Acceleration Km/H Seconds . It does not mean that if the velocity is high, the acceleration is high, or if the. Explain the meaning of seconds squared in the denominator of the units of acceleration. In the above equation, acceleration is the change in velocity over the change in time. The way to think about acceleration is, for example: Because acceleration is velocity in m/s divided by time in s, the si units for acceleration are \( m/s^2\), meters per second squared or meters per second per second, which literally means. [al] review all the base units of the metric system. 10 km/hr/s = your speed increases by 10 km/hr every second. Acceleration calculator allows you to calculate average acceleration corresponding to formula and equations of acceleration.
from slideplayer.com
Because acceleration is velocity in m/s divided by time in s, the si units for acceleration are \( m/s^2\), meters per second squared or meters per second per second, which literally means. In the above equation, acceleration is the change in velocity over the change in time. Explain the meaning of seconds squared in the denominator of the units of acceleration. The way to think about acceleration is, for example: 10 km/hr/s = your speed increases by 10 km/hr every second. Acceleration calculator allows you to calculate average acceleration corresponding to formula and equations of acceleration. [al] review all the base units of the metric system. It does not mean that if the velocity is high, the acceleration is high, or if the.
Speed, velocity and acceleration ppt download
Acceleration Km/H Seconds In the above equation, acceleration is the change in velocity over the change in time. [al] review all the base units of the metric system. The way to think about acceleration is, for example: Acceleration calculator allows you to calculate average acceleration corresponding to formula and equations of acceleration. It does not mean that if the velocity is high, the acceleration is high, or if the. Because acceleration is velocity in m/s divided by time in s, the si units for acceleration are \( m/s^2\), meters per second squared or meters per second per second, which literally means. 10 km/hr/s = your speed increases by 10 km/hr every second. In the above equation, acceleration is the change in velocity over the change in time. Explain the meaning of seconds squared in the denominator of the units of acceleration.
From slideplayer.com
Speed, velocity and acceleration ppt download Acceleration Km/H Seconds Explain the meaning of seconds squared in the denominator of the units of acceleration. [al] review all the base units of the metric system. Because acceleration is velocity in m/s divided by time in s, the si units for acceleration are \( m/s^2\), meters per second squared or meters per second per second, which literally means. The way to think. Acceleration Km/H Seconds.
From www.numerade.com
SOLVED A body increases its velocity from 10 km/h to 15 km/h in 6 Acceleration Km/H Seconds 10 km/hr/s = your speed increases by 10 km/hr every second. Explain the meaning of seconds squared in the denominator of the units of acceleration. Because acceleration is velocity in m/s divided by time in s, the si units for acceleration are \( m/s^2\), meters per second squared or meters per second per second, which literally means. Acceleration calculator allows. Acceleration Km/H Seconds.
From brainly.in
a car accelerates uniformly from 20 km per hour to 35 km per hour in 5 Acceleration Km/H Seconds 10 km/hr/s = your speed increases by 10 km/hr every second. It does not mean that if the velocity is high, the acceleration is high, or if the. Explain the meaning of seconds squared in the denominator of the units of acceleration. [al] review all the base units of the metric system. Because acceleration is velocity in m/s divided by. Acceleration Km/H Seconds.
From www.meritnation.com
Explain with steps 21 A car increases its speed from 20 km/h to 50 km Acceleration Km/H Seconds 10 km/hr/s = your speed increases by 10 km/hr every second. The way to think about acceleration is, for example: [al] review all the base units of the metric system. Acceleration calculator allows you to calculate average acceleration corresponding to formula and equations of acceleration. Because acceleration is velocity in m/s divided by time in s, the si units for. Acceleration Km/H Seconds.
From haipernews.com
How To Calculate Km/h In Excel Haiper Acceleration Km/H Seconds In the above equation, acceleration is the change in velocity over the change in time. Acceleration calculator allows you to calculate average acceleration corresponding to formula and equations of acceleration. Explain the meaning of seconds squared in the denominator of the units of acceleration. [al] review all the base units of the metric system. 10 km/hr/s = your speed increases. Acceleration Km/H Seconds.
From www.slideserve.com
PPT Speed, velocity and acceleration PowerPoint Presentation, free Acceleration Km/H Seconds Acceleration calculator allows you to calculate average acceleration corresponding to formula and equations of acceleration. [al] review all the base units of the metric system. Because acceleration is velocity in m/s divided by time in s, the si units for acceleration are \( m/s^2\), meters per second squared or meters per second per second, which literally means. It does not. Acceleration Km/H Seconds.
From brainly.in
2 A bus accelerates uniformly from 54 km/h to 72 km/h in 10 seconds Acceleration Km/H Seconds 10 km/hr/s = your speed increases by 10 km/hr every second. Because acceleration is velocity in m/s divided by time in s, the si units for acceleration are \( m/s^2\), meters per second squared or meters per second per second, which literally means. In the above equation, acceleration is the change in velocity over the change in time. Explain the. Acceleration Km/H Seconds.
From www.numerade.com
SOLVED A bicycle increases its velocity from 10 km/h to 15 km/h in 6 Acceleration Km/H Seconds 10 km/hr/s = your speed increases by 10 km/hr every second. Acceleration calculator allows you to calculate average acceleration corresponding to formula and equations of acceleration. Explain the meaning of seconds squared in the denominator of the units of acceleration. [al] review all the base units of the metric system. In the above equation, acceleration is the change in velocity. Acceleration Km/H Seconds.
From www.youtube.com
The velocity graph of car accelerating from rest to a speed of 120 km/h Acceleration Km/H Seconds Explain the meaning of seconds squared in the denominator of the units of acceleration. Acceleration calculator allows you to calculate average acceleration corresponding to formula and equations of acceleration. Because acceleration is velocity in m/s divided by time in s, the si units for acceleration are \( m/s^2\), meters per second squared or meters per second per second, which literally. Acceleration Km/H Seconds.
From www.slideserve.com
PPT Acceleration PowerPoint Presentation, free download ID5957192 Acceleration Km/H Seconds Explain the meaning of seconds squared in the denominator of the units of acceleration. Because acceleration is velocity in m/s divided by time in s, the si units for acceleration are \( m/s^2\), meters per second squared or meters per second per second, which literally means. Acceleration calculator allows you to calculate average acceleration corresponding to formula and equations of. Acceleration Km/H Seconds.
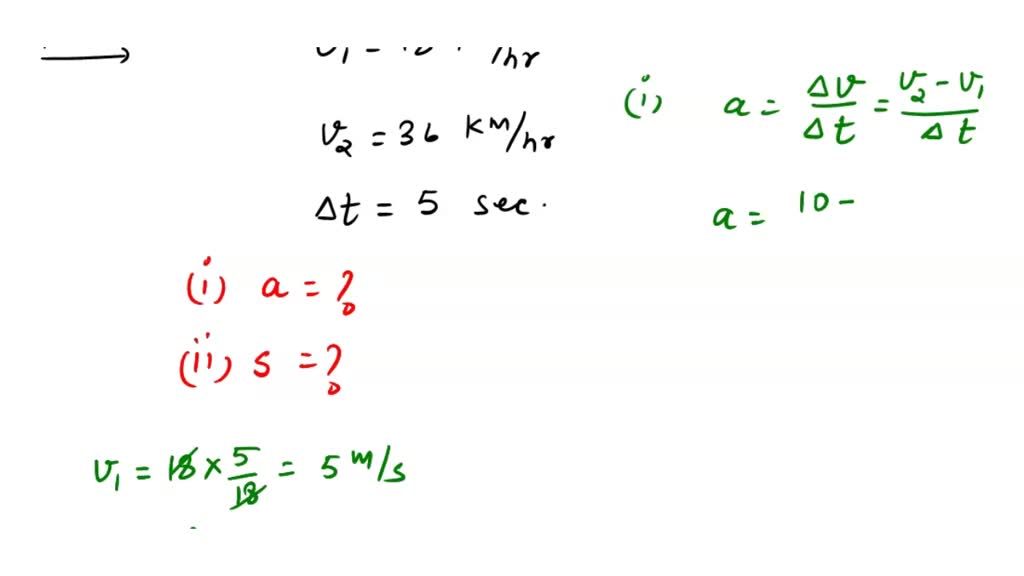
From www.toppr.com
A car accelerates uniformly from 18 km/h to 36 km/h in 5 sec, calculate Acceleration Km/H Seconds The way to think about acceleration is, for example: Because acceleration is velocity in m/s divided by time in s, the si units for acceleration are \( m/s^2\), meters per second squared or meters per second per second, which literally means. Explain the meaning of seconds squared in the denominator of the units of acceleration. 10 km/hr/s = your speed. Acceleration Km/H Seconds.
From www.youtube.com
The value of acceleration due to gravity at a place is `9.8ms^(2 Acceleration Km/H Seconds [al] review all the base units of the metric system. The way to think about acceleration is, for example: Explain the meaning of seconds squared in the denominator of the units of acceleration. Acceleration calculator allows you to calculate average acceleration corresponding to formula and equations of acceleration. 10 km/hr/s = your speed increases by 10 km/hr every second. In. Acceleration Km/H Seconds.
From collegedunia.com
Acceleration Definition, Formula, Types & Examples Acceleration Km/H Seconds The way to think about acceleration is, for example: 10 km/hr/s = your speed increases by 10 km/hr every second. In the above equation, acceleration is the change in velocity over the change in time. [al] review all the base units of the metric system. Because acceleration is velocity in m/s divided by time in s, the si units for. Acceleration Km/H Seconds.
From haipernews.com
How To Calculate Distance Covered During Acceleration Haiper Acceleration Km/H Seconds Explain the meaning of seconds squared in the denominator of the units of acceleration. In the above equation, acceleration is the change in velocity over the change in time. Because acceleration is velocity in m/s divided by time in s, the si units for acceleration are \( m/s^2\), meters per second squared or meters per second per second, which literally. Acceleration Km/H Seconds.
From brainly.in
a car accelerates uniformly from 18 km/h to 36 km/h in 5 minutes Acceleration Km/H Seconds 10 km/hr/s = your speed increases by 10 km/hr every second. [al] review all the base units of the metric system. In the above equation, acceleration is the change in velocity over the change in time. Because acceleration is velocity in m/s divided by time in s, the si units for acceleration are \( m/s^2\), meters per second squared or. Acceleration Km/H Seconds.
From www.youtube.com
Acceleration Formula with Velocity and Time YouTube Acceleration Km/H Seconds In the above equation, acceleration is the change in velocity over the change in time. Explain the meaning of seconds squared in the denominator of the units of acceleration. Because acceleration is velocity in m/s divided by time in s, the si units for acceleration are \( m/s^2\), meters per second squared or meters per second per second, which literally. Acceleration Km/H Seconds.
From www.chegg.com
Solved The velocity graph of a car accelerating from rest to Acceleration Km/H Seconds Acceleration calculator allows you to calculate average acceleration corresponding to formula and equations of acceleration. The way to think about acceleration is, for example: It does not mean that if the velocity is high, the acceleration is high, or if the. Because acceleration is velocity in m/s divided by time in s, the si units for acceleration are \( m/s^2\),. Acceleration Km/H Seconds.
From www.numerade.com
SOLVED A car accelerates uniformly from 20 km/h to 35 km/h in 5 Acceleration Km/H Seconds In the above equation, acceleration is the change in velocity over the change in time. Acceleration calculator allows you to calculate average acceleration corresponding to formula and equations of acceleration. Because acceleration is velocity in m/s divided by time in s, the si units for acceleration are \( m/s^2\), meters per second squared or meters per second per second, which. Acceleration Km/H Seconds.
From www.slideserve.com
PPT Acceleration PowerPoint Presentation, free download ID3179707 Acceleration Km/H Seconds Because acceleration is velocity in m/s divided by time in s, the si units for acceleration are \( m/s^2\), meters per second squared or meters per second per second, which literally means. It does not mean that if the velocity is high, the acceleration is high, or if the. In the above equation, acceleration is the change in velocity over. Acceleration Km/H Seconds.
From studylib.net
Calculating acceleration Acceleration Km/H Seconds It does not mean that if the velocity is high, the acceleration is high, or if the. [al] review all the base units of the metric system. Acceleration calculator allows you to calculate average acceleration corresponding to formula and equations of acceleration. 10 km/hr/s = your speed increases by 10 km/hr every second. The way to think about acceleration is,. Acceleration Km/H Seconds.
From brainly.in
Car increases speed from 20 km/h to 50km/h in 10 seconds its Acceleration Km/H Seconds [al] review all the base units of the metric system. It does not mean that if the velocity is high, the acceleration is high, or if the. In the above equation, acceleration is the change in velocity over the change in time. 10 km/hr/s = your speed increases by 10 km/hr every second. Because acceleration is velocity in m/s divided. Acceleration Km/H Seconds.
From www.teachoo.com
Velocity Time Graph Meaning of Shapes Teachoo Concepts Acceleration Km/H Seconds The way to think about acceleration is, for example: Because acceleration is velocity in m/s divided by time in s, the si units for acceleration are \( m/s^2\), meters per second squared or meters per second per second, which literally means. 10 km/hr/s = your speed increases by 10 km/hr every second. Acceleration calculator allows you to calculate average acceleration. Acceleration Km/H Seconds.
From www.youtube.com
A car travelling at 20 km/h speeds up to 60 km/h in 6 seconds. What is Acceleration Km/H Seconds The way to think about acceleration is, for example: It does not mean that if the velocity is high, the acceleration is high, or if the. [al] review all the base units of the metric system. Acceleration calculator allows you to calculate average acceleration corresponding to formula and equations of acceleration. 10 km/hr/s = your speed increases by 10 km/hr. Acceleration Km/H Seconds.
From haipernews.com
How To Calculate The Acceleration Of A Car Haiper Acceleration Km/H Seconds 10 km/hr/s = your speed increases by 10 km/hr every second. In the above equation, acceleration is the change in velocity over the change in time. [al] review all the base units of the metric system. Because acceleration is velocity in m/s divided by time in s, the si units for acceleration are \( m/s^2\), meters per second squared or. Acceleration Km/H Seconds.
From www.youtube.com
A sports car accelerates from rest to 95 km/h in 4.5s. What is its Acceleration Km/H Seconds Acceleration calculator allows you to calculate average acceleration corresponding to formula and equations of acceleration. The way to think about acceleration is, for example: 10 km/hr/s = your speed increases by 10 km/hr every second. In the above equation, acceleration is the change in velocity over the change in time. [al] review all the base units of the metric system.. Acceleration Km/H Seconds.
From www.numerade.com
SOLVED A car accelerates uniformly from 20 km/h to 35km/h I 5 seconds Acceleration Km/H Seconds It does not mean that if the velocity is high, the acceleration is high, or if the. Because acceleration is velocity in m/s divided by time in s, the si units for acceleration are \( m/s^2\), meters per second squared or meters per second per second, which literally means. [al] review all the base units of the metric system. Acceleration. Acceleration Km/H Seconds.
From www.numerade.com
SOLVED A car increases its speed from 20 km/h to 50 km/h in 10 seconds Acceleration Km/H Seconds In the above equation, acceleration is the change in velocity over the change in time. [al] review all the base units of the metric system. The way to think about acceleration is, for example: It does not mean that if the velocity is high, the acceleration is high, or if the. Acceleration calculator allows you to calculate average acceleration corresponding. Acceleration Km/H Seconds.
From www.toppr.com
A car accelerates uniformly from 18 km/h to 36 km/h in 5s . The Acceleration Km/H Seconds Because acceleration is velocity in m/s divided by time in s, the si units for acceleration are \( m/s^2\), meters per second squared or meters per second per second, which literally means. The way to think about acceleration is, for example: 10 km/hr/s = your speed increases by 10 km/hr every second. [al] review all the base units of the. Acceleration Km/H Seconds.
From slideplayer.com
Speed, velocity and acceleration ppt download Acceleration Km/H Seconds It does not mean that if the velocity is high, the acceleration is high, or if the. The way to think about acceleration is, for example: In the above equation, acceleration is the change in velocity over the change in time. Explain the meaning of seconds squared in the denominator of the units of acceleration. Acceleration calculator allows you to. Acceleration Km/H Seconds.
From www.teachoo.com
Example 8.6 A car accelerates uniformly from 18 km/h to 36 km/h in 5 Acceleration Km/H Seconds The way to think about acceleration is, for example: In the above equation, acceleration is the change in velocity over the change in time. 10 km/hr/s = your speed increases by 10 km/hr every second. Because acceleration is velocity in m/s divided by time in s, the si units for acceleration are \( m/s^2\), meters per second squared or meters. Acceleration Km/H Seconds.
From www.numerade.com
SOLVED A train accelerates from 30 km/h to 45 km/h in 15 seconds. Find Acceleration Km/H Seconds [al] review all the base units of the metric system. Because acceleration is velocity in m/s divided by time in s, the si units for acceleration are \( m/s^2\), meters per second squared or meters per second per second, which literally means. In the above equation, acceleration is the change in velocity over the change in time. The way to. Acceleration Km/H Seconds.
From www.youtube.com
How to calculate acceleration YouTube Acceleration Km/H Seconds The way to think about acceleration is, for example: In the above equation, acceleration is the change in velocity over the change in time. Because acceleration is velocity in m/s divided by time in s, the si units for acceleration are \( m/s^2\), meters per second squared or meters per second per second, which literally means. [al] review all the. Acceleration Km/H Seconds.
From www.youtube.com
A car accelerates uniformly from 18 km/h to 36 km/h in 5 seconds Acceleration Km/H Seconds [al] review all the base units of the metric system. Explain the meaning of seconds squared in the denominator of the units of acceleration. It does not mean that if the velocity is high, the acceleration is high, or if the. 10 km/hr/s = your speed increases by 10 km/hr every second. Acceleration calculator allows you to calculate average acceleration. Acceleration Km/H Seconds.
From www.meritnation.com
A car acquires a velocity of 72 km/h in 10 seconds starting from rest Acceleration Km/H Seconds Explain the meaning of seconds squared in the denominator of the units of acceleration. Acceleration calculator allows you to calculate average acceleration corresponding to formula and equations of acceleration. 10 km/hr/s = your speed increases by 10 km/hr every second. In the above equation, acceleration is the change in velocity over the change in time. It does not mean that. Acceleration Km/H Seconds.
From www.youtube.com
A car accelerates uniformly from 18 km h^1 to 36 km h^1 in 5 s Acceleration Km/H Seconds Acceleration calculator allows you to calculate average acceleration corresponding to formula and equations of acceleration. 10 km/hr/s = your speed increases by 10 km/hr every second. In the above equation, acceleration is the change in velocity over the change in time. It does not mean that if the velocity is high, the acceleration is high, or if the. Because acceleration. Acceleration Km/H Seconds.