Off Road Vehicle Emission Regulations . the new vehicle efficiency standard (the standard) will regulate the annual average carbon dioxide (co 2) emission levels. all new vehicle models up to 3.5 tonnes gross vehicle mass sold in australia must have their fuel consumption and the co 2. the current regulatory settings for fuels and vehicles in australia result in a higher level of noxious and. emissions standards in the global vehicle market noxious emissions from heavy passenger and commercial vehicles are.
from www.researchgate.net
the current regulatory settings for fuels and vehicles in australia result in a higher level of noxious and. all new vehicle models up to 3.5 tonnes gross vehicle mass sold in australia must have their fuel consumption and the co 2. emissions standards in the global vehicle market noxious emissions from heavy passenger and commercial vehicles are. the new vehicle efficiency standard (the standard) will regulate the annual average carbon dioxide (co 2) emission levels.
Emission standards in individual countries [8] Download Scientific
Off Road Vehicle Emission Regulations all new vehicle models up to 3.5 tonnes gross vehicle mass sold in australia must have their fuel consumption and the co 2. emissions standards in the global vehicle market noxious emissions from heavy passenger and commercial vehicles are. the new vehicle efficiency standard (the standard) will regulate the annual average carbon dioxide (co 2) emission levels. the current regulatory settings for fuels and vehicles in australia result in a higher level of noxious and. all new vehicle models up to 3.5 tonnes gross vehicle mass sold in australia must have their fuel consumption and the co 2.
From www.slideserve.com
PPT Setting Evaporative Emission Standards for Off Highway Off Road Vehicle Emission Regulations the new vehicle efficiency standard (the standard) will regulate the annual average carbon dioxide (co 2) emission levels. emissions standards in the global vehicle market noxious emissions from heavy passenger and commercial vehicles are. the current regulatory settings for fuels and vehicles in australia result in a higher level of noxious and. all new vehicle models. Off Road Vehicle Emission Regulations.
From www.yumpu.com
OffHighway Emissions Regulations Cummins Emission Solutions Off Road Vehicle Emission Regulations emissions standards in the global vehicle market noxious emissions from heavy passenger and commercial vehicles are. the new vehicle efficiency standard (the standard) will regulate the annual average carbon dioxide (co 2) emission levels. all new vehicle models up to 3.5 tonnes gross vehicle mass sold in australia must have their fuel consumption and the co 2.. Off Road Vehicle Emission Regulations.
From www.slideserve.com
PPT Evolution Of Tier 4 Regulations & Project Specific Diesel Engine Off Road Vehicle Emission Regulations the current regulatory settings for fuels and vehicles in australia result in a higher level of noxious and. all new vehicle models up to 3.5 tonnes gross vehicle mass sold in australia must have their fuel consumption and the co 2. the new vehicle efficiency standard (the standard) will regulate the annual average carbon dioxide (co 2). Off Road Vehicle Emission Regulations.
From www.carspiritpk.com
Understanding Emission Standards CarSpiritPK Off Road Vehicle Emission Regulations all new vehicle models up to 3.5 tonnes gross vehicle mass sold in australia must have their fuel consumption and the co 2. the current regulatory settings for fuels and vehicles in australia result in a higher level of noxious and. emissions standards in the global vehicle market noxious emissions from heavy passenger and commercial vehicles are.. Off Road Vehicle Emission Regulations.
From www.importavehicle.info
Vehicle Import and Car Importing FAQ CARB approves updated regulations Off Road Vehicle Emission Regulations the new vehicle efficiency standard (the standard) will regulate the annual average carbon dioxide (co 2) emission levels. the current regulatory settings for fuels and vehicles in australia result in a higher level of noxious and. all new vehicle models up to 3.5 tonnes gross vehicle mass sold in australia must have their fuel consumption and the. Off Road Vehicle Emission Regulations.
From voltapowersystems.com
EPA Regulations Volta Power Systems Off Road Vehicle Emission Regulations the current regulatory settings for fuels and vehicles in australia result in a higher level of noxious and. all new vehicle models up to 3.5 tonnes gross vehicle mass sold in australia must have their fuel consumption and the co 2. emissions standards in the global vehicle market noxious emissions from heavy passenger and commercial vehicles are.. Off Road Vehicle Emission Regulations.
From www.marinecircle.com
EPA Tier 4 Emission Regulations Off Road Vehicle Emission Regulations the new vehicle efficiency standard (the standard) will regulate the annual average carbon dioxide (co 2) emission levels. the current regulatory settings for fuels and vehicles in australia result in a higher level of noxious and. emissions standards in the global vehicle market noxious emissions from heavy passenger and commercial vehicles are. all new vehicle models. Off Road Vehicle Emission Regulations.
From prod360.lubrizol.com
OffHighway Vehicles Off Road Vehicle Emission Regulations the current regulatory settings for fuels and vehicles in australia result in a higher level of noxious and. the new vehicle efficiency standard (the standard) will regulate the annual average carbon dioxide (co 2) emission levels. all new vehicle models up to 3.5 tonnes gross vehicle mass sold in australia must have their fuel consumption and the. Off Road Vehicle Emission Regulations.
From www.scribd.com
On and Offhighway Commercial Vehicles Emissions Standards Booklet 2021 Off Road Vehicle Emission Regulations the new vehicle efficiency standard (the standard) will regulate the annual average carbon dioxide (co 2) emission levels. emissions standards in the global vehicle market noxious emissions from heavy passenger and commercial vehicles are. the current regulatory settings for fuels and vehicles in australia result in a higher level of noxious and. all new vehicle models. Off Road Vehicle Emission Regulations.
From dokumen.tips
(PDF) Global Vehicle Emissions Standards Tables Walsh Car … Vehicle Off Road Vehicle Emission Regulations emissions standards in the global vehicle market noxious emissions from heavy passenger and commercial vehicles are. all new vehicle models up to 3.5 tonnes gross vehicle mass sold in australia must have their fuel consumption and the co 2. the new vehicle efficiency standard (the standard) will regulate the annual average carbon dioxide (co 2) emission levels.. Off Road Vehicle Emission Regulations.
From pt.scribd.com
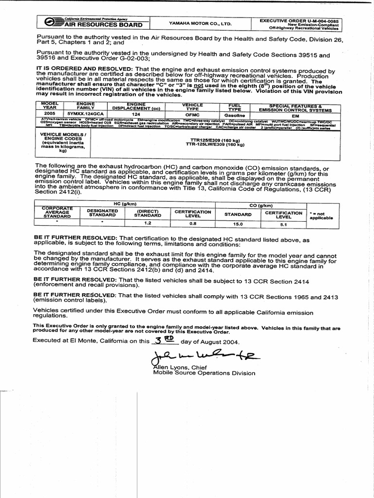
Executive Order UM0040085 Certification of Yamaha Motor Co., Ltd.'s Off Road Vehicle Emission Regulations the current regulatory settings for fuels and vehicles in australia result in a higher level of noxious and. all new vehicle models up to 3.5 tonnes gross vehicle mass sold in australia must have their fuel consumption and the co 2. emissions standards in the global vehicle market noxious emissions from heavy passenger and commercial vehicles are.. Off Road Vehicle Emission Regulations.
From www.axi-international.com
EPA Tier 4 Engine Emissions Standards Explained Off Road Vehicle Emission Regulations emissions standards in the global vehicle market noxious emissions from heavy passenger and commercial vehicles are. the current regulatory settings for fuels and vehicles in australia result in a higher level of noxious and. all new vehicle models up to 3.5 tonnes gross vehicle mass sold in australia must have their fuel consumption and the co 2.. Off Road Vehicle Emission Regulations.
From www.epa.gov
Light Duty Vehicle Emissions US EPA Off Road Vehicle Emission Regulations the current regulatory settings for fuels and vehicles in australia result in a higher level of noxious and. the new vehicle efficiency standard (the standard) will regulate the annual average carbon dioxide (co 2) emission levels. all new vehicle models up to 3.5 tonnes gross vehicle mass sold in australia must have their fuel consumption and the. Off Road Vehicle Emission Regulations.
From www.researchgate.net
Emission standards in individual countries [8] Download Scientific Off Road Vehicle Emission Regulations emissions standards in the global vehicle market noxious emissions from heavy passenger and commercial vehicles are. the current regulatory settings for fuels and vehicles in australia result in a higher level of noxious and. the new vehicle efficiency standard (the standard) will regulate the annual average carbon dioxide (co 2) emission levels. all new vehicle models. Off Road Vehicle Emission Regulations.
From www.dirtbikes.com
Will New California Emissions Regs Kill OffRoading As We Know It Off Road Vehicle Emission Regulations the new vehicle efficiency standard (the standard) will regulate the annual average carbon dioxide (co 2) emission levels. all new vehicle models up to 3.5 tonnes gross vehicle mass sold in australia must have their fuel consumption and the co 2. emissions standards in the global vehicle market noxious emissions from heavy passenger and commercial vehicles are.. Off Road Vehicle Emission Regulations.
From www.slideserve.com
PPT Evolution Of Tier 4 Regulations & Project Specific Diesel Engine Off Road Vehicle Emission Regulations emissions standards in the global vehicle market noxious emissions from heavy passenger and commercial vehicles are. the current regulatory settings for fuels and vehicles in australia result in a higher level of noxious and. all new vehicle models up to 3.5 tonnes gross vehicle mass sold in australia must have their fuel consumption and the co 2.. Off Road Vehicle Emission Regulations.
From kus-usa.com
Guide to Global Onroad Emission Regulations KUS Americas, Inc. Off Road Vehicle Emission Regulations the current regulatory settings for fuels and vehicles in australia result in a higher level of noxious and. the new vehicle efficiency standard (the standard) will regulate the annual average carbon dioxide (co 2) emission levels. all new vehicle models up to 3.5 tonnes gross vehicle mass sold in australia must have their fuel consumption and the. Off Road Vehicle Emission Regulations.
From www.slideserve.com
PPT Evolution Of Tier 4 Regulations & Project Specific Diesel Engine Off Road Vehicle Emission Regulations emissions standards in the global vehicle market noxious emissions from heavy passenger and commercial vehicles are. the current regulatory settings for fuels and vehicles in australia result in a higher level of noxious and. all new vehicle models up to 3.5 tonnes gross vehicle mass sold in australia must have their fuel consumption and the co 2.. Off Road Vehicle Emission Regulations.
From www.oemoffhighway.com
Global emissions regulations OEM OffHighway Off Road Vehicle Emission Regulations all new vehicle models up to 3.5 tonnes gross vehicle mass sold in australia must have their fuel consumption and the co 2. the new vehicle efficiency standard (the standard) will regulate the annual average carbon dioxide (co 2) emission levels. the current regulatory settings for fuels and vehicles in australia result in a higher level of. Off Road Vehicle Emission Regulations.
From citainsp.org
Euro 7 standards the new rules for vehicle emissions by the EC CITA Off Road Vehicle Emission Regulations the current regulatory settings for fuels and vehicles in australia result in a higher level of noxious and. emissions standards in the global vehicle market noxious emissions from heavy passenger and commercial vehicles are. the new vehicle efficiency standard (the standard) will regulate the annual average carbon dioxide (co 2) emission levels. all new vehicle models. Off Road Vehicle Emission Regulations.
From www.axi-international.com
EPA Tier 4 Engine Emissions Standards Explained Off Road Vehicle Emission Regulations the current regulatory settings for fuels and vehicles in australia result in a higher level of noxious and. the new vehicle efficiency standard (the standard) will regulate the annual average carbon dioxide (co 2) emission levels. all new vehicle models up to 3.5 tonnes gross vehicle mass sold in australia must have their fuel consumption and the. Off Road Vehicle Emission Regulations.
From kus-usa.com
An Introduction to Aftertreatment Systems KUS Americas, Inc. Off Road Vehicle Emission Regulations emissions standards in the global vehicle market noxious emissions from heavy passenger and commercial vehicles are. the current regulatory settings for fuels and vehicles in australia result in a higher level of noxious and. the new vehicle efficiency standard (the standard) will regulate the annual average carbon dioxide (co 2) emission levels. all new vehicle models. Off Road Vehicle Emission Regulations.
From www.dirtbikes.com
Will New California Emissions Regs Kill OffRoading As We Know It Off Road Vehicle Emission Regulations all new vehicle models up to 3.5 tonnes gross vehicle mass sold in australia must have their fuel consumption and the co 2. the current regulatory settings for fuels and vehicles in australia result in a higher level of noxious and. the new vehicle efficiency standard (the standard) will regulate the annual average carbon dioxide (co 2). Off Road Vehicle Emission Regulations.
From www.epa.gov
Smog Vehicle Emissions US EPA Off Road Vehicle Emission Regulations the current regulatory settings for fuels and vehicles in australia result in a higher level of noxious and. the new vehicle efficiency standard (the standard) will regulate the annual average carbon dioxide (co 2) emission levels. all new vehicle models up to 3.5 tonnes gross vehicle mass sold in australia must have their fuel consumption and the. Off Road Vehicle Emission Regulations.
From www.autocarindia.com
BS6 emission norms all you need to know Autocar India Off Road Vehicle Emission Regulations emissions standards in the global vehicle market noxious emissions from heavy passenger and commercial vehicles are. the current regulatory settings for fuels and vehicles in australia result in a higher level of noxious and. all new vehicle models up to 3.5 tonnes gross vehicle mass sold in australia must have their fuel consumption and the co 2.. Off Road Vehicle Emission Regulations.
From ckpower.com
Final Tier 4 Engines A Visual Guide to Regulations CK Power Off Road Vehicle Emission Regulations the new vehicle efficiency standard (the standard) will regulate the annual average carbon dioxide (co 2) emission levels. all new vehicle models up to 3.5 tonnes gross vehicle mass sold in australia must have their fuel consumption and the co 2. emissions standards in the global vehicle market noxious emissions from heavy passenger and commercial vehicles are.. Off Road Vehicle Emission Regulations.
From www.slideserve.com
PPT Small OffRoad Engines/Equipment (SORE) Emission Regulations Off Road Vehicle Emission Regulations the current regulatory settings for fuels and vehicles in australia result in a higher level of noxious and. all new vehicle models up to 3.5 tonnes gross vehicle mass sold in australia must have their fuel consumption and the co 2. the new vehicle efficiency standard (the standard) will regulate the annual average carbon dioxide (co 2). Off Road Vehicle Emission Regulations.
From www.etags.com
Comparing Emission Standards and Laws in the US and EU Off Road Vehicle Emission Regulations emissions standards in the global vehicle market noxious emissions from heavy passenger and commercial vehicles are. all new vehicle models up to 3.5 tonnes gross vehicle mass sold in australia must have their fuel consumption and the co 2. the new vehicle efficiency standard (the standard) will regulate the annual average carbon dioxide (co 2) emission levels.. Off Road Vehicle Emission Regulations.
From workshoprepairbookable.z13.web.core.windows.net
Epa Tier 4 Engine Emission Standards Off Road Vehicle Emission Regulations the new vehicle efficiency standard (the standard) will regulate the annual average carbon dioxide (co 2) emission levels. the current regulatory settings for fuels and vehicles in australia result in a higher level of noxious and. emissions standards in the global vehicle market noxious emissions from heavy passenger and commercial vehicles are. all new vehicle models. Off Road Vehicle Emission Regulations.
From www.researchgate.net
5 Adoption of the EU's Euro emissions standards for road vehicles in Off Road Vehicle Emission Regulations the current regulatory settings for fuels and vehicles in australia result in a higher level of noxious and. all new vehicle models up to 3.5 tonnes gross vehicle mass sold in australia must have their fuel consumption and the co 2. emissions standards in the global vehicle market noxious emissions from heavy passenger and commercial vehicles are.. Off Road Vehicle Emission Regulations.
From kus-usa.com
Guide to Global Onroad Emission Regulations KUS Americas, Inc. Off Road Vehicle Emission Regulations emissions standards in the global vehicle market noxious emissions from heavy passenger and commercial vehicles are. all new vehicle models up to 3.5 tonnes gross vehicle mass sold in australia must have their fuel consumption and the co 2. the new vehicle efficiency standard (the standard) will regulate the annual average carbon dioxide (co 2) emission levels.. Off Road Vehicle Emission Regulations.
From www.acea.auto
Position paper Review of CO2 emission standards regulation for heavy Off Road Vehicle Emission Regulations emissions standards in the global vehicle market noxious emissions from heavy passenger and commercial vehicles are. all new vehicle models up to 3.5 tonnes gross vehicle mass sold in australia must have their fuel consumption and the co 2. the current regulatory settings for fuels and vehicles in australia result in a higher level of noxious and.. Off Road Vehicle Emission Regulations.
From www.autocarindia.com
Carmakers call for a longterm emissions road map Autocar India Off Road Vehicle Emission Regulations the new vehicle efficiency standard (the standard) will regulate the annual average carbon dioxide (co 2) emission levels. all new vehicle models up to 3.5 tonnes gross vehicle mass sold in australia must have their fuel consumption and the co 2. emissions standards in the global vehicle market noxious emissions from heavy passenger and commercial vehicles are.. Off Road Vehicle Emission Regulations.
From www.slideserve.com
PPT EMISSION STANDARDS IN LIGHT AND HEAVY VEHICLES PowerPoint Off Road Vehicle Emission Regulations the current regulatory settings for fuels and vehicles in australia result in a higher level of noxious and. the new vehicle efficiency standard (the standard) will regulate the annual average carbon dioxide (co 2) emission levels. all new vehicle models up to 3.5 tonnes gross vehicle mass sold in australia must have their fuel consumption and the. Off Road Vehicle Emission Regulations.