Polyvinyl Butyral Sds . Version 5.0 revision date 04/03/2017 print date 11/10/2018. This chemical is considered hazardous according to the 2012 osha hazard communication standard (29 cfr. find out everything about the technical pvb resin mowital® in our safety data sheets (sds). Poly (vinyl butyral) catalog numbers: Identification of the substance/mixture and of the company/undertaking. Polyvinyl butyral (pvb) supplier safety data sheet;
from www.myskinrecipes.com
Poly (vinyl butyral) catalog numbers: Version 5.0 revision date 04/03/2017 print date 11/10/2018. This chemical is considered hazardous according to the 2012 osha hazard communication standard (29 cfr. Identification of the substance/mixture and of the company/undertaking. find out everything about the technical pvb resin mowital® in our safety data sheets (sds). Polyvinyl butyral (pvb) supplier safety data sheet;
Polyvinyl butyral (PVB B03HX)
Polyvinyl Butyral Sds Version 5.0 revision date 04/03/2017 print date 11/10/2018. Version 5.0 revision date 04/03/2017 print date 11/10/2018. Polyvinyl butyral (pvb) supplier safety data sheet; Identification of the substance/mixture and of the company/undertaking. find out everything about the technical pvb resin mowital® in our safety data sheets (sds). Poly (vinyl butyral) catalog numbers: This chemical is considered hazardous according to the 2012 osha hazard communication standard (29 cfr.
From eureka.patsnap.com
Method for treating polyvinyl butyral (PVB) Eureka Patsnap Polyvinyl Butyral Sds Poly (vinyl butyral) catalog numbers: This chemical is considered hazardous according to the 2012 osha hazard communication standard (29 cfr. Polyvinyl butyral (pvb) supplier safety data sheet; find out everything about the technical pvb resin mowital® in our safety data sheets (sds). Identification of the substance/mixture and of the company/undertaking. Version 5.0 revision date 04/03/2017 print date 11/10/2018. Polyvinyl Butyral Sds.
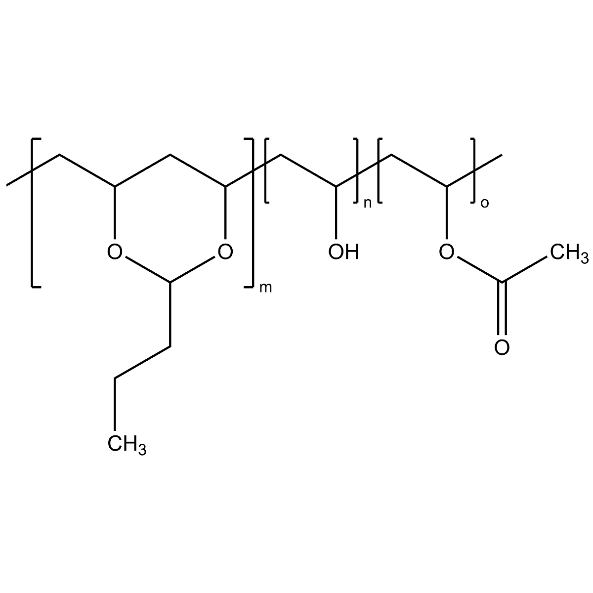
From www.semanticscholar.org
polyvinyl butyral resin Semantic Scholar Polyvinyl Butyral Sds Poly (vinyl butyral) catalog numbers: Version 5.0 revision date 04/03/2017 print date 11/10/2018. find out everything about the technical pvb resin mowital® in our safety data sheets (sds). This chemical is considered hazardous according to the 2012 osha hazard communication standard (29 cfr. Identification of the substance/mixture and of the company/undertaking. Polyvinyl butyral (pvb) supplier safety data sheet; Polyvinyl Butyral Sds.
From reclaimplastics.com
PVB Recycling (Polyvinyl Butyral) Reclaim Plastics Polyvinyl Butyral Sds Identification of the substance/mixture and of the company/undertaking. This chemical is considered hazardous according to the 2012 osha hazard communication standard (29 cfr. Polyvinyl butyral (pvb) supplier safety data sheet; Version 5.0 revision date 04/03/2017 print date 11/10/2018. Poly (vinyl butyral) catalog numbers: find out everything about the technical pvb resin mowital® in our safety data sheets (sds). Polyvinyl Butyral Sds.
From eureka.patsnap.com
Method for treating polyvinyl butyral (PVB) Eureka Patsnap Polyvinyl Butyral Sds find out everything about the technical pvb resin mowital® in our safety data sheets (sds). This chemical is considered hazardous according to the 2012 osha hazard communication standard (29 cfr. Version 5.0 revision date 04/03/2017 print date 11/10/2018. Poly (vinyl butyral) catalog numbers: Polyvinyl butyral (pvb) supplier safety data sheet; Identification of the substance/mixture and of the company/undertaking. Polyvinyl Butyral Sds.
From nextsocial.net
Polyvinyl Butyral Enhancing Durability and Safety in Construction Polyvinyl Butyral Sds Polyvinyl butyral (pvb) supplier safety data sheet; Poly (vinyl butyral) catalog numbers: Version 5.0 revision date 04/03/2017 print date 11/10/2018. This chemical is considered hazardous according to the 2012 osha hazard communication standard (29 cfr. find out everything about the technical pvb resin mowital® in our safety data sheets (sds). Identification of the substance/mixture and of the company/undertaking. Polyvinyl Butyral Sds.
From www.alibaba.com
Polyvinyl Butyral Pvb Resin B1294sy Raw Material Chemical For Paint Polyvinyl Butyral Sds This chemical is considered hazardous according to the 2012 osha hazard communication standard (29 cfr. Identification of the substance/mixture and of the company/undertaking. Polyvinyl butyral (pvb) supplier safety data sheet; Version 5.0 revision date 04/03/2017 print date 11/10/2018. Poly (vinyl butyral) catalog numbers: find out everything about the technical pvb resin mowital® in our safety data sheets (sds). Polyvinyl Butyral Sds.
From www.esaar.com
Polyvinyl Butryal (PVB) Resin ESAAR Polyvinyl Butyral Sds Version 5.0 revision date 04/03/2017 print date 11/10/2018. Identification of the substance/mixture and of the company/undertaking. Poly (vinyl butyral) catalog numbers: find out everything about the technical pvb resin mowital® in our safety data sheets (sds). Polyvinyl butyral (pvb) supplier safety data sheet; This chemical is considered hazardous according to the 2012 osha hazard communication standard (29 cfr. Polyvinyl Butyral Sds.
From scipoly.com
Poly(vinyl butyral) Polyvinyl Butyral Sds Version 5.0 revision date 04/03/2017 print date 11/10/2018. Identification of the substance/mixture and of the company/undertaking. Poly (vinyl butyral) catalog numbers: find out everything about the technical pvb resin mowital® in our safety data sheets (sds). Polyvinyl butyral (pvb) supplier safety data sheet; This chemical is considered hazardous according to the 2012 osha hazard communication standard (29 cfr. Polyvinyl Butyral Sds.
From docslib.org
Polyvinyl Alcohol Material Safety Data Sheet (MSDS) DocsLib Polyvinyl Butyral Sds This chemical is considered hazardous according to the 2012 osha hazard communication standard (29 cfr. Poly (vinyl butyral) catalog numbers: Identification of the substance/mixture and of the company/undertaking. find out everything about the technical pvb resin mowital® in our safety data sheets (sds). Polyvinyl butyral (pvb) supplier safety data sheet; Version 5.0 revision date 04/03/2017 print date 11/10/2018. Polyvinyl Butyral Sds.
From colorpigment.en.made-in-china.com
PVB Polyvinyl Butyral Resin for Printing Ink China Polyvinyl Butyral Polyvinyl Butyral Sds Version 5.0 revision date 04/03/2017 print date 11/10/2018. This chemical is considered hazardous according to the 2012 osha hazard communication standard (29 cfr. Poly (vinyl butyral) catalog numbers: find out everything about the technical pvb resin mowital® in our safety data sheets (sds). Polyvinyl butyral (pvb) supplier safety data sheet; Identification of the substance/mixture and of the company/undertaking. Polyvinyl Butyral Sds.
From www.kremer-pigmente.com
Polyvinyl butyral 30 Liants solubles dans des dissolvents Kremer Polyvinyl Butyral Sds Poly (vinyl butyral) catalog numbers: Polyvinyl butyral (pvb) supplier safety data sheet; Identification of the substance/mixture and of the company/undertaking. This chemical is considered hazardous according to the 2012 osha hazard communication standard (29 cfr. find out everything about the technical pvb resin mowital® in our safety data sheets (sds). Version 5.0 revision date 04/03/2017 print date 11/10/2018. Polyvinyl Butyral Sds.
From spectra.chem.ut.ee
Polyvinyl butyral Database of ATRFTIR spectra of various materials Polyvinyl Butyral Sds Poly (vinyl butyral) catalog numbers: find out everything about the technical pvb resin mowital® in our safety data sheets (sds). This chemical is considered hazardous according to the 2012 osha hazard communication standard (29 cfr. Identification of the substance/mixture and of the company/undertaking. Polyvinyl butyral (pvb) supplier safety data sheet; Version 5.0 revision date 04/03/2017 print date 11/10/2018. Polyvinyl Butyral Sds.
From www.scribd.com
SDS Polyvinyl Alcohol Denka PDF Polyvinyl Butyral Sds Polyvinyl butyral (pvb) supplier safety data sheet; Version 5.0 revision date 04/03/2017 print date 11/10/2018. This chemical is considered hazardous according to the 2012 osha hazard communication standard (29 cfr. find out everything about the technical pvb resin mowital® in our safety data sheets (sds). Poly (vinyl butyral) catalog numbers: Identification of the substance/mixture and of the company/undertaking. Polyvinyl Butyral Sds.
From www.labshop.nl
Polyvinyl Butyral 30 (PVB) Polyvinyl Butyral Sds Version 5.0 revision date 04/03/2017 print date 11/10/2018. Identification of the substance/mixture and of the company/undertaking. find out everything about the technical pvb resin mowital® in our safety data sheets (sds). Polyvinyl butyral (pvb) supplier safety data sheet; Poly (vinyl butyral) catalog numbers: This chemical is considered hazardous according to the 2012 osha hazard communication standard (29 cfr. Polyvinyl Butyral Sds.
From www.pat.org.uk
Polyvinyl Butyral Resins PAT Testing Polyvinyl Butyral Sds Poly (vinyl butyral) catalog numbers: Polyvinyl butyral (pvb) supplier safety data sheet; This chemical is considered hazardous according to the 2012 osha hazard communication standard (29 cfr. find out everything about the technical pvb resin mowital® in our safety data sheets (sds). Version 5.0 revision date 04/03/2017 print date 11/10/2018. Identification of the substance/mixture and of the company/undertaking. Polyvinyl Butyral Sds.
From www.researchgate.net
(PDF) Comparisons between Polyvinyl Alcohol (PVOH) and Sodium Dodecyl Polyvinyl Butyral Sds Poly (vinyl butyral) catalog numbers: Version 5.0 revision date 04/03/2017 print date 11/10/2018. find out everything about the technical pvb resin mowital® in our safety data sheets (sds). Identification of the substance/mixture and of the company/undertaking. Polyvinyl butyral (pvb) supplier safety data sheet; This chemical is considered hazardous according to the 2012 osha hazard communication standard (29 cfr. Polyvinyl Butyral Sds.
From facultyprofile.raisoni.net
ผงสีขาว Polyvinyl Butyral Pvb, 46 OFF Polyvinyl Butyral Sds Identification of the substance/mixture and of the company/undertaking. Polyvinyl butyral (pvb) supplier safety data sheet; Version 5.0 revision date 04/03/2017 print date 11/10/2018. find out everything about the technical pvb resin mowital® in our safety data sheets (sds). This chemical is considered hazardous according to the 2012 osha hazard communication standard (29 cfr. Poly (vinyl butyral) catalog numbers: Polyvinyl Butyral Sds.
From www.tanyunchem.com
Polyvinyl Butyral resin/ PVBTanyun Polyvinyl Butyral Sds Polyvinyl butyral (pvb) supplier safety data sheet; find out everything about the technical pvb resin mowital® in our safety data sheets (sds). This chemical is considered hazardous according to the 2012 osha hazard communication standard (29 cfr. Identification of the substance/mixture and of the company/undertaking. Poly (vinyl butyral) catalog numbers: Version 5.0 revision date 04/03/2017 print date 11/10/2018. Polyvinyl Butyral Sds.
From hydrobalance.com
PVE 68 POLYVINYL ETHER Polyvinyl Butyral Sds This chemical is considered hazardous according to the 2012 osha hazard communication standard (29 cfr. Poly (vinyl butyral) catalog numbers: Polyvinyl butyral (pvb) supplier safety data sheet; Identification of the substance/mixture and of the company/undertaking. find out everything about the technical pvb resin mowital® in our safety data sheets (sds). Version 5.0 revision date 04/03/2017 print date 11/10/2018. Polyvinyl Butyral Sds.
From www.researchgate.net
Schematic representation of polyvinyl butyral/graphene quantum dot Polyvinyl Butyral Sds This chemical is considered hazardous according to the 2012 osha hazard communication standard (29 cfr. Version 5.0 revision date 04/03/2017 print date 11/10/2018. find out everything about the technical pvb resin mowital® in our safety data sheets (sds). Poly (vinyl butyral) catalog numbers: Polyvinyl butyral (pvb) supplier safety data sheet; Identification of the substance/mixture and of the company/undertaking. Polyvinyl Butyral Sds.
From www.semanticscholar.org
polyvinyl butyral resin Semantic Scholar Polyvinyl Butyral Sds find out everything about the technical pvb resin mowital® in our safety data sheets (sds). Polyvinyl butyral (pvb) supplier safety data sheet; This chemical is considered hazardous according to the 2012 osha hazard communication standard (29 cfr. Poly (vinyl butyral) catalog numbers: Version 5.0 revision date 04/03/2017 print date 11/10/2018. Identification of the substance/mixture and of the company/undertaking. Polyvinyl Butyral Sds.
From www.tanyunchem.com
Polyvinyl Butyral resinTanyun Polyvinyl Butyral Sds Version 5.0 revision date 04/03/2017 print date 11/10/2018. Polyvinyl butyral (pvb) supplier safety data sheet; find out everything about the technical pvb resin mowital® in our safety data sheets (sds). Identification of the substance/mixture and of the company/undertaking. Poly (vinyl butyral) catalog numbers: This chemical is considered hazardous according to the 2012 osha hazard communication standard (29 cfr. Polyvinyl Butyral Sds.
From www.semanticscholar.org
polyvinyl butyral resin Semantic Scholar Polyvinyl Butyral Sds find out everything about the technical pvb resin mowital® in our safety data sheets (sds). Poly (vinyl butyral) catalog numbers: Version 5.0 revision date 04/03/2017 print date 11/10/2018. Identification of the substance/mixture and of the company/undertaking. This chemical is considered hazardous according to the 2012 osha hazard communication standard (29 cfr. Polyvinyl butyral (pvb) supplier safety data sheet; Polyvinyl Butyral Sds.
From dir.indiamart.com
Polyvinyl Butyral Resin Butyral Resin Latest Price, Manufacturers Polyvinyl Butyral Sds Version 5.0 revision date 04/03/2017 print date 11/10/2018. This chemical is considered hazardous according to the 2012 osha hazard communication standard (29 cfr. Identification of the substance/mixture and of the company/undertaking. Poly (vinyl butyral) catalog numbers: find out everything about the technical pvb resin mowital® in our safety data sheets (sds). Polyvinyl butyral (pvb) supplier safety data sheet; Polyvinyl Butyral Sds.
From pillbuys.com
Buy Polyvinyl butyral Polyvinyl Butyral Sds Poly (vinyl butyral) catalog numbers: This chemical is considered hazardous according to the 2012 osha hazard communication standard (29 cfr. Polyvinyl butyral (pvb) supplier safety data sheet; Version 5.0 revision date 04/03/2017 print date 11/10/2018. Identification of the substance/mixture and of the company/undertaking. find out everything about the technical pvb resin mowital® in our safety data sheets (sds). Polyvinyl Butyral Sds.
From korean.alibaba.com
Polyvinyl Butyral Pvb 적층 필름 건축 유리 Buy Polyol 라미네이트 필름 접합된 유리 필름 Pvb Polyvinyl Butyral Sds This chemical is considered hazardous according to the 2012 osha hazard communication standard (29 cfr. Version 5.0 revision date 04/03/2017 print date 11/10/2018. Poly (vinyl butyral) catalog numbers: Identification of the substance/mixture and of the company/undertaking. find out everything about the technical pvb resin mowital® in our safety data sheets (sds). Polyvinyl butyral (pvb) supplier safety data sheet; Polyvinyl Butyral Sds.
From www.scribd.com
SDS Hardtop XP Comp. A With LC Marine Protective English (Uk Polyvinyl Butyral Sds find out everything about the technical pvb resin mowital® in our safety data sheets (sds). This chemical is considered hazardous according to the 2012 osha hazard communication standard (29 cfr. Polyvinyl butyral (pvb) supplier safety data sheet; Poly (vinyl butyral) catalog numbers: Identification of the substance/mixture and of the company/undertaking. Version 5.0 revision date 04/03/2017 print date 11/10/2018. Polyvinyl Butyral Sds.
From www.myskinrecipes.com
Polyvinyl butyral (PVB B03HX) Polyvinyl Butyral Sds This chemical is considered hazardous according to the 2012 osha hazard communication standard (29 cfr. Version 5.0 revision date 04/03/2017 print date 11/10/2018. Identification of the substance/mixture and of the company/undertaking. Poly (vinyl butyral) catalog numbers: Polyvinyl butyral (pvb) supplier safety data sheet; find out everything about the technical pvb resin mowital® in our safety data sheets (sds). Polyvinyl Butyral Sds.
From www.u-helmich.de
Polyvinylbutyral Polyvinyl Butyral Sds Poly (vinyl butyral) catalog numbers: This chemical is considered hazardous according to the 2012 osha hazard communication standard (29 cfr. Identification of the substance/mixture and of the company/undertaking. Version 5.0 revision date 04/03/2017 print date 11/10/2018. find out everything about the technical pvb resin mowital® in our safety data sheets (sds). Polyvinyl butyral (pvb) supplier safety data sheet; Polyvinyl Butyral Sds.
From www.tanyunchem.com
PVB resinPolyvinyl ButyralSupplier Polyvinyl Butyral Sds Polyvinyl butyral (pvb) supplier safety data sheet; Poly (vinyl butyral) catalog numbers: Identification of the substance/mixture and of the company/undertaking. Version 5.0 revision date 04/03/2017 print date 11/10/2018. find out everything about the technical pvb resin mowital® in our safety data sheets (sds). This chemical is considered hazardous according to the 2012 osha hazard communication standard (29 cfr. Polyvinyl Butyral Sds.
From www.elephchem.com
Polyvinyl butyral resin (PVB) manufacturer,Polyvinyl butyral resin (PVB Polyvinyl Butyral Sds This chemical is considered hazardous according to the 2012 osha hazard communication standard (29 cfr. Version 5.0 revision date 04/03/2017 print date 11/10/2018. Polyvinyl butyral (pvb) supplier safety data sheet; find out everything about the technical pvb resin mowital® in our safety data sheets (sds). Poly (vinyl butyral) catalog numbers: Identification of the substance/mixture and of the company/undertaking. Polyvinyl Butyral Sds.
From www.tradeindia.com
Polyvinyl Butyral Resin at 350.00 INR in New Delhi, Delhi Swastik Polyvinyl Butyral Sds Polyvinyl butyral (pvb) supplier safety data sheet; Poly (vinyl butyral) catalog numbers: Version 5.0 revision date 04/03/2017 print date 11/10/2018. find out everything about the technical pvb resin mowital® in our safety data sheets (sds). This chemical is considered hazardous according to the 2012 osha hazard communication standard (29 cfr. Identification of the substance/mixture and of the company/undertaking. Polyvinyl Butyral Sds.
From www.semanticscholar.org
Figure 2 from Novel Polyvinyl Butyral/Monoacylglycerol Nanofibrous Polyvinyl Butyral Sds Version 5.0 revision date 04/03/2017 print date 11/10/2018. This chemical is considered hazardous according to the 2012 osha hazard communication standard (29 cfr. Identification of the substance/mixture and of the company/undertaking. Polyvinyl butyral (pvb) supplier safety data sheet; Poly (vinyl butyral) catalog numbers: find out everything about the technical pvb resin mowital® in our safety data sheets (sds). Polyvinyl Butyral Sds.
From vatgia.com
Polyvinyl Butyral (Hoặc Pvb) Polyvinyl Butyral Sds Version 5.0 revision date 04/03/2017 print date 11/10/2018. Polyvinyl butyral (pvb) supplier safety data sheet; Identification of the substance/mixture and of the company/undertaking. This chemical is considered hazardous according to the 2012 osha hazard communication standard (29 cfr. find out everything about the technical pvb resin mowital® in our safety data sheets (sds). Poly (vinyl butyral) catalog numbers: Polyvinyl Butyral Sds.
From www.lookchem.com
CAS No.63148652,Polyvinyl butyral Suppliers,MSDS download Polyvinyl Butyral Sds Poly (vinyl butyral) catalog numbers: find out everything about the technical pvb resin mowital® in our safety data sheets (sds). Polyvinyl butyral (pvb) supplier safety data sheet; Identification of the substance/mixture and of the company/undertaking. Version 5.0 revision date 04/03/2017 print date 11/10/2018. This chemical is considered hazardous according to the 2012 osha hazard communication standard (29 cfr. Polyvinyl Butyral Sds.