Questions On Unitary Matrices . Utu = uut = i. A unitary matrix is a complex square matrix whose columns (and rows) are orthonormal. Yes, if a is a unitary matrix then its its conjugate transpose and inverse are also unitary matrices. Equivalently, a complex matrix u is unitary if u−1 = uh, and a real matrix is orthogonal if u−1 = ut. A matrix is unitary, if and only if its transpose is unitary. It has the remarkable property that its inverse is equal to its conjugate transpose. And is u called orthogonal. A matrix is unitary if its rows are orthonormal, and the columns are orthonormal. This tag is for questions relating to unitary matrices which are comprise a class of matrices that have the remarkable properties that as. On this post we explain what the unitary matrix is and, in addition, we analyze. (with examples and its properties) unitary matrix.
from www.numerade.com
On this post we explain what the unitary matrix is and, in addition, we analyze. (with examples and its properties) unitary matrix. A matrix is unitary, if and only if its transpose is unitary. A matrix is unitary if its rows are orthonormal, and the columns are orthonormal. Equivalently, a complex matrix u is unitary if u−1 = uh, and a real matrix is orthogonal if u−1 = ut. Utu = uut = i. A unitary matrix is a complex square matrix whose columns (and rows) are orthonormal. Yes, if a is a unitary matrix then its its conjugate transpose and inverse are also unitary matrices. This tag is for questions relating to unitary matrices which are comprise a class of matrices that have the remarkable properties that as. It has the remarkable property that its inverse is equal to its conjugate transpose.
SOLVED B Consider the following matrix (5 4 2 1 a) Find the
Questions On Unitary Matrices (with examples and its properties) unitary matrix. A matrix is unitary if its rows are orthonormal, and the columns are orthonormal. And is u called orthogonal. Equivalently, a complex matrix u is unitary if u−1 = uh, and a real matrix is orthogonal if u−1 = ut. It has the remarkable property that its inverse is equal to its conjugate transpose. On this post we explain what the unitary matrix is and, in addition, we analyze. A unitary matrix is a complex square matrix whose columns (and rows) are orthonormal. (with examples and its properties) unitary matrix. Utu = uut = i. A matrix is unitary, if and only if its transpose is unitary. This tag is for questions relating to unitary matrices which are comprise a class of matrices that have the remarkable properties that as. Yes, if a is a unitary matrix then its its conjugate transpose and inverse are also unitary matrices.
From www.chegg.com
Solved How many of the following five matrices are unitary Questions On Unitary Matrices On this post we explain what the unitary matrix is and, in addition, we analyze. Equivalently, a complex matrix u is unitary if u−1 = uh, and a real matrix is orthogonal if u−1 = ut. (with examples and its properties) unitary matrix. A matrix is unitary, if and only if its transpose is unitary. Utu = uut = i.. Questions On Unitary Matrices.
From www.chegg.com
Solved Hermitian and Unitary Matrices (a) Let A be a unitary Questions On Unitary Matrices And is u called orthogonal. Equivalently, a complex matrix u is unitary if u−1 = uh, and a real matrix is orthogonal if u−1 = ut. This tag is for questions relating to unitary matrices which are comprise a class of matrices that have the remarkable properties that as. A unitary matrix is a complex square matrix whose columns (and. Questions On Unitary Matrices.
From docslib.org
UnitaryAndHermitianMatrices.Pdf DocsLib Questions On Unitary Matrices On this post we explain what the unitary matrix is and, in addition, we analyze. It has the remarkable property that its inverse is equal to its conjugate transpose. Equivalently, a complex matrix u is unitary if u−1 = uh, and a real matrix is orthogonal if u−1 = ut. Yes, if a is a unitary matrix then its its. Questions On Unitary Matrices.
From www.slideserve.com
PPT Row and column matrices are sometimes called row vectors and Questions On Unitary Matrices A unitary matrix is a complex square matrix whose columns (and rows) are orthonormal. Equivalently, a complex matrix u is unitary if u−1 = uh, and a real matrix is orthogonal if u−1 = ut. A matrix is unitary if its rows are orthonormal, and the columns are orthonormal. It has the remarkable property that its inverse is equal to. Questions On Unitary Matrices.
From mathoverflow.net
lie groups Does there exist a Python package that samples random Questions On Unitary Matrices On this post we explain what the unitary matrix is and, in addition, we analyze. A matrix is unitary, if and only if its transpose is unitary. It has the remarkable property that its inverse is equal to its conjugate transpose. Yes, if a is a unitary matrix then its its conjugate transpose and inverse are also unitary matrices. A. Questions On Unitary Matrices.
From www.chegg.com
Solved Show that the following matrices are real symmetric Questions On Unitary Matrices On this post we explain what the unitary matrix is and, in addition, we analyze. A matrix is unitary, if and only if its transpose is unitary. A matrix is unitary if its rows are orthonormal, and the columns are orthonormal. This tag is for questions relating to unitary matrices which are comprise a class of matrices that have the. Questions On Unitary Matrices.
From www.transtutors.com
(Get Answer) Determine If The Following Matrices Are Unitary. 3 3+ I Questions On Unitary Matrices A matrix is unitary if its rows are orthonormal, and the columns are orthonormal. A matrix is unitary, if and only if its transpose is unitary. On this post we explain what the unitary matrix is and, in addition, we analyze. Equivalently, a complex matrix u is unitary if u−1 = uh, and a real matrix is orthogonal if u−1. Questions On Unitary Matrices.
From www.studocu.com
Chapter 8 Hermitian and Unitary Matrices Chapter 8 Hermitian Questions On Unitary Matrices Utu = uut = i. And is u called orthogonal. On this post we explain what the unitary matrix is and, in addition, we analyze. A unitary matrix is a complex square matrix whose columns (and rows) are orthonormal. This tag is for questions relating to unitary matrices which are comprise a class of matrices that have the remarkable properties. Questions On Unitary Matrices.
From byjus.com
Important Questions for Class 12 Maths Chapter 3 Matrices Questions On Unitary Matrices Equivalently, a complex matrix u is unitary if u−1 = uh, and a real matrix is orthogonal if u−1 = ut. On this post we explain what the unitary matrix is and, in addition, we analyze. A unitary matrix is a complex square matrix whose columns (and rows) are orthonormal. A matrix is unitary, if and only if its transpose. Questions On Unitary Matrices.
From byjus.com
Important Questions for Class 12 Maths Chapter 3 Matrices Questions On Unitary Matrices Equivalently, a complex matrix u is unitary if u−1 = uh, and a real matrix is orthogonal if u−1 = ut. And is u called orthogonal. This tag is for questions relating to unitary matrices which are comprise a class of matrices that have the remarkable properties that as. It has the remarkable property that its inverse is equal to. Questions On Unitary Matrices.
From scoop.eduncle.com
Find orthogonal matrix and unitary matrix Questions On Unitary Matrices A matrix is unitary if its rows are orthonormal, and the columns are orthonormal. Utu = uut = i. It has the remarkable property that its inverse is equal to its conjugate transpose. Equivalently, a complex matrix u is unitary if u−1 = uh, and a real matrix is orthogonal if u−1 = ut. A matrix is unitary, if and. Questions On Unitary Matrices.
From www.studiestoday.com
CBSE Class 12 Mathematics Matrices And Determinants Worksheet Questions On Unitary Matrices Equivalently, a complex matrix u is unitary if u−1 = uh, and a real matrix is orthogonal if u−1 = ut. And is u called orthogonal. (with examples and its properties) unitary matrix. A matrix is unitary, if and only if its transpose is unitary. Utu = uut = i. Yes, if a is a unitary matrix then its its. Questions On Unitary Matrices.
From www.chegg.com
Solved Exercise 9. Find orthogonal or unitary matrices that Questions On Unitary Matrices And is u called orthogonal. (with examples and its properties) unitary matrix. Equivalently, a complex matrix u is unitary if u−1 = uh, and a real matrix is orthogonal if u−1 = ut. Utu = uut = i. A unitary matrix is a complex square matrix whose columns (and rows) are orthonormal. It has the remarkable property that its inverse. Questions On Unitary Matrices.
From courses.cs.washington.edu
Unitary matrices Questions On Unitary Matrices A matrix is unitary, if and only if its transpose is unitary. This tag is for questions relating to unitary matrices which are comprise a class of matrices that have the remarkable properties that as. A unitary matrix is a complex square matrix whose columns (and rows) are orthonormal. A matrix is unitary if its rows are orthonormal, and the. Questions On Unitary Matrices.
From www.revisely.com
Matrices Questions Revisely Questions On Unitary Matrices And is u called orthogonal. This tag is for questions relating to unitary matrices which are comprise a class of matrices that have the remarkable properties that as. A unitary matrix is a complex square matrix whose columns (and rows) are orthonormal. A matrix is unitary, if and only if its transpose is unitary. (with examples and its properties) unitary. Questions On Unitary Matrices.
From math.stackexchange.com
linear algebra A unitary matrix preserves the sum of the modulus Questions On Unitary Matrices It has the remarkable property that its inverse is equal to its conjugate transpose. On this post we explain what the unitary matrix is and, in addition, we analyze. And is u called orthogonal. Yes, if a is a unitary matrix then its its conjugate transpose and inverse are also unitary matrices. A matrix is unitary if its rows are. Questions On Unitary Matrices.
From www.chegg.com
Solved Find out if the following matrices are unitary Questions On Unitary Matrices A matrix is unitary, if and only if its transpose is unitary. Equivalently, a complex matrix u is unitary if u−1 = uh, and a real matrix is orthogonal if u−1 = ut. This tag is for questions relating to unitary matrices which are comprise a class of matrices that have the remarkable properties that as. Utu = uut =. Questions On Unitary Matrices.
From www.scribd.com
CH 3 Matrices Multiple Choice Questions (With Answers) PDF Matrix Questions On Unitary Matrices Yes, if a is a unitary matrix then its its conjugate transpose and inverse are also unitary matrices. It has the remarkable property that its inverse is equal to its conjugate transpose. Utu = uut = i. A unitary matrix is a complex square matrix whose columns (and rows) are orthonormal. (with examples and its properties) unitary matrix. A matrix. Questions On Unitary Matrices.
From infinitylearn.com
Important Questions for Class 12 Maths Chapter 3 Matrices Questions On Unitary Matrices Utu = uut = i. A unitary matrix is a complex square matrix whose columns (and rows) are orthonormal. This tag is for questions relating to unitary matrices which are comprise a class of matrices that have the remarkable properties that as. It has the remarkable property that its inverse is equal to its conjugate transpose. (with examples and its. Questions On Unitary Matrices.
From www.coursehero.com
[Solved] QUESTION 6 Is matrix D Hermitian? SkewHermitian? Unitary Questions On Unitary Matrices Equivalently, a complex matrix u is unitary if u−1 = uh, and a real matrix is orthogonal if u−1 = ut. A matrix is unitary, if and only if its transpose is unitary. Utu = uut = i. Yes, if a is a unitary matrix then its its conjugate transpose and inverse are also unitary matrices. It has the remarkable. Questions On Unitary Matrices.
From www.youtube.com
What is a Unitary Matrix and How to Prove that a Matrix is Unitary Questions On Unitary Matrices It has the remarkable property that its inverse is equal to its conjugate transpose. (with examples and its properties) unitary matrix. A matrix is unitary, if and only if its transpose is unitary. Yes, if a is a unitary matrix then its its conjugate transpose and inverse are also unitary matrices. This tag is for questions relating to unitary matrices. Questions On Unitary Matrices.
From www.studypool.com
SOLUTION Matrices and determinants questions practice Studypool Questions On Unitary Matrices Yes, if a is a unitary matrix then its its conjugate transpose and inverse are also unitary matrices. Utu = uut = i. And is u called orthogonal. A matrix is unitary if its rows are orthonormal, and the columns are orthonormal. A unitary matrix is a complex square matrix whose columns (and rows) are orthonormal. On this post we. Questions On Unitary Matrices.
From www.youtube.com
Linear Algebra 98, Unitary Matrices YouTube Questions On Unitary Matrices This tag is for questions relating to unitary matrices which are comprise a class of matrices that have the remarkable properties that as. A unitary matrix is a complex square matrix whose columns (and rows) are orthonormal. It has the remarkable property that its inverse is equal to its conjugate transpose. Yes, if a is a unitary matrix then its. Questions On Unitary Matrices.
From www.chegg.com
Solved = Problem 2 (Orthogonal and Unitary Matrices) You Questions On Unitary Matrices It has the remarkable property that its inverse is equal to its conjugate transpose. Yes, if a is a unitary matrix then its its conjugate transpose and inverse are also unitary matrices. A matrix is unitary, if and only if its transpose is unitary. (with examples and its properties) unitary matrix. And is u called orthogonal. Equivalently, a complex matrix. Questions On Unitary Matrices.
From www.chegg.com
Solved Q If you know the matrices for spin 1 operators 0 1 Questions On Unitary Matrices Utu = uut = i. A matrix is unitary, if and only if its transpose is unitary. And is u called orthogonal. This tag is for questions relating to unitary matrices which are comprise a class of matrices that have the remarkable properties that as. Yes, if a is a unitary matrix then its its conjugate transpose and inverse are. Questions On Unitary Matrices.
From www.studocu.com
MT2800 Slides 6 Orthogonal and unitary matrices Definition 10 matrix Questions On Unitary Matrices And is u called orthogonal. (with examples and its properties) unitary matrix. A matrix is unitary if its rows are orthonormal, and the columns are orthonormal. This tag is for questions relating to unitary matrices which are comprise a class of matrices that have the remarkable properties that as. On this post we explain what the unitary matrix is and,. Questions On Unitary Matrices.
From www.numerade.com
SOLVED B Consider the following matrix (5 4 2 1 a) Find the Questions On Unitary Matrices It has the remarkable property that its inverse is equal to its conjugate transpose. On this post we explain what the unitary matrix is and, in addition, we analyze. A matrix is unitary if its rows are orthonormal, and the columns are orthonormal. A unitary matrix is a complex square matrix whose columns (and rows) are orthonormal. Utu = uut. Questions On Unitary Matrices.
From talisman-intl.com
👍 Unitary matrix example. Test whether a matrix is unitary. 20190126 Questions On Unitary Matrices A unitary matrix is a complex square matrix whose columns (and rows) are orthonormal. On this post we explain what the unitary matrix is and, in addition, we analyze. And is u called orthogonal. This tag is for questions relating to unitary matrices which are comprise a class of matrices that have the remarkable properties that as. Utu = uut. Questions On Unitary Matrices.
From www.chegg.com
Solved Problem 1. (Normal matrices] In the notes we have Questions On Unitary Matrices A matrix is unitary, if and only if its transpose is unitary. On this post we explain what the unitary matrix is and, in addition, we analyze. Utu = uut = i. A matrix is unitary if its rows are orthonormal, and the columns are orthonormal. A unitary matrix is a complex square matrix whose columns (and rows) are orthonormal.. Questions On Unitary Matrices.
From byjus.com
Important Questions for Class 12 Maths Chapter 3 Matrices Questions On Unitary Matrices Yes, if a is a unitary matrix then its its conjugate transpose and inverse are also unitary matrices. It has the remarkable property that its inverse is equal to its conjugate transpose. A matrix is unitary if its rows are orthonormal, and the columns are orthonormal. A unitary matrix is a complex square matrix whose columns (and rows) are orthonormal.. Questions On Unitary Matrices.
From byjus.com
Important Questions for Class 12 Maths Chapter 3 Matrices Questions On Unitary Matrices (with examples and its properties) unitary matrix. This tag is for questions relating to unitary matrices which are comprise a class of matrices that have the remarkable properties that as. On this post we explain what the unitary matrix is and, in addition, we analyze. Utu = uut = i. And is u called orthogonal. A matrix is unitary, if. Questions On Unitary Matrices.
From mathoverflow.net
fa.functional analysis Continuous path of unitary matrices with Questions On Unitary Matrices Equivalently, a complex matrix u is unitary if u−1 = uh, and a real matrix is orthogonal if u−1 = ut. A matrix is unitary, if and only if its transpose is unitary. A unitary matrix is a complex square matrix whose columns (and rows) are orthonormal. This tag is for questions relating to unitary matrices which are comprise a. Questions On Unitary Matrices.
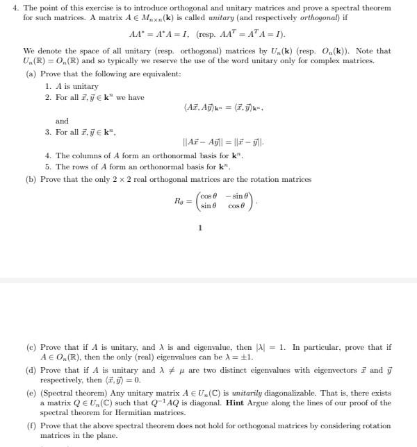
From www.chegg.com
Solved 4. The point of this exercise is to introduce Questions On Unitary Matrices A unitary matrix is a complex square matrix whose columns (and rows) are orthonormal. (with examples and its properties) unitary matrix. And is u called orthogonal. Yes, if a is a unitary matrix then its its conjugate transpose and inverse are also unitary matrices. This tag is for questions relating to unitary matrices which are comprise a class of matrices. Questions On Unitary Matrices.
From byjus.com
Important Questions for Class 12 Maths Chapter 3 Matrices Questions On Unitary Matrices And is u called orthogonal. A matrix is unitary if its rows are orthonormal, and the columns are orthonormal. This tag is for questions relating to unitary matrices which are comprise a class of matrices that have the remarkable properties that as. (with examples and its properties) unitary matrix. A matrix is unitary, if and only if its transpose is. Questions On Unitary Matrices.
From www.studypool.com
SOLUTION Caley hamilton theorem hermitian and skew hermitian matrix Questions On Unitary Matrices (with examples and its properties) unitary matrix. This tag is for questions relating to unitary matrices which are comprise a class of matrices that have the remarkable properties that as. It has the remarkable property that its inverse is equal to its conjugate transpose. Yes, if a is a unitary matrix then its its conjugate transpose and inverse are also. Questions On Unitary Matrices.