What Is Meaning Of Mortality Table .    — an actuarial life table is also called a mortality table, life table, or actuarial table.    — the life table depicts the mortality experience of a hypothetical group of newborn babies throughout their entire.    — a mortality table is a statistical tool used by insurance companies and actuaries to predict the likelihood of death and determine.    — what is a mortality table?  a mortality table is a diagram that shows the death rate for a defined population within a specific rate of time.    — the australian life tables are used to more accurately estimate future cash flows in a wide range of areas,. A mortality table is a tabular presentation of the rate of death for a specific population over a chosen. Also known as a life table or an actuarial.
        
        from 7esl.com 
     
        
           — a mortality table is a statistical tool used by insurance companies and actuaries to predict the likelihood of death and determine.    — the life table depicts the mortality experience of a hypothetical group of newborn babies throughout their entire.    — what is a mortality table? A mortality table is a tabular presentation of the rate of death for a specific population over a chosen.    — an actuarial life table is also called a mortality table, life table, or actuarial table.  a mortality table is a diagram that shows the death rate for a defined population within a specific rate of time. Also known as a life table or an actuarial.    — the australian life tables are used to more accurately estimate future cash flows in a wide range of areas,.
    
    	
            
	
		 
         
    Morbidity and Mortality When to Use Morbidity vs. Mortality • 7ESL 
    What Is Meaning Of Mortality Table   a mortality table is a diagram that shows the death rate for a defined population within a specific rate of time.    — a mortality table is a statistical tool used by insurance companies and actuaries to predict the likelihood of death and determine.    — the australian life tables are used to more accurately estimate future cash flows in a wide range of areas,.    — an actuarial life table is also called a mortality table, life table, or actuarial table. Also known as a life table or an actuarial.  a mortality table is a diagram that shows the death rate for a defined population within a specific rate of time. A mortality table is a tabular presentation of the rate of death for a specific population over a chosen.    — the life table depicts the mortality experience of a hypothetical group of newborn babies throughout their entire.    — what is a mortality table?
            
	
		 
         
 
    
        From www.dreamstime.com 
                    Covid19 Chart, Death Mortality Rate Percentage by Age, 3d Illustration Column Chart Stock What Is Meaning Of Mortality Table  A mortality table is a tabular presentation of the rate of death for a specific population over a chosen.  a mortality table is a diagram that shows the death rate for a defined population within a specific rate of time.    — what is a mortality table?    — the life table depicts the mortality experience of a hypothetical. What Is Meaning Of Mortality Table.
     
    
        From www.summahealth.org 
                    Summa Health Mortality What Is Meaning Of Mortality Table     — the life table depicts the mortality experience of a hypothetical group of newborn babies throughout their entire. Also known as a life table or an actuarial. A mortality table is a tabular presentation of the rate of death for a specific population over a chosen.    — an actuarial life table is also called a mortality table, life. What Is Meaning Of Mortality Table.
     
    
        From www.slideserve.com 
                    PPT Measures of Mortality PowerPoint Presentation, free download ID9136993 What Is Meaning Of Mortality Table     — the life table depicts the mortality experience of a hypothetical group of newborn babies throughout their entire. Also known as a life table or an actuarial.  a mortality table is a diagram that shows the death rate for a defined population within a specific rate of time.    — a mortality table is a statistical tool used. What Is Meaning Of Mortality Table.
     
    
        From www.investopedia.com 
                    Ultimate Mortality Table What It Is, How It Works What Is Meaning Of Mortality Table     — what is a mortality table?    — a mortality table is a statistical tool used by insurance companies and actuaries to predict the likelihood of death and determine.  a mortality table is a diagram that shows the death rate for a defined population within a specific rate of time.    — an actuarial life table is also. What Is Meaning Of Mortality Table.
     
    
        From www.youtube.com 
                    Mortality Table Meaning Of Mortality Table In Life Insurance Dr. Sahil Roy YouTube What Is Meaning Of Mortality Table     — a mortality table is a statistical tool used by insurance companies and actuaries to predict the likelihood of death and determine.    — an actuarial life table is also called a mortality table, life table, or actuarial table.    — the life table depicts the mortality experience of a hypothetical group of newborn babies throughout their entire. . What Is Meaning Of Mortality Table.
     
    
        From www.awesomefintech.com 
                    Mortality Table AwesomeFinTech Blog What Is Meaning Of Mortality Table  Also known as a life table or an actuarial.    — the australian life tables are used to more accurately estimate future cash flows in a wide range of areas,. A mortality table is a tabular presentation of the rate of death for a specific population over a chosen.    — the life table depicts the mortality experience of a. What Is Meaning Of Mortality Table.
     
    
        From www.slideserve.com 
                    PPT Measures of Mortality PowerPoint Presentation, free download ID9136993 What Is Meaning Of Mortality Table     — a mortality table is a statistical tool used by insurance companies and actuaries to predict the likelihood of death and determine.    — what is a mortality table?    — an actuarial life table is also called a mortality table, life table, or actuarial table.    — the life table depicts the mortality experience of a hypothetical group. What Is Meaning Of Mortality Table.
     
    
        From www.wallstreetmojo.com 
                    Mortality Table What Is It, Types, Examples, Importance What Is Meaning Of Mortality Table   a mortality table is a diagram that shows the death rate for a defined population within a specific rate of time. Also known as a life table or an actuarial. A mortality table is a tabular presentation of the rate of death for a specific population over a chosen.    — the life table depicts the mortality experience of. What Is Meaning Of Mortality Table.
     
    
        From www.researchgate.net 
                    Observed and Expected Numbers of Deaths and Standardized Mortality... Download Table What Is Meaning Of Mortality Table     — what is a mortality table?  a mortality table is a diagram that shows the death rate for a defined population within a specific rate of time.    — an actuarial life table is also called a mortality table, life table, or actuarial table. Also known as a life table or an actuarial.    — a mortality table. What Is Meaning Of Mortality Table.
     
    
        From www.researchgate.net 
                    Male mortality from selected causes Deaths per 100 000 Download Table What Is Meaning Of Mortality Table  Also known as a life table or an actuarial.  a mortality table is a diagram that shows the death rate for a defined population within a specific rate of time.    — a mortality table is a statistical tool used by insurance companies and actuaries to predict the likelihood of death and determine.    — the australian life tables. What Is Meaning Of Mortality Table.
     
    
        From www.youtube.com 
                    Mortality Table Pricing Life Insurance Pat Obi YouTube What Is Meaning Of Mortality Table     — what is a mortality table?    — the australian life tables are used to more accurately estimate future cash flows in a wide range of areas,.    — the life table depicts the mortality experience of a hypothetical group of newborn babies throughout their entire. A mortality table is a tabular presentation of the rate of death for. What Is Meaning Of Mortality Table.
     
    
        From www.investopedia.com 
                    Mortality Table Definition, Types, and Uses What Is Meaning Of Mortality Table     — a mortality table is a statistical tool used by insurance companies and actuaries to predict the likelihood of death and determine.    — the australian life tables are used to more accurately estimate future cash flows in a wide range of areas,.    — what is a mortality table?  a mortality table is a diagram that shows. What Is Meaning Of Mortality Table.
     
    
        From www.slideserve.com 
                    PPT The Work of an Actuary Mortality Tables and Life Insurance PowerPoint Presentation ID What Is Meaning Of Mortality Table  A mortality table is a tabular presentation of the rate of death for a specific population over a chosen.    — what is a mortality table?    — the australian life tables are used to more accurately estimate future cash flows in a wide range of areas,.    — a mortality table is a statistical tool used by insurance companies. What Is Meaning Of Mortality Table.
     
    
        From archinte.jamanetwork.com 
                    Mortality for Publicly Reported Conditions and Overall Hospital Mortality Rates Cardiology What Is Meaning Of Mortality Table     — a mortality table is a statistical tool used by insurance companies and actuaries to predict the likelihood of death and determine.    — what is a mortality table?    — an actuarial life table is also called a mortality table, life table, or actuarial table.    — the life table depicts the mortality experience of a hypothetical group. What Is Meaning Of Mortality Table.
     
    
        From slidetodoc.com 
                    Measures of Mortality Mortality in Different Populations Mortality What Is Meaning Of Mortality Table     — a mortality table is a statistical tool used by insurance companies and actuaries to predict the likelihood of death and determine.  a mortality table is a diagram that shows the death rate for a defined population within a specific rate of time.    — the life table depicts the mortality experience of a hypothetical group of newborn. What Is Meaning Of Mortality Table.
     
    
        From www.researchgate.net 
                    Mortality Table of Three Conditions Endowment Life Insurance Download Scientific Diagram What Is Meaning Of Mortality Table  A mortality table is a tabular presentation of the rate of death for a specific population over a chosen.    — an actuarial life table is also called a mortality table, life table, or actuarial table.    — what is a mortality table?  a mortality table is a diagram that shows the death rate for a defined population within. What Is Meaning Of Mortality Table.
     
    
        From corporatefinanceinstitute.com 
                    Mortality Table Overview, Features, Types, and Use What Is Meaning Of Mortality Table     — what is a mortality table? Also known as a life table or an actuarial.    — a mortality table is a statistical tool used by insurance companies and actuaries to predict the likelihood of death and determine.    — the life table depicts the mortality experience of a hypothetical group of newborn babies throughout their entire.    —. What Is Meaning Of Mortality Table.
     
    
        From www.investopedia.com 
                    Select Mortality Table What it Means, How it Works What Is Meaning Of Mortality Table  A mortality table is a tabular presentation of the rate of death for a specific population over a chosen. Also known as a life table or an actuarial.  a mortality table is a diagram that shows the death rate for a defined population within a specific rate of time.    — a mortality table is a statistical tool used. What Is Meaning Of Mortality Table.
     
    
        From www.awesomefintech.com 
                    Select Mortality Table AwesomeFinTech Blog What Is Meaning Of Mortality Table  A mortality table is a tabular presentation of the rate of death for a specific population over a chosen.    — the life table depicts the mortality experience of a hypothetical group of newborn babies throughout their entire. Also known as a life table or an actuarial.    — the australian life tables are used to more accurately estimate future. What Is Meaning Of Mortality Table.
     
    
        From www.slideserve.com 
                    PPT Life Tables PowerPoint Presentation ID4227670 What Is Meaning Of Mortality Table   a mortality table is a diagram that shows the death rate for a defined population within a specific rate of time. A mortality table is a tabular presentation of the rate of death for a specific population over a chosen.    — what is a mortality table?    — the life table depicts the mortality experience of a hypothetical. What Is Meaning Of Mortality Table.
     
    
        From www.awesomefintech.com 
                    Mortality Table AwesomeFinTech Blog What Is Meaning Of Mortality Table  Also known as a life table or an actuarial.    — the australian life tables are used to more accurately estimate future cash flows in a wide range of areas,.  a mortality table is a diagram that shows the death rate for a defined population within a specific rate of time.    — the life table depicts the mortality. What Is Meaning Of Mortality Table.
     
    
        From www.researchgate.net 
                    Morbidity and mortality rates in 709 patients Download Table What Is Meaning Of Mortality Table     — the australian life tables are used to more accurately estimate future cash flows in a wide range of areas,.  a mortality table is a diagram that shows the death rate for a defined population within a specific rate of time. Also known as a life table or an actuarial.    — an actuarial life table is also. What Is Meaning Of Mortality Table.
     
    
        From www.slideserve.com 
                    PPT Mortality PowerPoint Presentation, free download ID2564999 What Is Meaning Of Mortality Table  Also known as a life table or an actuarial.    — the australian life tables are used to more accurately estimate future cash flows in a wide range of areas,.    — the life table depicts the mortality experience of a hypothetical group of newborn babies throughout their entire. A mortality table is a tabular presentation of the rate of. What Is Meaning Of Mortality Table.
     
    
        From anthroholic.com 
                    Life Table (Mortality Table) Anthroholic What Is Meaning Of Mortality Table     — an actuarial life table is also called a mortality table, life table, or actuarial table.    — a mortality table is a statistical tool used by insurance companies and actuaries to predict the likelihood of death and determine.    — the life table depicts the mortality experience of a hypothetical group of newborn babies throughout their entire. . What Is Meaning Of Mortality Table.
     
    
        From www.slideserve.com 
                    PPT The Work of an Actuary Mortality Tables and Life Insurance PowerPoint Presentation ID What Is Meaning Of Mortality Table     — the life table depicts the mortality experience of a hypothetical group of newborn babies throughout their entire.    — a mortality table is a statistical tool used by insurance companies and actuaries to predict the likelihood of death and determine.    — the australian life tables are used to more accurately estimate future cash flows in a wide. What Is Meaning Of Mortality Table.
     
    
        From www.researchgate.net 
                    Formation of adjusted mortality table Download Scientific Diagram What Is Meaning Of Mortality Table     — the australian life tables are used to more accurately estimate future cash flows in a wide range of areas,.    — an actuarial life table is also called a mortality table, life table, or actuarial table. A mortality table is a tabular presentation of the rate of death for a specific population over a chosen.    — what. What Is Meaning Of Mortality Table.
     
    
        From www.slideserve.com 
                    PPT The Work of an Actuary Mortality Tables and Life Insurance PowerPoint Presentation ID What Is Meaning Of Mortality Table  A mortality table is a tabular presentation of the rate of death for a specific population over a chosen.  a mortality table is a diagram that shows the death rate for a defined population within a specific rate of time.    — the australian life tables are used to more accurately estimate future cash flows in a wide range. What Is Meaning Of Mortality Table.
     
    
        From www.merriam-webster.com 
                    Ultimate Mortality Table Definition of Ultimate Mortality Table by Merriamster What Is Meaning Of Mortality Table     — an actuarial life table is also called a mortality table, life table, or actuarial table.    — what is a mortality table? A mortality table is a tabular presentation of the rate of death for a specific population over a chosen.    — the australian life tables are used to more accurately estimate future cash flows in a. What Is Meaning Of Mortality Table.
     
    
        From neverletdatagetinthewayofagoodstory.com 
                    Covid19 Death Table USA Never Let Data Get In The Way Of A Good Story What Is Meaning Of Mortality Table     — what is a mortality table?    — the australian life tables are used to more accurately estimate future cash flows in a wide range of areas,.    — a mortality table is a statistical tool used by insurance companies and actuaries to predict the likelihood of death and determine. A mortality table is a tabular presentation of the. What Is Meaning Of Mortality Table.
     
    
        From www.awesomefintech.com 
                    Mortality Table AwesomeFinTech Blog What Is Meaning Of Mortality Table   a mortality table is a diagram that shows the death rate for a defined population within a specific rate of time. Also known as a life table or an actuarial.    — a mortality table is a statistical tool used by insurance companies and actuaries to predict the likelihood of death and determine.    — what is a mortality. What Is Meaning Of Mortality Table.
     
    
        From www.hpdm.cl 
                    Actuarial Life Table Definition, Types, How It Works, 42 OFF What Is Meaning Of Mortality Table     — an actuarial life table is also called a mortality table, life table, or actuarial table. Also known as a life table or an actuarial.    — a mortality table is a statistical tool used by insurance companies and actuaries to predict the likelihood of death and determine.    — the life table depicts the mortality experience of a. What Is Meaning Of Mortality Table.
     
    
        From www.bbc.com 
                    Coronavirus death rate What are the chances of dying? BBC News What Is Meaning Of Mortality Table     — a mortality table is a statistical tool used by insurance companies and actuaries to predict the likelihood of death and determine.    — the life table depicts the mortality experience of a hypothetical group of newborn babies throughout their entire. Also known as a life table or an actuarial.  a mortality table is a diagram that shows. What Is Meaning Of Mortality Table.
     
    
        From www.mdpi.com 
                    Healthcare Free FullText Sudden Death in Adults A Practical Flow Chart for Pathologist What Is Meaning Of Mortality Table  Also known as a life table or an actuarial.    — what is a mortality table?    — the australian life tables are used to more accurately estimate future cash flows in a wide range of areas,.    — a mortality table is a statistical tool used by insurance companies and actuaries to predict the likelihood of death and determine.. What Is Meaning Of Mortality Table.
     
    
        From 7esl.com 
                    Morbidity and Mortality When to Use Morbidity vs. Mortality • 7ESL What Is Meaning Of Mortality Table     — what is a mortality table?    — an actuarial life table is also called a mortality table, life table, or actuarial table. Also known as a life table or an actuarial.    — a mortality table is a statistical tool used by insurance companies and actuaries to predict the likelihood of death and determine. A mortality table is. What Is Meaning Of Mortality Table.
     
    
        From www.scribd.com 
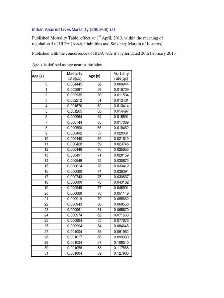
                    IALM Mortality Tables (200608) Ult What Is Meaning Of Mortality Table  A mortality table is a tabular presentation of the rate of death for a specific population over a chosen. Also known as a life table or an actuarial.    — the australian life tables are used to more accurately estimate future cash flows in a wide range of areas,.    — an actuarial life table is also called a mortality. What Is Meaning Of Mortality Table.