Damper Transfer Function . I'll then be inputting it. I'm trying to model a system with two masses, two springs, two dampers, and one applied force using transfer functions. Springs and dampers are connected to wheel using a. Its controller form model was. Transfer functions are used for equations with one input and one output variable. A mechanical system with a rotating wheel of mass mw (uniform mass distribution). An example of a transfer function is shown below in figure 8.1. The general form calls for output over input on. We then review some basic.
from www.chegg.com
Transfer functions are used for equations with one input and one output variable. Springs and dampers are connected to wheel using a. I'll then be inputting it. Its controller form model was. The general form calls for output over input on. We then review some basic. I'm trying to model a system with two masses, two springs, two dampers, and one applied force using transfer functions. A mechanical system with a rotating wheel of mass mw (uniform mass distribution). An example of a transfer function is shown below in figure 8.1.
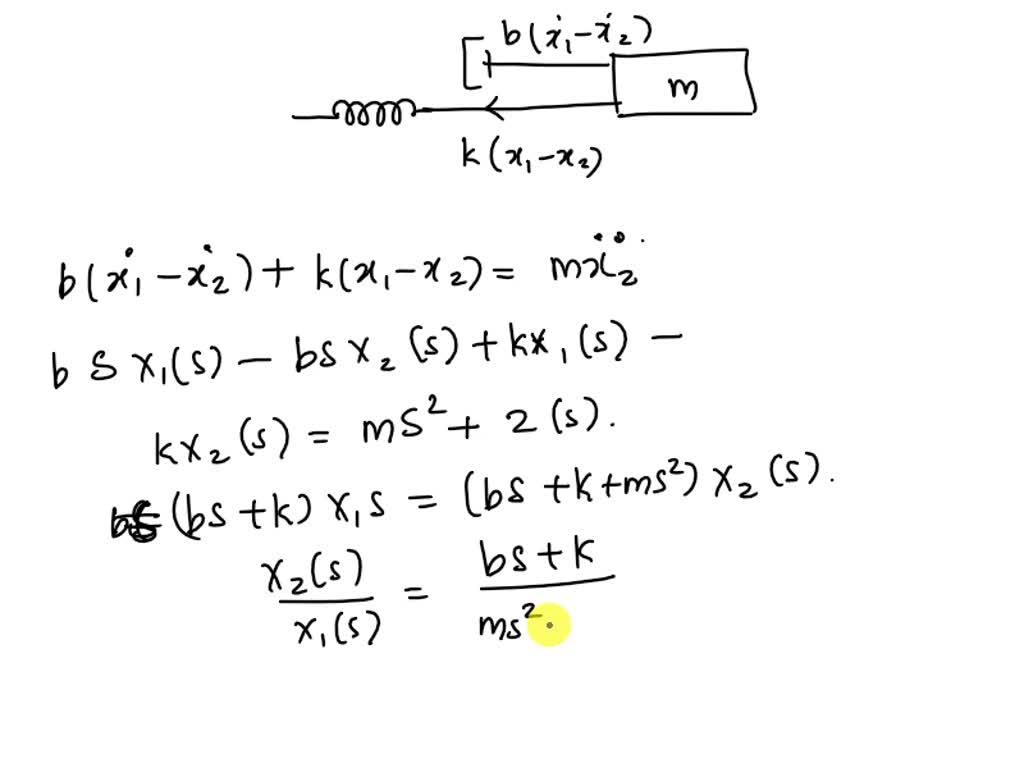
Consider a simple springmassdamper system shown in
Damper Transfer Function Its controller form model was. Its controller form model was. An example of a transfer function is shown below in figure 8.1. A mechanical system with a rotating wheel of mass mw (uniform mass distribution). Transfer functions are used for equations with one input and one output variable. The general form calls for output over input on. I'll then be inputting it. We then review some basic. Springs and dampers are connected to wheel using a. I'm trying to model a system with two masses, two springs, two dampers, and one applied force using transfer functions.
From itecnotes.com
Electronic Finding the Transfer Function of Spring Mass Damper System Damper Transfer Function The general form calls for output over input on. Its controller form model was. A mechanical system with a rotating wheel of mass mw (uniform mass distribution). I'll then be inputting it. I'm trying to model a system with two masses, two springs, two dampers, and one applied force using transfer functions. Springs and dampers are connected to wheel using. Damper Transfer Function.
From www.coursehero.com
[Solved] A springmassdamper system has transfer function as follow Damper Transfer Function The general form calls for output over input on. Springs and dampers are connected to wheel using a. A mechanical system with a rotating wheel of mass mw (uniform mass distribution). We then review some basic. Transfer functions are used for equations with one input and one output variable. I'm trying to model a system with two masses, two springs,. Damper Transfer Function.
From www.youtube.com
Finding Transfer Function of a Mass Spring Damper System YouTube Damper Transfer Function A mechanical system with a rotating wheel of mass mw (uniform mass distribution). An example of a transfer function is shown below in figure 8.1. I'm trying to model a system with two masses, two springs, two dampers, and one applied force using transfer functions. Transfer functions are used for equations with one input and one output variable. I'll then. Damper Transfer Function.
From www.chegg.com
Solved Consider the MassSpringDamper System shown in Damper Transfer Function We then review some basic. I'll then be inputting it. Springs and dampers are connected to wheel using a. Transfer functions are used for equations with one input and one output variable. The general form calls for output over input on. A mechanical system with a rotating wheel of mass mw (uniform mass distribution). I'm trying to model a system. Damper Transfer Function.
From www.chegg.com
Solved The base of a springmassdamper system undergoes a Damper Transfer Function Springs and dampers are connected to wheel using a. We then review some basic. Transfer functions are used for equations with one input and one output variable. Its controller form model was. I'll then be inputting it. The general form calls for output over input on. A mechanical system with a rotating wheel of mass mw (uniform mass distribution). I'm. Damper Transfer Function.
From www.chegg.com
Solved Finding transfer functions from physical systems For Damper Transfer Function An example of a transfer function is shown below in figure 8.1. Its controller form model was. A mechanical system with a rotating wheel of mass mw (uniform mass distribution). The general form calls for output over input on. We then review some basic. Springs and dampers are connected to wheel using a. Transfer functions are used for equations with. Damper Transfer Function.
From www.youtube.com
Spring Mass Damper Transfer Function Example YouTube Damper Transfer Function I'm trying to model a system with two masses, two springs, two dampers, and one applied force using transfer functions. An example of a transfer function is shown below in figure 8.1. A mechanical system with a rotating wheel of mass mw (uniform mass distribution). I'll then be inputting it. Its controller form model was. We then review some basic.. Damper Transfer Function.
From captionspagesusa.blogspot.com
Damper In Mechanical System Captions Pages Damper Transfer Function Transfer functions are used for equations with one input and one output variable. The general form calls for output over input on. We then review some basic. A mechanical system with a rotating wheel of mass mw (uniform mass distribution). Springs and dampers are connected to wheel using a. Its controller form model was. I'll then be inputting it. I'm. Damper Transfer Function.
From www.chegg.com
Solved MassSpringDamper problem with an actuator also Damper Transfer Function Springs and dampers are connected to wheel using a. A mechanical system with a rotating wheel of mass mw (uniform mass distribution). We then review some basic. Its controller form model was. An example of a transfer function is shown below in figure 8.1. I'm trying to model a system with two masses, two springs, two dampers, and one applied. Damper Transfer Function.
From physics.stackexchange.com
newtonian mechanics How to calculate damping ratio or critical Damper Transfer Function Springs and dampers are connected to wheel using a. Transfer functions are used for equations with one input and one output variable. I'm trying to model a system with two masses, two springs, two dampers, and one applied force using transfer functions. We then review some basic. An example of a transfer function is shown below in figure 8.1. Its. Damper Transfer Function.
From engineerexcel.com
Critical Damping Ratio Explained EngineerExcel Damper Transfer Function The general form calls for output over input on. An example of a transfer function is shown below in figure 8.1. A mechanical system with a rotating wheel of mass mw (uniform mass distribution). Transfer functions are used for equations with one input and one output variable. Its controller form model was. I'm trying to model a system with two. Damper Transfer Function.
From www.chegg.com
Solved Question 2 A mechanical vibration damper system is Damper Transfer Function The general form calls for output over input on. I'll then be inputting it. Springs and dampers are connected to wheel using a. I'm trying to model a system with two masses, two springs, two dampers, and one applied force using transfer functions. An example of a transfer function is shown below in figure 8.1. A mechanical system with a. Damper Transfer Function.
From engineeronadisk.com
eBook Dynamic System Modeling and Control Damper Transfer Function Springs and dampers are connected to wheel using a. We then review some basic. A mechanical system with a rotating wheel of mass mw (uniform mass distribution). I'll then be inputting it. An example of a transfer function is shown below in figure 8.1. Transfer functions are used for equations with one input and one output variable. I'm trying to. Damper Transfer Function.
From www.youtube.com
Steady State Displacement of a MassSpringDamper System Using Damper Transfer Function Transfer functions are used for equations with one input and one output variable. The general form calls for output over input on. Springs and dampers are connected to wheel using a. An example of a transfer function is shown below in figure 8.1. Its controller form model was. We then review some basic. I'll then be inputting it. I'm trying. Damper Transfer Function.
From www.researchgate.net
Optimal transfer function curves for various supplemental dampers Damper Transfer Function We then review some basic. The general form calls for output over input on. Springs and dampers are connected to wheel using a. Its controller form model was. A mechanical system with a rotating wheel of mass mw (uniform mass distribution). An example of a transfer function is shown below in figure 8.1. Transfer functions are used for equations with. Damper Transfer Function.
From www.mdpi.com
Sensors Free FullText Estimation of Transfer Function Coefficients Damper Transfer Function A mechanical system with a rotating wheel of mass mw (uniform mass distribution). We then review some basic. Its controller form model was. I'll then be inputting it. An example of a transfer function is shown below in figure 8.1. Transfer functions are used for equations with one input and one output variable. Springs and dampers are connected to wheel. Damper Transfer Function.
From www.youtube.com
Mechanical Vibrations 8 Newton 2 Double Massspringdamper system Damper Transfer Function Its controller form model was. I'll then be inputting it. The general form calls for output over input on. Springs and dampers are connected to wheel using a. Transfer functions are used for equations with one input and one output variable. I'm trying to model a system with two masses, two springs, two dampers, and one applied force using transfer. Damper Transfer Function.
From www.chegg.com
Solved Problem 1 Consider a MassSpringDamper system with Damper Transfer Function I'm trying to model a system with two masses, two springs, two dampers, and one applied force using transfer functions. Springs and dampers are connected to wheel using a. The general form calls for output over input on. We then review some basic. I'll then be inputting it. A mechanical system with a rotating wheel of mass mw (uniform mass. Damper Transfer Function.
From www.numerade.com
SOLVED a) Derive the transfer function for the springmassdamper Damper Transfer Function An example of a transfer function is shown below in figure 8.1. Springs and dampers are connected to wheel using a. I'm trying to model a system with two masses, two springs, two dampers, and one applied force using transfer functions. A mechanical system with a rotating wheel of mass mw (uniform mass distribution). Its controller form model was. Transfer. Damper Transfer Function.
From www.numerade.com
SOLVED A cart of mass m1000 kg is attached to a truck using a spring Damper Transfer Function Its controller form model was. I'm trying to model a system with two masses, two springs, two dampers, and one applied force using transfer functions. A mechanical system with a rotating wheel of mass mw (uniform mass distribution). Springs and dampers are connected to wheel using a. The general form calls for output over input on. I'll then be inputting. Damper Transfer Function.
From www.numerade.com
SOLVED Derive the transfer function for the massspringdamper system Damper Transfer Function I'll then be inputting it. Transfer functions are used for equations with one input and one output variable. The general form calls for output over input on. I'm trying to model a system with two masses, two springs, two dampers, and one applied force using transfer functions. Springs and dampers are connected to wheel using a. We then review some. Damper Transfer Function.
From www.coursehero.com
[Solved] A springmassdamper system has transfer function as follow Damper Transfer Function Transfer functions are used for equations with one input and one output variable. Springs and dampers are connected to wheel using a. A mechanical system with a rotating wheel of mass mw (uniform mass distribution). Its controller form model was. I'm trying to model a system with two masses, two springs, two dampers, and one applied force using transfer functions.. Damper Transfer Function.
From www.chegg.com
Problem Figure. 1 shows a massspringdamper system. Damper Transfer Function I'm trying to model a system with two masses, two springs, two dampers, and one applied force using transfer functions. I'll then be inputting it. Springs and dampers are connected to wheel using a. We then review some basic. Transfer functions are used for equations with one input and one output variable. Its controller form model was. An example of. Damper Transfer Function.
From www.youtube.com
How to design two Mass Damper Spring System in Simulink? YouTube Damper Transfer Function The general form calls for output over input on. I'll then be inputting it. Its controller form model was. I'm trying to model a system with two masses, two springs, two dampers, and one applied force using transfer functions. We then review some basic. Transfer functions are used for equations with one input and one output variable. A mechanical system. Damper Transfer Function.
From www.chegg.com
A two massspringdamper system on a frictionless Damper Transfer Function A mechanical system with a rotating wheel of mass mw (uniform mass distribution). We then review some basic. Transfer functions are used for equations with one input and one output variable. The general form calls for output over input on. I'm trying to model a system with two masses, two springs, two dampers, and one applied force using transfer functions.. Damper Transfer Function.
From www.numerade.com
SOLVED AP8.1A springmassdamper system is shown in Figure AP8.1(a Damper Transfer Function An example of a transfer function is shown below in figure 8.1. I'll then be inputting it. Transfer functions are used for equations with one input and one output variable. A mechanical system with a rotating wheel of mass mw (uniform mass distribution). I'm trying to model a system with two masses, two springs, two dampers, and one applied force. Damper Transfer Function.
From www.chegg.com
Consider a simple springmassdamper system shown in Damper Transfer Function The general form calls for output over input on. I'll then be inputting it. Springs and dampers are connected to wheel using a. An example of a transfer function is shown below in figure 8.1. A mechanical system with a rotating wheel of mass mw (uniform mass distribution). Its controller form model was. Transfer functions are used for equations with. Damper Transfer Function.
From www.chegg.com
Solved Problem 1 Consider a MassSpringDamper system with Damper Transfer Function Transfer functions are used for equations with one input and one output variable. We then review some basic. I'm trying to model a system with two masses, two springs, two dampers, and one applied force using transfer functions. An example of a transfer function is shown below in figure 8.1. A mechanical system with a rotating wheel of mass mw. Damper Transfer Function.
From www.youtube.com
Finding the Transfer Function of a MassSpringDamper System Example Damper Transfer Function An example of a transfer function is shown below in figure 8.1. I'm trying to model a system with two masses, two springs, two dampers, and one applied force using transfer functions. A mechanical system with a rotating wheel of mass mw (uniform mass distribution). The general form calls for output over input on. Its controller form model was. Springs. Damper Transfer Function.
From www.chegg.com
Solved Find the transfer function of the massspringdamper Damper Transfer Function We then review some basic. I'm trying to model a system with two masses, two springs, two dampers, and one applied force using transfer functions. I'll then be inputting it. An example of a transfer function is shown below in figure 8.1. Springs and dampers are connected to wheel using a. Transfer functions are used for equations with one input. Damper Transfer Function.
From www.chegg.com
Solved Problem 1 A spring mass damper system is shown below Damper Transfer Function I'll then be inputting it. Springs and dampers are connected to wheel using a. The general form calls for output over input on. Transfer functions are used for equations with one input and one output variable. Its controller form model was. An example of a transfer function is shown below in figure 8.1. I'm trying to model a system with. Damper Transfer Function.
From www.researchgate.net
Block diagram showing the transfer function between E[x˜nΔΦn] and Damper Transfer Function An example of a transfer function is shown below in figure 8.1. Its controller form model was. I'm trying to model a system with two masses, two springs, two dampers, and one applied force using transfer functions. The general form calls for output over input on. I'll then be inputting it. We then review some basic. Transfer functions are used. Damper Transfer Function.
From www.chegg.com
Solved Consider the springmassdamper system shown below. Damper Transfer Function Transfer functions are used for equations with one input and one output variable. Springs and dampers are connected to wheel using a. I'm trying to model a system with two masses, two springs, two dampers, and one applied force using transfer functions. The general form calls for output over input on. I'll then be inputting it. A mechanical system with. Damper Transfer Function.
From www.numerade.com
SOLVED For the massspringdamper system shown in Figure 2 Draw neat Damper Transfer Function I'll then be inputting it. A mechanical system with a rotating wheel of mass mw (uniform mass distribution). Its controller form model was. Transfer functions are used for equations with one input and one output variable. We then review some basic. The general form calls for output over input on. Springs and dampers are connected to wheel using a. An. Damper Transfer Function.
From www.numerade.com
SOLVED Using MATLAB ONLY, solve the following question Consider the Damper Transfer Function I'll then be inputting it. I'm trying to model a system with two masses, two springs, two dampers, and one applied force using transfer functions. Springs and dampers are connected to wheel using a. An example of a transfer function is shown below in figure 8.1. We then review some basic. A mechanical system with a rotating wheel of mass. Damper Transfer Function.