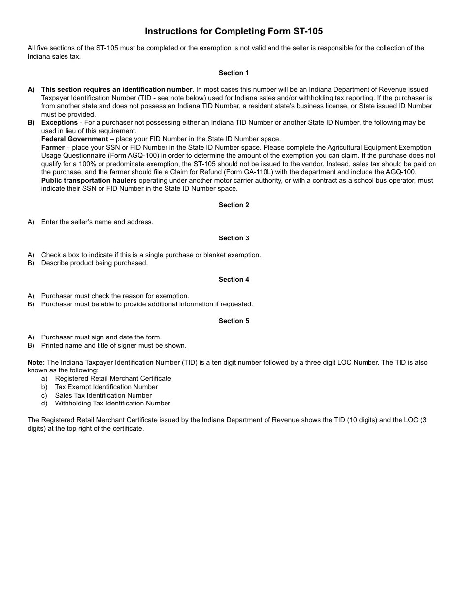
Indiana Farm Sales Tax Exemption Form . Indiana department of revenue general sales tax exemption certificate. This form is not to be used as an agricultural or utility exemption certificate. If you are not a retail merchant, use tax can. This form is not to be used as an agricultural, utility, or. Indiana department of revenue general sales tax exemption certificate.
from www.formsbank.com
Indiana department of revenue general sales tax exemption certificate. If you are not a retail merchant, use tax can. This form is not to be used as an agricultural, utility, or. Indiana department of revenue general sales tax exemption certificate. This form is not to be used as an agricultural or utility exemption certificate.
Form 51a158 Farm Exemption Certificate printable pdf download
Indiana Farm Sales Tax Exemption Form Indiana department of revenue general sales tax exemption certificate. Indiana department of revenue general sales tax exemption certificate. This form is not to be used as an agricultural, utility, or. Indiana department of revenue general sales tax exemption certificate. This form is not to be used as an agricultural or utility exemption certificate. If you are not a retail merchant, use tax can.
From old.sermitsiaq.ag
Printable Tax Exempt Form Indiana Farm Sales Tax Exemption Form If you are not a retail merchant, use tax can. Indiana department of revenue general sales tax exemption certificate. This form is not to be used as an agricultural, utility, or. Indiana department of revenue general sales tax exemption certificate. This form is not to be used as an agricultural or utility exemption certificate. Indiana Farm Sales Tax Exemption Form.
From www.exemptform.com
State Of Indiana Sales Tax Exemption Form Indiana Farm Sales Tax Exemption Form This form is not to be used as an agricultural or utility exemption certificate. Indiana department of revenue general sales tax exemption certificate. Indiana department of revenue general sales tax exemption certificate. If you are not a retail merchant, use tax can. This form is not to be used as an agricultural, utility, or. Indiana Farm Sales Tax Exemption Form.
From www.exemptform.com
Indiana Farm Tax Exempt Form Indiana Farm Sales Tax Exemption Form Indiana department of revenue general sales tax exemption certificate. This form is not to be used as an agricultural, utility, or. Indiana department of revenue general sales tax exemption certificate. This form is not to be used as an agricultural or utility exemption certificate. If you are not a retail merchant, use tax can. Indiana Farm Sales Tax Exemption Form.
From www.formsbank.com
Indiana Department Of Revenue Sales And Use Tax Exemption Certificate printable pdf download Indiana Farm Sales Tax Exemption Form This form is not to be used as an agricultural, utility, or. Indiana department of revenue general sales tax exemption certificate. If you are not a retail merchant, use tax can. Indiana department of revenue general sales tax exemption certificate. This form is not to be used as an agricultural or utility exemption certificate. Indiana Farm Sales Tax Exemption Form.
From www.dochub.com
Form 136 indiana Fill out & sign online DocHub Indiana Farm Sales Tax Exemption Form This form is not to be used as an agricultural, utility, or. Indiana department of revenue general sales tax exemption certificate. Indiana department of revenue general sales tax exemption certificate. If you are not a retail merchant, use tax can. This form is not to be used as an agricultural or utility exemption certificate. Indiana Farm Sales Tax Exemption Form.
From www.formsbank.com
Form 51a158 Farm Exemption Certificate printable pdf download Indiana Farm Sales Tax Exemption Form This form is not to be used as an agricultural, utility, or. If you are not a retail merchant, use tax can. This form is not to be used as an agricultural or utility exemption certificate. Indiana department of revenue general sales tax exemption certificate. Indiana department of revenue general sales tax exemption certificate. Indiana Farm Sales Tax Exemption Form.
From www.formsbank.com
Fillable Form St8f Agricultural Exemption Certificate printable pdf download Indiana Farm Sales Tax Exemption Form This form is not to be used as an agricultural or utility exemption certificate. Indiana department of revenue general sales tax exemption certificate. If you are not a retail merchant, use tax can. This form is not to be used as an agricultural, utility, or. Indiana department of revenue general sales tax exemption certificate. Indiana Farm Sales Tax Exemption Form.
From www.templateroller.com
State Form 49065 (ST105) Download Fillable PDF or Fill Online General Sales Tax Exemption Indiana Farm Sales Tax Exemption Form If you are not a retail merchant, use tax can. Indiana department of revenue general sales tax exemption certificate. This form is not to be used as an agricultural, utility, or. Indiana department of revenue general sales tax exemption certificate. This form is not to be used as an agricultural or utility exemption certificate. Indiana Farm Sales Tax Exemption Form.
From www.exemptform.com
2023 Indiana Tax Exempt Form Indiana Farm Sales Tax Exemption Form Indiana department of revenue general sales tax exemption certificate. This form is not to be used as an agricultural, utility, or. If you are not a retail merchant, use tax can. Indiana department of revenue general sales tax exemption certificate. This form is not to be used as an agricultural or utility exemption certificate. Indiana Farm Sales Tax Exemption Form.
From www.formsbank.com
Farm Exemption Certificate printable pdf download Indiana Farm Sales Tax Exemption Form This form is not to be used as an agricultural, utility, or. Indiana department of revenue general sales tax exemption certificate. Indiana department of revenue general sales tax exemption certificate. This form is not to be used as an agricultural or utility exemption certificate. If you are not a retail merchant, use tax can. Indiana Farm Sales Tax Exemption Form.
From www.uslegalforms.com
NC E595CF 20182022 Fill out Tax Template Online US Legal Forms Indiana Farm Sales Tax Exemption Form If you are not a retail merchant, use tax can. Indiana department of revenue general sales tax exemption certificate. This form is not to be used as an agricultural, utility, or. Indiana department of revenue general sales tax exemption certificate. This form is not to be used as an agricultural or utility exemption certificate. Indiana Farm Sales Tax Exemption Form.
From www.exemptform.com
Indiana Sales And Use Tax Exemption Form Indiana Farm Sales Tax Exemption Form This form is not to be used as an agricultural, utility, or. Indiana department of revenue general sales tax exemption certificate. If you are not a retail merchant, use tax can. This form is not to be used as an agricultural or utility exemption certificate. Indiana department of revenue general sales tax exemption certificate. Indiana Farm Sales Tax Exemption Form.
From www.formsbank.com
Fillable Form Pp005a Prepaid Sales Tax Exemption Certificate Indiana Department Of Revenue Indiana Farm Sales Tax Exemption Form Indiana department of revenue general sales tax exemption certificate. This form is not to be used as an agricultural, utility, or. Indiana department of revenue general sales tax exemption certificate. If you are not a retail merchant, use tax can. This form is not to be used as an agricultural or utility exemption certificate. Indiana Farm Sales Tax Exemption Form.
From www.pdffiller.com
Fillable Online Nonprofit Sales Tax Exemption Certificate (NP1) Indiana Fax Email Print Indiana Farm Sales Tax Exemption Form This form is not to be used as an agricultural, utility, or. If you are not a retail merchant, use tax can. Indiana department of revenue general sales tax exemption certificate. Indiana department of revenue general sales tax exemption certificate. This form is not to be used as an agricultural or utility exemption certificate. Indiana Farm Sales Tax Exemption Form.
From www.pdffiller.com
Fillable Online Indiana Form ST105 (Indiana General Sales Tax ExemptionIndiana General Indiana Farm Sales Tax Exemption Form Indiana department of revenue general sales tax exemption certificate. This form is not to be used as an agricultural, utility, or. This form is not to be used as an agricultural or utility exemption certificate. If you are not a retail merchant, use tax can. Indiana department of revenue general sales tax exemption certificate. Indiana Farm Sales Tax Exemption Form.
From www.signnow.com
Indiana 200 Exemption Form Fill Out and Sign Printable PDF Template airSlate SignNow Indiana Farm Sales Tax Exemption Form This form is not to be used as an agricultural, utility, or. If you are not a retail merchant, use tax can. Indiana department of revenue general sales tax exemption certificate. Indiana department of revenue general sales tax exemption certificate. This form is not to be used as an agricultural or utility exemption certificate. Indiana Farm Sales Tax Exemption Form.
From www.formsbank.com
Form St8f Agricultural Exemption Certificate printable pdf download Indiana Farm Sales Tax Exemption Form This form is not to be used as an agricultural or utility exemption certificate. Indiana department of revenue general sales tax exemption certificate. This form is not to be used as an agricultural, utility, or. If you are not a retail merchant, use tax can. Indiana department of revenue general sales tax exemption certificate. Indiana Farm Sales Tax Exemption Form.
From erdaqkristin.pages.dev
Indiana Tax Exemption Form 2024 Genni Josepha Indiana Farm Sales Tax Exemption Form This form is not to be used as an agricultural or utility exemption certificate. This form is not to be used as an agricultural, utility, or. Indiana department of revenue general sales tax exemption certificate. Indiana department of revenue general sales tax exemption certificate. If you are not a retail merchant, use tax can. Indiana Farm Sales Tax Exemption Form.
From www.exemptform.com
Farmers Tax Exempt Certificate Farmer Foto Collections Indiana Farm Sales Tax Exemption Form Indiana department of revenue general sales tax exemption certificate. This form is not to be used as an agricultural or utility exemption certificate. Indiana department of revenue general sales tax exemption certificate. This form is not to be used as an agricultural, utility, or. If you are not a retail merchant, use tax can. Indiana Farm Sales Tax Exemption Form.
From lannibedeline.pages.dev
Indiana Tax Exemption Form 2024 Hilda Larissa Indiana Farm Sales Tax Exemption Form Indiana department of revenue general sales tax exemption certificate. This form is not to be used as an agricultural or utility exemption certificate. Indiana department of revenue general sales tax exemption certificate. This form is not to be used as an agricultural, utility, or. If you are not a retail merchant, use tax can. Indiana Farm Sales Tax Exemption Form.
From www.exemptform.com
Indiana Sales And Use Tax Exemption Form Indiana Farm Sales Tax Exemption Form Indiana department of revenue general sales tax exemption certificate. Indiana department of revenue general sales tax exemption certificate. This form is not to be used as an agricultural or utility exemption certificate. If you are not a retail merchant, use tax can. This form is not to be used as an agricultural, utility, or. Indiana Farm Sales Tax Exemption Form.
From www.exemptform.com
Fillable Form R 1060 Farm Equipment Sales Tax Exemption Printable Pdf Indiana Farm Sales Tax Exemption Form This form is not to be used as an agricultural or utility exemption certificate. Indiana department of revenue general sales tax exemption certificate. This form is not to be used as an agricultural, utility, or. If you are not a retail merchant, use tax can. Indiana department of revenue general sales tax exemption certificate. Indiana Farm Sales Tax Exemption Form.
From www.formsbank.com
Top 18 Indiana Tax Exempt Form Templates free to download in PDF format Indiana Farm Sales Tax Exemption Form Indiana department of revenue general sales tax exemption certificate. This form is not to be used as an agricultural or utility exemption certificate. Indiana department of revenue general sales tax exemption certificate. This form is not to be used as an agricultural, utility, or. If you are not a retail merchant, use tax can. Indiana Farm Sales Tax Exemption Form.
From www.exemptform.com
Agricultural Tax Exempt Form For Property Tax Indiana Farm Sales Tax Exemption Form Indiana department of revenue general sales tax exemption certificate. This form is not to be used as an agricultural, utility, or. This form is not to be used as an agricultural or utility exemption certificate. Indiana department of revenue general sales tax exemption certificate. If you are not a retail merchant, use tax can. Indiana Farm Sales Tax Exemption Form.
From www.enguard.net
How to File for Utility Sales Tax Exemption in Indiana? Blog Enguard, Inc. Indiana Farm Sales Tax Exemption Form Indiana department of revenue general sales tax exemption certificate. This form is not to be used as an agricultural or utility exemption certificate. Indiana department of revenue general sales tax exemption certificate. If you are not a retail merchant, use tax can. This form is not to be used as an agricultural, utility, or. Indiana Farm Sales Tax Exemption Form.
From exovljwdw.blob.core.windows.net
What Is Sales And Use Tax Exemption Certificate at Mary Lunsford blog Indiana Farm Sales Tax Exemption Form Indiana department of revenue general sales tax exemption certificate. If you are not a retail merchant, use tax can. This form is not to be used as an agricultural, utility, or. This form is not to be used as an agricultural or utility exemption certificate. Indiana department of revenue general sales tax exemption certificate. Indiana Farm Sales Tax Exemption Form.
From www.sampletemplates.com
FREE 10+ Sample Tax Exemption Forms in PDF Indiana Farm Sales Tax Exemption Form This form is not to be used as an agricultural, utility, or. Indiana department of revenue general sales tax exemption certificate. If you are not a retail merchant, use tax can. This form is not to be used as an agricultural or utility exemption certificate. Indiana department of revenue general sales tax exemption certificate. Indiana Farm Sales Tax Exemption Form.
From erdaqkristin.pages.dev
Indiana Tax Exemption Form 2024 Genni Josepha Indiana Farm Sales Tax Exemption Form This form is not to be used as an agricultural or utility exemption certificate. This form is not to be used as an agricultural, utility, or. Indiana department of revenue general sales tax exemption certificate. Indiana department of revenue general sales tax exemption certificate. If you are not a retail merchant, use tax can. Indiana Farm Sales Tax Exemption Form.
From www.exemptform.com
United States Postal Service Indiana Sales Tax Exempt Form Indiana Farm Sales Tax Exemption Form Indiana department of revenue general sales tax exemption certificate. If you are not a retail merchant, use tax can. This form is not to be used as an agricultural or utility exemption certificate. This form is not to be used as an agricultural, utility, or. Indiana department of revenue general sales tax exemption certificate. Indiana Farm Sales Tax Exemption Form.
From www.pdffiller.com
Sales Tax Exempt Certificate Fill Online, Printable, Fillable, Blank pdfFiller Indiana Farm Sales Tax Exemption Form This form is not to be used as an agricultural or utility exemption certificate. This form is not to be used as an agricultural, utility, or. Indiana department of revenue general sales tax exemption certificate. Indiana department of revenue general sales tax exemption certificate. If you are not a retail merchant, use tax can. Indiana Farm Sales Tax Exemption Form.
From www.exemptform.com
Indiana Sales Tax Exemption Form Fill In Indiana Farm Sales Tax Exemption Form Indiana department of revenue general sales tax exemption certificate. This form is not to be used as an agricultural, utility, or. Indiana department of revenue general sales tax exemption certificate. If you are not a retail merchant, use tax can. This form is not to be used as an agricultural or utility exemption certificate. Indiana Farm Sales Tax Exemption Form.
From www.formsbank.com
Form St105 General Sales Tax Exemption Certificate Indiana Department Of Revenue printable Indiana Farm Sales Tax Exemption Form Indiana department of revenue general sales tax exemption certificate. Indiana department of revenue general sales tax exemption certificate. This form is not to be used as an agricultural, utility, or. If you are not a retail merchant, use tax can. This form is not to be used as an agricultural or utility exemption certificate. Indiana Farm Sales Tax Exemption Form.
From www.templateroller.com
Form ST108A Fill Out, Sign Online and Download Fillable PDF, Indiana Templateroller Indiana Farm Sales Tax Exemption Form If you are not a retail merchant, use tax can. Indiana department of revenue general sales tax exemption certificate. This form is not to be used as an agricultural, utility, or. Indiana department of revenue general sales tax exemption certificate. This form is not to be used as an agricultural or utility exemption certificate. Indiana Farm Sales Tax Exemption Form.
From www.formsbank.com
Top 18 Indiana Tax Exempt Form Templates free to download in PDF format Indiana Farm Sales Tax Exemption Form Indiana department of revenue general sales tax exemption certificate. Indiana department of revenue general sales tax exemption certificate. If you are not a retail merchant, use tax can. This form is not to be used as an agricultural, utility, or. This form is not to be used as an agricultural or utility exemption certificate. Indiana Farm Sales Tax Exemption Form.
From www.formsbank.com
Fillable Agricultural Sales And Use Tax Certificate Of Exemption printable pdf download Indiana Farm Sales Tax Exemption Form Indiana department of revenue general sales tax exemption certificate. Indiana department of revenue general sales tax exemption certificate. This form is not to be used as an agricultural or utility exemption certificate. If you are not a retail merchant, use tax can. This form is not to be used as an agricultural, utility, or. Indiana Farm Sales Tax Exemption Form.