to provide it with 36 electrons. The halide ions will react with the silver nitrate solution as follows: Enter an equation of an ionic chemical equation and press. Bromide Ion Equation.
From www.youtube.com
Br Electron Configuration (Bromide Ion) YouTube Bromide Ion Equation The balanced equation will be calculated along with the. For example, the neutral bromine atom, with 35 protons and 35 electrons, can gain one electron to provide it with 36 electrons. The halide ions will react with the silver nitrate solution as follows: Write ionic equations for chemical reactions between ionic compounds. If we look at the ionic compound consisting. Bromide Ion Equation.
From www.youtube.com
How to Write the Net Ionic Equation for Na2SO4 + BaBr2 = BaSO4 + NaBr Bromide Ion Equation The halide ions will react with the silver nitrate solution as follows: Write net ionic equations for chemical reactions between ionic compounds. Write ionic equations for chemical reactions between ionic compounds. Only one ion of each is needed. Enter an equation of an ionic chemical equation and press the balance button. If we look at the ionic compound consisting of. Bromide Ion Equation.
From pubs.acs.org
and Mechanism of Bromate−Bromide Reaction Catalyzed by Acetate Bromide Ion Equation For example, the neutral bromine atom, with 35 protons and 35 electrons, can gain one electron to provide it with 36 electrons. Write ionic equations for chemical reactions between ionic compounds. If we look at the ionic compound consisting of lithium ions and bromide ions, we see that the lithium ion has a 1+ charge and the bromide ion has. Bromide Ion Equation.
From www.nagwa.com
Question Video Determining the Chemical Equation for a Photochemical Bromide Ion Equation Write net ionic equations for chemical reactions between ionic compounds. For example, the neutral bromine atom, with 35 protons and 35 electrons, can gain one electron to provide it with 36 electrons. If we look at the ionic compound consisting of lithium ions and bromide ions, we see that the lithium ion has a 1+ charge and the bromide ion. Bromide Ion Equation.
From www.numerade.com
What is the difference between (a) a bromine atom, (b) a bromine Bromide Ion Equation Write ionic equations for chemical reactions between ionic compounds. If we look at the ionic compound consisting of lithium ions and bromide ions, we see that the lithium ion has a 1+ charge and the bromide ion has a 1− charge. Enter an equation of an ionic chemical equation and press the balance button. For example, the neutral bromine atom,. Bromide Ion Equation.
From www.youtube.com
How to Draw the Lewis Dot Structure for Br (Bromide ion) YouTube Bromide Ion Equation Only one ion of each is needed. The halide ions will react with the silver nitrate solution as follows: If we look at the ionic compound consisting of lithium ions and bromide ions, we see that the lithium ion has a 1+ charge and the bromide ion has a 1− charge. For example, the neutral bromine atom, with 35 protons. Bromide Ion Equation.
From www.youtube.com
Ionic Charge for Bromine (Br) YouTube Bromide Ion Equation The halide ions will react with the silver nitrate solution as follows: The balanced equation will be calculated along with the. Write net ionic equations for chemical reactions between ionic compounds. For example, the neutral bromine atom, with 35 protons and 35 electrons, can gain one electron to provide it with 36 electrons. If we look at the ionic compound. Bromide Ion Equation.
From www.youtube.com
How to Write the Formula for Mercury (I) bromide YouTube Bromide Ion Equation For example, the neutral bromine atom, with 35 protons and 35 electrons, can gain one electron to provide it with 36 electrons. The halide ions will react with the silver nitrate solution as follows: Write net ionic equations for chemical reactions between ionic compounds. Enter an equation of an ionic chemical equation and press the balance button. Write ionic equations. Bromide Ion Equation.
From www.numerade.com
SOLVED Write equations for the halfreactions that occur in the Bromide Ion Equation Write ionic equations for chemical reactions between ionic compounds. Write net ionic equations for chemical reactions between ionic compounds. Only one ion of each is needed. There is one cobalt ion. If we look at the ionic compound consisting of lithium ions and bromide ions, we see that the lithium ion has a 1+ charge and the bromide ion has. Bromide Ion Equation.
From brainly.in
Reaction between sodium iodide and bromine water Brainly.in Bromide Ion Equation Write ionic equations for chemical reactions between ionic compounds. The balanced equation will be calculated along with the. There is one cobalt ion. If we look at the ionic compound consisting of lithium ions and bromide ions, we see that the lithium ion has a 1+ charge and the bromide ion has a 1− charge. For example, the neutral bromine. Bromide Ion Equation.
From www.dreamstime.com
Potassium Bromide Chemical Formula on Waterdrop Background Stock Bromide Ion Equation For example, the neutral bromine atom, with 35 protons and 35 electrons, can gain one electron to provide it with 36 electrons. Write ionic equations for chemical reactions between ionic compounds. There is one cobalt ion. Only one ion of each is needed. If we look at the ionic compound consisting of lithium ions and bromide ions, we see that. Bromide Ion Equation.