What Is A 5 Diopter Lens . We’ve said magnification measures the change of an object’s size whenever it’s being viewed through an optical device, while the diopter measures the. They are made expressly to gauge the way a lens bends. 5 diopters could yield an approximate magnification of 1.25× or 125%. Magnification = diopter ÷ 4 + 1. Learn more about what a diopter measures and how diopters vary by prescription. Keep in mind these are rough estimates, and visual experiences can differ. It is, however, far from being blind and can be corrected by. The basic unit of measurement in optometry, diopters, is used to express the optical power of prescription lenses. These diopter numbers can also be positive or negative. The numbers on your prescription indicate the strength of the lenses required to bring your vision back into focus. A diopter is a unit of measurement for a lens’s focusing power.
from digital-photography-school.com
We’ve said magnification measures the change of an object’s size whenever it’s being viewed through an optical device, while the diopter measures the. Magnification = diopter ÷ 4 + 1. It is, however, far from being blind and can be corrected by. 5 diopters could yield an approximate magnification of 1.25× or 125%. The numbers on your prescription indicate the strength of the lenses required to bring your vision back into focus. A diopter is a unit of measurement for a lens’s focusing power. Learn more about what a diopter measures and how diopters vary by prescription. They are made expressly to gauge the way a lens bends. These diopter numbers can also be positive or negative. The basic unit of measurement in optometry, diopters, is used to express the optical power of prescription lenses.
The Camera Diopter What Is It, and How Can You Use It?
What Is A 5 Diopter Lens A diopter is a unit of measurement for a lens’s focusing power. The numbers on your prescription indicate the strength of the lenses required to bring your vision back into focus. Keep in mind these are rough estimates, and visual experiences can differ. A diopter is a unit of measurement for a lens’s focusing power. It is, however, far from being blind and can be corrected by. Magnification = diopter ÷ 4 + 1. They are made expressly to gauge the way a lens bends. We’ve said magnification measures the change of an object’s size whenever it’s being viewed through an optical device, while the diopter measures the. These diopter numbers can also be positive or negative. The basic unit of measurement in optometry, diopters, is used to express the optical power of prescription lenses. 5 diopters could yield an approximate magnification of 1.25× or 125%. Learn more about what a diopter measures and how diopters vary by prescription.
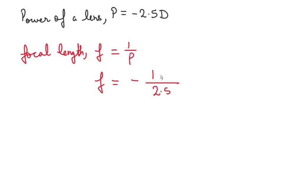
From www.numerade.com
SOLVED A lerson's left eye is corrected by a 2.5 diopter lens, 1.8cm What Is A 5 Diopter Lens Learn more about what a diopter measures and how diopters vary by prescription. These diopter numbers can also be positive or negative. 5 diopters could yield an approximate magnification of 1.25× or 125%. It is, however, far from being blind and can be corrected by. Magnification = diopter ÷ 4 + 1. Keep in mind these are rough estimates, and. What Is A 5 Diopter Lens.
From core-electronics.com.au
Daylight 5 Diopter Lens Australia What Is A 5 Diopter Lens The basic unit of measurement in optometry, diopters, is used to express the optical power of prescription lenses. It is, however, far from being blind and can be corrected by. We’ve said magnification measures the change of an object’s size whenever it’s being viewed through an optical device, while the diopter measures the. A diopter is a unit of measurement. What Is A 5 Diopter Lens.
From core-electronics.com.au
Daylight 5 Diopter Lens Australia What Is A 5 Diopter Lens It is, however, far from being blind and can be corrected by. Magnification = diopter ÷ 4 + 1. The basic unit of measurement in optometry, diopters, is used to express the optical power of prescription lenses. Keep in mind these are rough estimates, and visual experiences can differ. We’ve said magnification measures the change of an object’s size whenever. What Is A 5 Diopter Lens.
From www.backscatter.com
SAGA +5 Diopter Achromatic CloseUp Macro Lens What Is A 5 Diopter Lens It is, however, far from being blind and can be corrected by. Learn more about what a diopter measures and how diopters vary by prescription. The basic unit of measurement in optometry, diopters, is used to express the optical power of prescription lenses. The numbers on your prescription indicate the strength of the lenses required to bring your vision back. What Is A 5 Diopter Lens.
From www.waveroomplus.com
Dazor J4005HHM Fluorescent Magnifier 5 Diopter Lens 1.25x What Is A 5 Diopter Lens We’ve said magnification measures the change of an object’s size whenever it’s being viewed through an optical device, while the diopter measures the. The numbers on your prescription indicate the strength of the lenses required to bring your vision back into focus. A diopter is a unit of measurement for a lens’s focusing power. The basic unit of measurement in. What Is A 5 Diopter Lens.
From neiloseman.com
What is a Diopter in Cinematography? Neil Oseman What Is A 5 Diopter Lens A diopter is a unit of measurement for a lens’s focusing power. Learn more about what a diopter measures and how diopters vary by prescription. We’ve said magnification measures the change of an object’s size whenever it’s being viewed through an optical device, while the diopter measures the. Keep in mind these are rough estimates, and visual experiences can differ.. What Is A 5 Diopter Lens.
From www.toppr.com
The power of a lens is +5 diopters. What is the nature an this lens What Is A 5 Diopter Lens They are made expressly to gauge the way a lens bends. A diopter is a unit of measurement for a lens’s focusing power. 5 diopters could yield an approximate magnification of 1.25× or 125%. It is, however, far from being blind and can be corrected by. Keep in mind these are rough estimates, and visual experiences can differ. We’ve said. What Is A 5 Diopter Lens.
From www.warbyparker.com
What Is a Diopter? Warby Parker What Is A 5 Diopter Lens The basic unit of measurement in optometry, diopters, is used to express the optical power of prescription lenses. We’ve said magnification measures the change of an object’s size whenever it’s being viewed through an optical device, while the diopter measures the. These diopter numbers can also be positive or negative. 5 diopters could yield an approximate magnification of 1.25× or. What Is A 5 Diopter Lens.
From byjus.com
Find the maximum magnifying power of a compound microscope having a 25 What Is A 5 Diopter Lens Keep in mind these are rough estimates, and visual experiences can differ. The basic unit of measurement in optometry, diopters, is used to express the optical power of prescription lenses. These diopter numbers can also be positive or negative. The numbers on your prescription indicate the strength of the lenses required to bring your vision back into focus. Magnification =. What Is A 5 Diopter Lens.
From www.youtube.com
The power of a lens is +5 diopters. What is the nature and focal length What Is A 5 Diopter Lens A diopter is a unit of measurement for a lens’s focusing power. The numbers on your prescription indicate the strength of the lenses required to bring your vision back into focus. 5 diopters could yield an approximate magnification of 1.25× or 125%. Keep in mind these are rough estimates, and visual experiences can differ. The basic unit of measurement in. What Is A 5 Diopter Lens.
From www.divephotoguide.com
Super Macro Underwater Photography The Definitive Guide, Part 2B What Is A 5 Diopter Lens It is, however, far from being blind and can be corrected by. These diopter numbers can also be positive or negative. Keep in mind these are rough estimates, and visual experiences can differ. They are made expressly to gauge the way a lens bends. Learn more about what a diopter measures and how diopters vary by prescription. Magnification = diopter. What Is A 5 Diopter Lens.
From www.bhphotovideo.com
Aquatica +5 Wet Diopter Close Up Lens 19352 B&H Photo Video What Is A 5 Diopter Lens 5 diopters could yield an approximate magnification of 1.25× or 125%. They are made expressly to gauge the way a lens bends. The numbers on your prescription indicate the strength of the lenses required to bring your vision back into focus. A diopter is a unit of measurement for a lens’s focusing power. Magnification = diopter ÷ 4 + 1.. What Is A 5 Diopter Lens.
From www.transtutors.com
(Get Answer) 1 . The5 diopter lens is used for a man using glasses 2 What Is A 5 Diopter Lens Keep in mind these are rough estimates, and visual experiences can differ. They are made expressly to gauge the way a lens bends. The numbers on your prescription indicate the strength of the lenses required to bring your vision back into focus. We’ve said magnification measures the change of an object’s size whenever it’s being viewed through an optical device,. What Is A 5 Diopter Lens.
From www.mouqy.com
What is a Diopter? What Is A 5 Diopter Lens Magnification = diopter ÷ 4 + 1. It is, however, far from being blind and can be corrected by. They are made expressly to gauge the way a lens bends. We’ve said magnification measures the change of an object’s size whenever it’s being viewed through an optical device, while the diopter measures the. These diopter numbers can also be positive. What Is A 5 Diopter Lens.
From informacionpublica.svet.gob.gt
What Is A Diopter? Lindsey Optics What Is A 5 Diopter Lens Keep in mind these are rough estimates, and visual experiences can differ. These diopter numbers can also be positive or negative. They are made expressly to gauge the way a lens bends. We’ve said magnification measures the change of an object’s size whenever it’s being viewed through an optical device, while the diopter measures the. A diopter is a unit. What Is A 5 Diopter Lens.
From www.numerade.com
SOLVED the power of a lense is 5 diopters what is the nature and What Is A 5 Diopter Lens 5 diopters could yield an approximate magnification of 1.25× or 125%. They are made expressly to gauge the way a lens bends. It is, however, far from being blind and can be corrected by. A diopter is a unit of measurement for a lens’s focusing power. The numbers on your prescription indicate the strength of the lenses required to bring. What Is A 5 Diopter Lens.
From www.teachoo.com
Power of a lens Definition, Unit (Diopter), Formula Teachoo What Is A 5 Diopter Lens We’ve said magnification measures the change of an object’s size whenever it’s being viewed through an optical device, while the diopter measures the. The basic unit of measurement in optometry, diopters, is used to express the optical power of prescription lenses. The numbers on your prescription indicate the strength of the lenses required to bring your vision back into focus.. What Is A 5 Diopter Lens.
From thelostcontacts.com
The Optics of Vision Lesson 3 Lens Power The Lost Contacts What Is A 5 Diopter Lens Keep in mind these are rough estimates, and visual experiences can differ. The numbers on your prescription indicate the strength of the lenses required to bring your vision back into focus. These diopter numbers can also be positive or negative. A diopter is a unit of measurement for a lens’s focusing power. Learn more about what a diopter measures and. What Is A 5 Diopter Lens.
From www.toppr.com
A person needs a lens of power 5.5 diopters for correcting his What Is A 5 Diopter Lens It is, however, far from being blind and can be corrected by. We’ve said magnification measures the change of an object’s size whenever it’s being viewed through an optical device, while the diopter measures the. 5 diopters could yield an approximate magnification of 1.25× or 125%. Keep in mind these are rough estimates, and visual experiences can differ. They are. What Is A 5 Diopter Lens.
From digital-photography-school.com
The Camera Diopter What Is It, and How Can You Use It? What Is A 5 Diopter Lens We’ve said magnification measures the change of an object’s size whenever it’s being viewed through an optical device, while the diopter measures the. Keep in mind these are rough estimates, and visual experiences can differ. 5 diopters could yield an approximate magnification of 1.25× or 125%. It is, however, far from being blind and can be corrected by. The numbers. What Is A 5 Diopter Lens.
From www.inspect-is.com
Macro Lenses for Digital Microscopes Inspectis What Is A 5 Diopter Lens The basic unit of measurement in optometry, diopters, is used to express the optical power of prescription lenses. A diopter is a unit of measurement for a lens’s focusing power. Keep in mind these are rough estimates, and visual experiences can differ. These diopter numbers can also be positive or negative. The numbers on your prescription indicate the strength of. What Is A 5 Diopter Lens.
From www.allaboutvision.com
What Is A Diopter? All About Vision What Is A 5 Diopter Lens 5 diopters could yield an approximate magnification of 1.25× or 125%. Magnification = diopter ÷ 4 + 1. We’ve said magnification measures the change of an object’s size whenever it’s being viewed through an optical device, while the diopter measures the. Keep in mind these are rough estimates, and visual experiences can differ. It is, however, far from being blind. What Is A 5 Diopter Lens.
From informacionpublica.svet.gob.gt
What Is A Diopter? Lindsey Optics What Is A 5 Diopter Lens 5 diopters could yield an approximate magnification of 1.25× or 125%. It is, however, far from being blind and can be corrected by. We’ve said magnification measures the change of an object’s size whenever it’s being viewed through an optical device, while the diopter measures the. They are made expressly to gauge the way a lens bends. The basic unit. What Is A 5 Diopter Lens.
From www.slideserve.com
PPT REFRACTIVE ERRORS PowerPoint Presentation, free download ID5853449 What Is A 5 Diopter Lens These diopter numbers can also be positive or negative. 5 diopters could yield an approximate magnification of 1.25× or 125%. A diopter is a unit of measurement for a lens’s focusing power. It is, however, far from being blind and can be corrected by. Magnification = diopter ÷ 4 + 1. We’ve said magnification measures the change of an object’s. What Is A 5 Diopter Lens.
From www.teachoo.com
Power of a lens Definition, Unit (Diopter), Formula Teachoo What Is A 5 Diopter Lens The basic unit of measurement in optometry, diopters, is used to express the optical power of prescription lenses. They are made expressly to gauge the way a lens bends. These diopter numbers can also be positive or negative. 5 diopters could yield an approximate magnification of 1.25× or 125%. A diopter is a unit of measurement for a lens’s focusing. What Is A 5 Diopter Lens.
From www.picturecorrect.com
Diopter Lenses Understanding How They Relate to Photography What Is A 5 Diopter Lens They are made expressly to gauge the way a lens bends. Magnification = diopter ÷ 4 + 1. We’ve said magnification measures the change of an object’s size whenever it’s being viewed through an optical device, while the diopter measures the. These diopter numbers can also be positive or negative. Learn more about what a diopter measures and how diopters. What Is A 5 Diopter Lens.
From www.maxiaids.com
Five Diopter Lens for the Ultra Slim Fluorescent Lamp What Is A 5 Diopter Lens The numbers on your prescription indicate the strength of the lenses required to bring your vision back into focus. A diopter is a unit of measurement for a lens’s focusing power. We’ve said magnification measures the change of an object’s size whenever it’s being viewed through an optical device, while the diopter measures the. The basic unit of measurement in. What Is A 5 Diopter Lens.
From www.lindseyoptics.com
What is a Diopter? Lindsey Optics What Is A 5 Diopter Lens The basic unit of measurement in optometry, diopters, is used to express the optical power of prescription lenses. Learn more about what a diopter measures and how diopters vary by prescription. They are made expressly to gauge the way a lens bends. Keep in mind these are rough estimates, and visual experiences can differ. We’ve said magnification measures the change. What Is A 5 Diopter Lens.
From uwimages.com.au
ACHROMATIC LENS +5 DIOPTER UW Images What Is A 5 Diopter Lens We’ve said magnification measures the change of an object’s size whenever it’s being viewed through an optical device, while the diopter measures the. Keep in mind these are rough estimates, and visual experiences can differ. The basic unit of measurement in optometry, diopters, is used to express the optical power of prescription lenses. Magnification = diopter ÷ 4 + 1.. What Is A 5 Diopter Lens.
From blog.sigmaphoto.com
A Basic Guide to Diopters SIGMA Blog What Is A 5 Diopter Lens They are made expressly to gauge the way a lens bends. Keep in mind these are rough estimates, and visual experiences can differ. The basic unit of measurement in optometry, diopters, is used to express the optical power of prescription lenses. A diopter is a unit of measurement for a lens’s focusing power. Learn more about what a diopter measures. What Is A 5 Diopter Lens.
From www.dpv-elektronik.de
Widefield objective lens 5 diopters for EVO Cam II DPV Elektronik What Is A 5 Diopter Lens They are made expressly to gauge the way a lens bends. 5 diopters could yield an approximate magnification of 1.25× or 125%. We’ve said magnification measures the change of an object’s size whenever it’s being viewed through an optical device, while the diopter measures the. It is, however, far from being blind and can be corrected by. Keep in mind. What Is A 5 Diopter Lens.
From www.qsource.com
Aven 26501LEDINX8D InX Magnifying Lamp 8 Diopter 3x Bundled A What Is A 5 Diopter Lens These diopter numbers can also be positive or negative. The numbers on your prescription indicate the strength of the lenses required to bring your vision back into focus. It is, however, far from being blind and can be corrected by. Keep in mind these are rough estimates, and visual experiences can differ. Learn more about what a diopter measures and. What Is A 5 Diopter Lens.
From chutongelec.com
Replacement Lens 5 Diopter 5 inch magnifier Lens of Magnifying Lamp What Is A 5 Diopter Lens 5 diopters could yield an approximate magnification of 1.25× or 125%. It is, however, far from being blind and can be corrected by. The numbers on your prescription indicate the strength of the lenses required to bring your vision back into focus. Keep in mind these are rough estimates, and visual experiences can differ. They are made expressly to gauge. What Is A 5 Diopter Lens.
From core-electronics.com.au
Daylight 5 Diopter Lens Australia What Is A 5 Diopter Lens The numbers on your prescription indicate the strength of the lenses required to bring your vision back into focus. A diopter is a unit of measurement for a lens’s focusing power. Keep in mind these are rough estimates, and visual experiences can differ. Magnification = diopter ÷ 4 + 1. These diopter numbers can also be positive or negative. We’ve. What Is A 5 Diopter Lens.
From hive.blog
Refractive power of lenses (Diopter) — Hive What Is A 5 Diopter Lens It is, however, far from being blind and can be corrected by. Learn more about what a diopter measures and how diopters vary by prescription. 5 diopters could yield an approximate magnification of 1.25× or 125%. A diopter is a unit of measurement for a lens’s focusing power. Keep in mind these are rough estimates, and visual experiences can differ.. What Is A 5 Diopter Lens.