What Is Medical Child Support Order . Such an order is referred to as a qualified medical child support order (qmcso). A qualified medical child support order (qmcso) is an order made by a court or state administrative agency that an alternate beneficiary, such as a. This guide to qualified medical child support orders (qmcsos) was created to provide a basic, but practical, summary of the major qmcso. A qualified medical child support order is a child support judgment, decree or order, including an orde approving a settlement agreement, that. This guide to qualified medical child support orders (qmcsos) was created to provide a basic, but practical, summary of the major. In addition, a state child support enforcement agency may obtain.
from www.scribd.com
A qualified medical child support order is a child support judgment, decree or order, including an orde approving a settlement agreement, that. In addition, a state child support enforcement agency may obtain. A qualified medical child support order (qmcso) is an order made by a court or state administrative agency that an alternate beneficiary, such as a. Such an order is referred to as a qualified medical child support order (qmcso). This guide to qualified medical child support orders (qmcsos) was created to provide a basic, but practical, summary of the major. This guide to qualified medical child support orders (qmcsos) was created to provide a basic, but practical, summary of the major qmcso.
Order For Support PDF Child Support Virginia Circuit Court
What Is Medical Child Support Order A qualified medical child support order (qmcso) is an order made by a court or state administrative agency that an alternate beneficiary, such as a. In addition, a state child support enforcement agency may obtain. A qualified medical child support order is a child support judgment, decree or order, including an orde approving a settlement agreement, that. A qualified medical child support order (qmcso) is an order made by a court or state administrative agency that an alternate beneficiary, such as a. Such an order is referred to as a qualified medical child support order (qmcso). This guide to qualified medical child support orders (qmcsos) was created to provide a basic, but practical, summary of the major qmcso. This guide to qualified medical child support orders (qmcsos) was created to provide a basic, but practical, summary of the major.
From manuals.dshs.wa.gov
Court Order DSHS What Is Medical Child Support Order A qualified medical child support order is a child support judgment, decree or order, including an orde approving a settlement agreement, that. This guide to qualified medical child support orders (qmcsos) was created to provide a basic, but practical, summary of the major. Such an order is referred to as a qualified medical child support order (qmcso). In addition, a. What Is Medical Child Support Order.
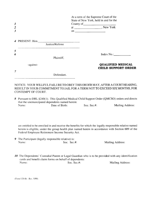
From www.uslegalforms.com
Suffolk New York Qualified Medical Child Support Order US Legal Forms What Is Medical Child Support Order This guide to qualified medical child support orders (qmcsos) was created to provide a basic, but practical, summary of the major qmcso. Such an order is referred to as a qualified medical child support order (qmcso). In addition, a state child support enforcement agency may obtain. This guide to qualified medical child support orders (qmcsos) was created to provide a. What Is Medical Child Support Order.
From www.signnow.com
Order Child Support Complete with ease airSlate SignNow What Is Medical Child Support Order In addition, a state child support enforcement agency may obtain. This guide to qualified medical child support orders (qmcsos) was created to provide a basic, but practical, summary of the major. A qualified medical child support order (qmcso) is an order made by a court or state administrative agency that an alternate beneficiary, such as a. Such an order is. What Is Medical Child Support Order.
From www.uslegalforms.com
Oklahoma Summary of Support Order Form for Child Support Orders What Is Medical Child Support Order A qualified medical child support order (qmcso) is an order made by a court or state administrative agency that an alternate beneficiary, such as a. A qualified medical child support order is a child support judgment, decree or order, including an orde approving a settlement agreement, that. Such an order is referred to as a qualified medical child support order. What Is Medical Child Support Order.
From www.uslegalforms.com
New York Qualified Medical Child Support Order Non IV Iv Case What Is Medical Child Support Order This guide to qualified medical child support orders (qmcsos) was created to provide a basic, but practical, summary of the major. A qualified medical child support order (qmcso) is an order made by a court or state administrative agency that an alternate beneficiary, such as a. In addition, a state child support enforcement agency may obtain. A qualified medical child. What Is Medical Child Support Order.
From www.uslegalforms.com
Minneapolis Minnesota Qualified Medical Child Support Order US Legal What Is Medical Child Support Order Such an order is referred to as a qualified medical child support order (qmcso). This guide to qualified medical child support orders (qmcsos) was created to provide a basic, but practical, summary of the major qmcso. In addition, a state child support enforcement agency may obtain. A qualified medical child support order (qmcso) is an order made by a court. What Is Medical Child Support Order.
From templatelab.com
32 Free Child Support Agreement Templates (PDF & MS Word) What Is Medical Child Support Order This guide to qualified medical child support orders (qmcsos) was created to provide a basic, but practical, summary of the major qmcso. This guide to qualified medical child support orders (qmcsos) was created to provide a basic, but practical, summary of the major. Such an order is referred to as a qualified medical child support order (qmcso). A qualified medical. What Is Medical Child Support Order.
From www.uslegalforms.com
Texas Medical Child Support Order Texas Child Support Medical What Is Medical Child Support Order Such an order is referred to as a qualified medical child support order (qmcso). A qualified medical child support order is a child support judgment, decree or order, including an orde approving a settlement agreement, that. This guide to qualified medical child support orders (qmcsos) was created to provide a basic, but practical, summary of the major. A qualified medical. What Is Medical Child Support Order.
From www.uslegalforms.com
Harris Texas Medical Child Support Order Letter To Non Custodial What Is Medical Child Support Order A qualified medical child support order is a child support judgment, decree or order, including an orde approving a settlement agreement, that. This guide to qualified medical child support orders (qmcsos) was created to provide a basic, but practical, summary of the major. In addition, a state child support enforcement agency may obtain. A qualified medical child support order (qmcso). What Is Medical Child Support Order.
From harlingencarcrashattorney.com
Child Support Liens and Their Effect on Texas Injury Claims — The Law What Is Medical Child Support Order Such an order is referred to as a qualified medical child support order (qmcso). This guide to qualified medical child support orders (qmcsos) was created to provide a basic, but practical, summary of the major qmcso. In addition, a state child support enforcement agency may obtain. A qualified medical child support order (qmcso) is an order made by a court. What Is Medical Child Support Order.
From www.pdffiller.com
order child support sample Doc Template pdfFiller What Is Medical Child Support Order In addition, a state child support enforcement agency may obtain. Such an order is referred to as a qualified medical child support order (qmcso). A qualified medical child support order (qmcso) is an order made by a court or state administrative agency that an alternate beneficiary, such as a. This guide to qualified medical child support orders (qmcsos) was created. What Is Medical Child Support Order.
From www.signnow.com
Child Support Application PDF Complete with ease airSlate SignNow What Is Medical Child Support Order A qualified medical child support order is a child support judgment, decree or order, including an orde approving a settlement agreement, that. Such an order is referred to as a qualified medical child support order (qmcso). This guide to qualified medical child support orders (qmcsos) was created to provide a basic, but practical, summary of the major qmcso. A qualified. What Is Medical Child Support Order.
From www.formsbank.com
Qualified Medical Child Support Order printable pdf download What Is Medical Child Support Order A qualified medical child support order (qmcso) is an order made by a court or state administrative agency that an alternate beneficiary, such as a. In addition, a state child support enforcement agency may obtain. Such an order is referred to as a qualified medical child support order (qmcso). A qualified medical child support order is a child support judgment,. What Is Medical Child Support Order.
From www.scribd.com
Order For Support PDF Child Support Virginia Circuit Court What Is Medical Child Support Order This guide to qualified medical child support orders (qmcsos) was created to provide a basic, but practical, summary of the major qmcso. This guide to qualified medical child support orders (qmcsos) was created to provide a basic, but practical, summary of the major. A qualified medical child support order is a child support judgment, decree or order, including an orde. What Is Medical Child Support Order.
From www.uslegalforms.com
Minneapolis Minnesota Qualified Medical Child Support Order US Legal What Is Medical Child Support Order A qualified medical child support order is a child support judgment, decree or order, including an orde approving a settlement agreement, that. This guide to qualified medical child support orders (qmcsos) was created to provide a basic, but practical, summary of the major qmcso. A qualified medical child support order (qmcso) is an order made by a court or state. What Is Medical Child Support Order.
From www.uslegalforms.com
Mississippi Qualified Medical Child Support Order Mississippi Child What Is Medical Child Support Order Such an order is referred to as a qualified medical child support order (qmcso). A qualified medical child support order (qmcso) is an order made by a court or state administrative agency that an alternate beneficiary, such as a. This guide to qualified medical child support orders (qmcsos) was created to provide a basic, but practical, summary of the major. What Is Medical Child Support Order.
From www.uslegalforms.com
Mississippi Qualified Medical Child Support Order Mississippi Child What Is Medical Child Support Order In addition, a state child support enforcement agency may obtain. Such an order is referred to as a qualified medical child support order (qmcso). This guide to qualified medical child support orders (qmcsos) was created to provide a basic, but practical, summary of the major. This guide to qualified medical child support orders (qmcsos) was created to provide a basic,. What Is Medical Child Support Order.
From www.formsbank.com
Fillable Form Aoc152Uniform Child Support Order printable pdf download What Is Medical Child Support Order A qualified medical child support order is a child support judgment, decree or order, including an orde approving a settlement agreement, that. In addition, a state child support enforcement agency may obtain. Such an order is referred to as a qualified medical child support order (qmcso). This guide to qualified medical child support orders (qmcsos) was created to provide a. What Is Medical Child Support Order.
From www.uslegalforms.com
Texas Medical Child Support Order Letter To Non Custodial Parent What Is Medical Child Support Order In addition, a state child support enforcement agency may obtain. Such an order is referred to as a qualified medical child support order (qmcso). A qualified medical child support order is a child support judgment, decree or order, including an orde approving a settlement agreement, that. A qualified medical child support order (qmcso) is an order made by a court. What Is Medical Child Support Order.
From www.templateroller.com
Download Instructions for Form DRS81F Child Support Order PDF What Is Medical Child Support Order Such an order is referred to as a qualified medical child support order (qmcso). In addition, a state child support enforcement agency may obtain. A qualified medical child support order (qmcso) is an order made by a court or state administrative agency that an alternate beneficiary, such as a. This guide to qualified medical child support orders (qmcsos) was created. What Is Medical Child Support Order.
From www.uslegalforms.com
Texas Medical Child Support Order Texas Child Support Medical What Is Medical Child Support Order Such an order is referred to as a qualified medical child support order (qmcso). In addition, a state child support enforcement agency may obtain. This guide to qualified medical child support orders (qmcsos) was created to provide a basic, but practical, summary of the major qmcso. A qualified medical child support order (qmcso) is an order made by a court. What Is Medical Child Support Order.
From www.wbattorneys.com
Calculating Child Support Maryland Child Support Worksheet (Part 1 What Is Medical Child Support Order A qualified medical child support order is a child support judgment, decree or order, including an orde approving a settlement agreement, that. In addition, a state child support enforcement agency may obtain. A qualified medical child support order (qmcso) is an order made by a court or state administrative agency that an alternate beneficiary, such as a. This guide to. What Is Medical Child Support Order.
From www.uslegalforms.com
New York Qualified Medical Child Support Order Non IV Iv Case What Is Medical Child Support Order Such an order is referred to as a qualified medical child support order (qmcso). This guide to qualified medical child support orders (qmcsos) was created to provide a basic, but practical, summary of the major qmcso. A qualified medical child support order (qmcso) is an order made by a court or state administrative agency that an alternate beneficiary, such as. What Is Medical Child Support Order.
From www.formsbank.com
Qualified Medical Child Support Order printable pdf download What Is Medical Child Support Order This guide to qualified medical child support orders (qmcsos) was created to provide a basic, but practical, summary of the major qmcso. This guide to qualified medical child support orders (qmcsos) was created to provide a basic, but practical, summary of the major. Such an order is referred to as a qualified medical child support order (qmcso). A qualified medical. What Is Medical Child Support Order.
From templatelab.com
32 Free Child Support Agreement Templates (PDF & MS Word) What Is Medical Child Support Order In addition, a state child support enforcement agency may obtain. A qualified medical child support order (qmcso) is an order made by a court or state administrative agency that an alternate beneficiary, such as a. A qualified medical child support order is a child support judgment, decree or order, including an orde approving a settlement agreement, that. This guide to. What Is Medical Child Support Order.
From www.uslegalforms.com
Harris Texas Medical Child Support Order Letter To Non Custodial What Is Medical Child Support Order A qualified medical child support order is a child support judgment, decree or order, including an orde approving a settlement agreement, that. In addition, a state child support enforcement agency may obtain. Such an order is referred to as a qualified medical child support order (qmcso). A qualified medical child support order (qmcso) is an order made by a court. What Is Medical Child Support Order.
From edit-pdf.dochub.com
Wa child support order Fill out & sign online DocHub What Is Medical Child Support Order Such an order is referred to as a qualified medical child support order (qmcso). A qualified medical child support order is a child support judgment, decree or order, including an orde approving a settlement agreement, that. A qualified medical child support order (qmcso) is an order made by a court or state administrative agency that an alternate beneficiary, such as. What Is Medical Child Support Order.
From legal-explanations.com
Qualified Medical Child Support Order (QMSCO) Definition What Does What Is Medical Child Support Order Such an order is referred to as a qualified medical child support order (qmcso). In addition, a state child support enforcement agency may obtain. This guide to qualified medical child support orders (qmcsos) was created to provide a basic, but practical, summary of the major. A qualified medical child support order (qmcso) is an order made by a court or. What Is Medical Child Support Order.
From www.formsbank.com
Standard Child Support Orders With A Deviation printable pdf download What Is Medical Child Support Order In addition, a state child support enforcement agency may obtain. A qualified medical child support order (qmcso) is an order made by a court or state administrative agency that an alternate beneficiary, such as a. This guide to qualified medical child support orders (qmcsos) was created to provide a basic, but practical, summary of the major qmcso. This guide to. What Is Medical Child Support Order.
From www.uslegalforms.com
Mississippi Qualified Medical Child Support Order Mississippi Child What Is Medical Child Support Order This guide to qualified medical child support orders (qmcsos) was created to provide a basic, but practical, summary of the major qmcso. A qualified medical child support order (qmcso) is an order made by a court or state administrative agency that an alternate beneficiary, such as a. Such an order is referred to as a qualified medical child support order. What Is Medical Child Support Order.
From www.uslegalforms.com
Texas Medical Child Support Order To Whom It May Concern Child What Is Medical Child Support Order Such an order is referred to as a qualified medical child support order (qmcso). In addition, a state child support enforcement agency may obtain. A qualified medical child support order (qmcso) is an order made by a court or state administrative agency that an alternate beneficiary, such as a. A qualified medical child support order is a child support judgment,. What Is Medical Child Support Order.
From www.pdffiller.com
Fillable Online child support papers form Fax Email Print pdfFiller What Is Medical Child Support Order This guide to qualified medical child support orders (qmcsos) was created to provide a basic, but practical, summary of the major qmcso. This guide to qualified medical child support orders (qmcsos) was created to provide a basic, but practical, summary of the major. A qualified medical child support order is a child support judgment, decree or order, including an orde. What Is Medical Child Support Order.
From www.uslegalforms.com
Suffolk New York Qualified Medical Child Support Order US Legal Forms What Is Medical Child Support Order A qualified medical child support order is a child support judgment, decree or order, including an orde approving a settlement agreement, that. A qualified medical child support order (qmcso) is an order made by a court or state administrative agency that an alternate beneficiary, such as a. In addition, a state child support enforcement agency may obtain. This guide to. What Is Medical Child Support Order.
From www.slideserve.com
PPT COBRA PowerPoint Presentation, free download ID8952491 What Is Medical Child Support Order Such an order is referred to as a qualified medical child support order (qmcso). This guide to qualified medical child support orders (qmcsos) was created to provide a basic, but practical, summary of the major qmcso. In addition, a state child support enforcement agency may obtain. A qualified medical child support order is a child support judgment, decree or order,. What Is Medical Child Support Order.
From www.templateroller.com
Form FL Parentage386 Download Printable PDF or Fill Online Child What Is Medical Child Support Order A qualified medical child support order (qmcso) is an order made by a court or state administrative agency that an alternate beneficiary, such as a. Such an order is referred to as a qualified medical child support order (qmcso). This guide to qualified medical child support orders (qmcsos) was created to provide a basic, but practical, summary of the major. What Is Medical Child Support Order.