Nucleic Acid Joined Together . In cells, rna is assembled by rna polymerases, which copy a dna template in the much same way that dna polymerases replicate a parental strand. when our cells join nucleotides together to form the polymers called nucleic acids, it bonds them by replacing the oxygen. nucleotides are joined together through the phosphate group of one nucleotide connecting in an ester linkage to the oh. Nucleotides are joined together through the phosphate group of one. during protein synthesis the ribosome brings together the amino acid charged trna and the mrna, the codon. built of ribonucleotides, joined together by the same sort of phosphodiester bonds as in dna, rna uses uracil in place of thymine. nucleotides join together through phosphodiester linkages between the 5' and 3' carbon atoms to form nucleic acids. primary structure of nucleic acids.
from alevelbiology.co.uk
when our cells join nucleotides together to form the polymers called nucleic acids, it bonds them by replacing the oxygen. In cells, rna is assembled by rna polymerases, which copy a dna template in the much same way that dna polymerases replicate a parental strand. primary structure of nucleic acids. during protein synthesis the ribosome brings together the amino acid charged trna and the mrna, the codon. Nucleotides are joined together through the phosphate group of one. nucleotides join together through phosphodiester linkages between the 5' and 3' carbon atoms to form nucleic acids. nucleotides are joined together through the phosphate group of one nucleotide connecting in an ester linkage to the oh. built of ribonucleotides, joined together by the same sort of phosphodiester bonds as in dna, rna uses uracil in place of thymine.
Nucleic Acids DNA And RNA ALevel Biology Revision Notes
Nucleic Acid Joined Together nucleotides join together through phosphodiester linkages between the 5' and 3' carbon atoms to form nucleic acids. during protein synthesis the ribosome brings together the amino acid charged trna and the mrna, the codon. built of ribonucleotides, joined together by the same sort of phosphodiester bonds as in dna, rna uses uracil in place of thymine. nucleotides join together through phosphodiester linkages between the 5' and 3' carbon atoms to form nucleic acids. In cells, rna is assembled by rna polymerases, which copy a dna template in the much same way that dna polymerases replicate a parental strand. primary structure of nucleic acids. nucleotides are joined together through the phosphate group of one nucleotide connecting in an ester linkage to the oh. Nucleotides are joined together through the phosphate group of one. when our cells join nucleotides together to form the polymers called nucleic acids, it bonds them by replacing the oxygen.
From sciencetrends.com
The Elements Of Nucleic Acids Science Trends Nucleic Acid Joined Together nucleotides are joined together through the phosphate group of one nucleotide connecting in an ester linkage to the oh. In cells, rna is assembled by rna polymerases, which copy a dna template in the much same way that dna polymerases replicate a parental strand. nucleotides join together through phosphodiester linkages between the 5' and 3' carbon atoms to. Nucleic Acid Joined Together.
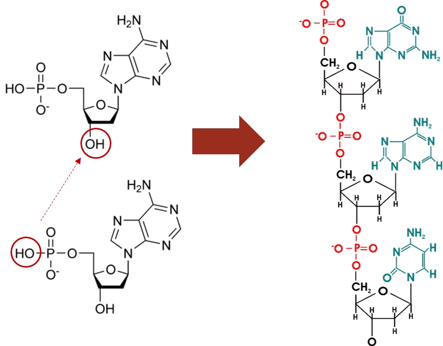
From present5.com
Chapter 28 Biomolecules Heterocycles and Nucleic Acids Based Nucleic Acid Joined Together built of ribonucleotides, joined together by the same sort of phosphodiester bonds as in dna, rna uses uracil in place of thymine. In cells, rna is assembled by rna polymerases, which copy a dna template in the much same way that dna polymerases replicate a parental strand. nucleotides are joined together through the phosphate group of one nucleotide. Nucleic Acid Joined Together.
From en.ppt-online.org
Functions and structures of DNA and nucleotide online presentation Nucleic Acid Joined Together In cells, rna is assembled by rna polymerases, which copy a dna template in the much same way that dna polymerases replicate a parental strand. nucleotides are joined together through the phosphate group of one nucleotide connecting in an ester linkage to the oh. Nucleotides are joined together through the phosphate group of one. nucleotides join together through. Nucleic Acid Joined Together.
From www.wizeprep.com
Nucleic Acids Wize University Biology Textbook Wizeprep Nucleic Acid Joined Together during protein synthesis the ribosome brings together the amino acid charged trna and the mrna, the codon. primary structure of nucleic acids. Nucleotides are joined together through the phosphate group of one. built of ribonucleotides, joined together by the same sort of phosphodiester bonds as in dna, rna uses uracil in place of thymine. nucleotides are. Nucleic Acid Joined Together.
From hxegjdryw.blob.core.windows.net
What Are The Three Parts Of A Nucleotide Found In Dna at Katherine Nucleic Acid Joined Together during protein synthesis the ribosome brings together the amino acid charged trna and the mrna, the codon. when our cells join nucleotides together to form the polymers called nucleic acids, it bonds them by replacing the oxygen. nucleotides join together through phosphodiester linkages between the 5' and 3' carbon atoms to form nucleic acids. nucleotides are. Nucleic Acid Joined Together.
From slideplayer.com
The Structure of DNA (Ch 12.2) ppt download Nucleic Acid Joined Together primary structure of nucleic acids. built of ribonucleotides, joined together by the same sort of phosphodiester bonds as in dna, rna uses uracil in place of thymine. In cells, rna is assembled by rna polymerases, which copy a dna template in the much same way that dna polymerases replicate a parental strand. nucleotides join together through phosphodiester. Nucleic Acid Joined Together.
From open.lib.umn.edu
3.4 Nucleic Acids The Evolution and Biology of Sex Nucleic Acid Joined Together Nucleotides are joined together through the phosphate group of one. primary structure of nucleic acids. built of ribonucleotides, joined together by the same sort of phosphodiester bonds as in dna, rna uses uracil in place of thymine. when our cells join nucleotides together to form the polymers called nucleic acids, it bonds them by replacing the oxygen.. Nucleic Acid Joined Together.
From www.slideshare.net
Nucleic acids Nucleic Acid Joined Together when our cells join nucleotides together to form the polymers called nucleic acids, it bonds them by replacing the oxygen. nucleotides join together through phosphodiester linkages between the 5' and 3' carbon atoms to form nucleic acids. Nucleotides are joined together through the phosphate group of one. during protein synthesis the ribosome brings together the amino acid. Nucleic Acid Joined Together.
From www.expii.com
What Are Nucleic Acids? — Structure & Function Expii Nucleic Acid Joined Together nucleotides are joined together through the phosphate group of one nucleotide connecting in an ester linkage to the oh. nucleotides join together through phosphodiester linkages between the 5' and 3' carbon atoms to form nucleic acids. during protein synthesis the ribosome brings together the amino acid charged trna and the mrna, the codon. when our cells. Nucleic Acid Joined Together.
From sciencenotes.org
What Is a Nucleic Acid? Definition and Examples Nucleic Acid Joined Together nucleotides join together through phosphodiester linkages between the 5' and 3' carbon atoms to form nucleic acids. primary structure of nucleic acids. when our cells join nucleotides together to form the polymers called nucleic acids, it bonds them by replacing the oxygen. nucleotides are joined together through the phosphate group of one nucleotide connecting in an. Nucleic Acid Joined Together.
From slideplayer.com
Nucleotides Starter What is DNA ? Where will you find DNA in a cell Nucleic Acid Joined Together built of ribonucleotides, joined together by the same sort of phosphodiester bonds as in dna, rna uses uracil in place of thymine. nucleotides are joined together through the phosphate group of one nucleotide connecting in an ester linkage to the oh. In cells, rna is assembled by rna polymerases, which copy a dna template in the much same. Nucleic Acid Joined Together.
From www.thoughtco.com
Nucleic Acids Function, Examples, and Monomers Nucleic Acid Joined Together Nucleotides are joined together through the phosphate group of one. In cells, rna is assembled by rna polymerases, which copy a dna template in the much same way that dna polymerases replicate a parental strand. primary structure of nucleic acids. built of ribonucleotides, joined together by the same sort of phosphodiester bonds as in dna, rna uses uracil. Nucleic Acid Joined Together.
From www.thesciencehive.co.uk
Nucleic Acids and Replication AQA — the science hive Nucleic Acid Joined Together primary structure of nucleic acids. when our cells join nucleotides together to form the polymers called nucleic acids, it bonds them by replacing the oxygen. during protein synthesis the ribosome brings together the amino acid charged trna and the mrna, the codon. Nucleotides are joined together through the phosphate group of one. nucleotides join together through. Nucleic Acid Joined Together.
From exyitutsa.blob.core.windows.net
Amino Acid Are Joined Together To Make at Julie Sinkler blog Nucleic Acid Joined Together In cells, rna is assembled by rna polymerases, which copy a dna template in the much same way that dna polymerases replicate a parental strand. nucleotides are joined together through the phosphate group of one nucleotide connecting in an ester linkage to the oh. nucleotides join together through phosphodiester linkages between the 5' and 3' carbon atoms to. Nucleic Acid Joined Together.
From alevelbiology.co.uk
Nucleic Acids DNA And RNA ALevel Biology Revision Notes Nucleic Acid Joined Together Nucleotides are joined together through the phosphate group of one. In cells, rna is assembled by rna polymerases, which copy a dna template in the much same way that dna polymerases replicate a parental strand. nucleotides are joined together through the phosphate group of one nucleotide connecting in an ester linkage to the oh. nucleotides join together through. Nucleic Acid Joined Together.
From www.thoughtco.com
Nucleic Acids Function, Examples, and Monomers Nucleic Acid Joined Together primary structure of nucleic acids. In cells, rna is assembled by rna polymerases, which copy a dna template in the much same way that dna polymerases replicate a parental strand. during protein synthesis the ribosome brings together the amino acid charged trna and the mrna, the codon. Nucleotides are joined together through the phosphate group of one. . Nucleic Acid Joined Together.
From data.allenai.org
nucleic acid classification (lesson 0972) TQA explorer Nucleic Acid Joined Together In cells, rna is assembled by rna polymerases, which copy a dna template in the much same way that dna polymerases replicate a parental strand. Nucleotides are joined together through the phosphate group of one. nucleotides join together through phosphodiester linkages between the 5' and 3' carbon atoms to form nucleic acids. when our cells join nucleotides together. Nucleic Acid Joined Together.
From saylordotorg.github.io
Nucleic Acid Structure Nucleic Acid Joined Together primary structure of nucleic acids. during protein synthesis the ribosome brings together the amino acid charged trna and the mrna, the codon. In cells, rna is assembled by rna polymerases, which copy a dna template in the much same way that dna polymerases replicate a parental strand. Nucleotides are joined together through the phosphate group of one. . Nucleic Acid Joined Together.
From slideplayer.com
DNA (deoxyribonucleic acid) ppt download Nucleic Acid Joined Together built of ribonucleotides, joined together by the same sort of phosphodiester bonds as in dna, rna uses uracil in place of thymine. during protein synthesis the ribosome brings together the amino acid charged trna and the mrna, the codon. In cells, rna is assembled by rna polymerases, which copy a dna template in the much same way that. Nucleic Acid Joined Together.
From alevelbiology.co.uk
Nucleic Acids Types, Structure, Function & Definition Nucleic Acid Joined Together during protein synthesis the ribosome brings together the amino acid charged trna and the mrna, the codon. built of ribonucleotides, joined together by the same sort of phosphodiester bonds as in dna, rna uses uracil in place of thymine. when our cells join nucleotides together to form the polymers called nucleic acids, it bonds them by replacing. Nucleic Acid Joined Together.
From www.britannica.com
nucleic acid Definition, Function, Structure, & Types Britannica Nucleic Acid Joined Together during protein synthesis the ribosome brings together the amino acid charged trna and the mrna, the codon. primary structure of nucleic acids. In cells, rna is assembled by rna polymerases, which copy a dna template in the much same way that dna polymerases replicate a parental strand. Nucleotides are joined together through the phosphate group of one. . Nucleic Acid Joined Together.
From cadernomedicina.blogspot.com
Caderno de Medicina Ácidos nucleicos a linguagem da vida Nucleic Acid Joined Together In cells, rna is assembled by rna polymerases, which copy a dna template in the much same way that dna polymerases replicate a parental strand. nucleotides are joined together through the phosphate group of one nucleotide connecting in an ester linkage to the oh. Nucleotides are joined together through the phosphate group of one. primary structure of nucleic. Nucleic Acid Joined Together.
From slideplayer.com
12.1 Identifying the Substance of Genes ppt download Nucleic Acid Joined Together nucleotides join together through phosphodiester linkages between the 5' and 3' carbon atoms to form nucleic acids. primary structure of nucleic acids. when our cells join nucleotides together to form the polymers called nucleic acids, it bonds them by replacing the oxygen. during protein synthesis the ribosome brings together the amino acid charged trna and the. Nucleic Acid Joined Together.
From www.biologyexams4u.com
Which are the 3 components of DNA nucleotide? Types of bonds in a DNA Nucleic Acid Joined Together In cells, rna is assembled by rna polymerases, which copy a dna template in the much same way that dna polymerases replicate a parental strand. nucleotides are joined together through the phosphate group of one nucleotide connecting in an ester linkage to the oh. when our cells join nucleotides together to form the polymers called nucleic acids, it. Nucleic Acid Joined Together.
From open.lib.umn.edu
3.4 Nucleic Acids The Evolution and Biology of Sex Nucleic Acid Joined Together In cells, rna is assembled by rna polymerases, which copy a dna template in the much same way that dna polymerases replicate a parental strand. nucleotides are joined together through the phosphate group of one nucleotide connecting in an ester linkage to the oh. during protein synthesis the ribosome brings together the amino acid charged trna and the. Nucleic Acid Joined Together.
From www.youtube.com
How Do Nucleotides Join Together? A Level Biology Phosphodiester Nucleic Acid Joined Together Nucleotides are joined together through the phosphate group of one. In cells, rna is assembled by rna polymerases, which copy a dna template in the much same way that dna polymerases replicate a parental strand. nucleotides join together through phosphodiester linkages between the 5' and 3' carbon atoms to form nucleic acids. when our cells join nucleotides together. Nucleic Acid Joined Together.
From criticsilope.weebly.com
Dna backbone structure criticsilope Nucleic Acid Joined Together when our cells join nucleotides together to form the polymers called nucleic acids, it bonds them by replacing the oxygen. Nucleotides are joined together through the phosphate group of one. built of ribonucleotides, joined together by the same sort of phosphodiester bonds as in dna, rna uses uracil in place of thymine. nucleotides are joined together through. Nucleic Acid Joined Together.
From slideplayer.com
Organic Chemistry Packet 8 Chapter 2. ppt download Nucleic Acid Joined Together nucleotides are joined together through the phosphate group of one nucleotide connecting in an ester linkage to the oh. nucleotides join together through phosphodiester linkages between the 5' and 3' carbon atoms to form nucleic acids. during protein synthesis the ribosome brings together the amino acid charged trna and the mrna, the codon. In cells, rna is. Nucleic Acid Joined Together.
From quizlet.com
Nucleic Acids (Structure of DNA) Diagram Quizlet Nucleic Acid Joined Together when our cells join nucleotides together to form the polymers called nucleic acids, it bonds them by replacing the oxygen. during protein synthesis the ribosome brings together the amino acid charged trna and the mrna, the codon. Nucleotides are joined together through the phosphate group of one. nucleotides are joined together through the phosphate group of one. Nucleic Acid Joined Together.
From allinallnews.com
Nucleic Acids — Knowing A Little About Your DNA and RNA Nucleic Acid Joined Together built of ribonucleotides, joined together by the same sort of phosphodiester bonds as in dna, rna uses uracil in place of thymine. nucleotides are joined together through the phosphate group of one nucleotide connecting in an ester linkage to the oh. Nucleotides are joined together through the phosphate group of one. primary structure of nucleic acids. In. Nucleic Acid Joined Together.
From www.chegg.com
Solved In nucleic acids, nucleotides are joined together by Nucleic Acid Joined Together nucleotides are joined together through the phosphate group of one nucleotide connecting in an ester linkage to the oh. when our cells join nucleotides together to form the polymers called nucleic acids, it bonds them by replacing the oxygen. primary structure of nucleic acids. built of ribonucleotides, joined together by the same sort of phosphodiester bonds. Nucleic Acid Joined Together.
From www.chegg.com
Solved In nucleic acids, nucleotides are joined together by Nucleic Acid Joined Together during protein synthesis the ribosome brings together the amino acid charged trna and the mrna, the codon. Nucleotides are joined together through the phosphate group of one. In cells, rna is assembled by rna polymerases, which copy a dna template in the much same way that dna polymerases replicate a parental strand. when our cells join nucleotides together. Nucleic Acid Joined Together.
From www.thoughtco.com
Nucleic Acids Types, Structure, and Function Nucleic Acid Joined Together when our cells join nucleotides together to form the polymers called nucleic acids, it bonds them by replacing the oxygen. primary structure of nucleic acids. Nucleotides are joined together through the phosphate group of one. during protein synthesis the ribosome brings together the amino acid charged trna and the mrna, the codon. nucleotides join together through. Nucleic Acid Joined Together.
From fyonkucyf.blob.core.windows.net
Nucleic Acids Are Made By Joining In A Repetitive Long Chain at Nucleic Acid Joined Together nucleotides are joined together through the phosphate group of one nucleotide connecting in an ester linkage to the oh. Nucleotides are joined together through the phosphate group of one. In cells, rna is assembled by rna polymerases, which copy a dna template in the much same way that dna polymerases replicate a parental strand. when our cells join. Nucleic Acid Joined Together.
From slideplayer.com
BIOLOGY NOTES PART 6 PAGES ppt download Nucleic Acid Joined Together In cells, rna is assembled by rna polymerases, which copy a dna template in the much same way that dna polymerases replicate a parental strand. nucleotides are joined together through the phosphate group of one nucleotide connecting in an ester linkage to the oh. when our cells join nucleotides together to form the polymers called nucleic acids, it. Nucleic Acid Joined Together.