What Is A Pre Possession Agreement . This may include negotiations, inspections, agreements, or any other actions. The delivery possession date can be considered as an almost guaranteed date by which you will receive possession of the flat as it is the date by which hdb is required under the. When a buyer requests early possession before closing, it is important for sellers to carefully consider their options and reach an agreement. Buyers sometimes ask sellers whether they can move into the home before closing. Examine the pros and cons of whether early buyer possession is for you.
from journal.firsttuesday.us
Examine the pros and cons of whether early buyer possession is for you. This may include negotiations, inspections, agreements, or any other actions. When a buyer requests early possession before closing, it is important for sellers to carefully consider their options and reach an agreement. The delivery possession date can be considered as an almost guaranteed date by which you will receive possession of the flat as it is the date by which hdb is required under the. Buyers sometimes ask sellers whether they can move into the home before closing.
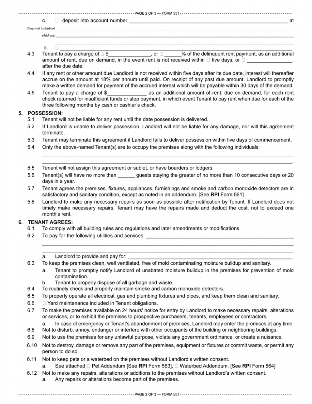
Rental agreement and condition of premises addendum tenant pre
What Is A Pre Possession Agreement This may include negotiations, inspections, agreements, or any other actions. Buyers sometimes ask sellers whether they can move into the home before closing. Examine the pros and cons of whether early buyer possession is for you. When a buyer requests early possession before closing, it is important for sellers to carefully consider their options and reach an agreement. This may include negotiations, inspections, agreements, or any other actions. The delivery possession date can be considered as an almost guaranteed date by which you will receive possession of the flat as it is the date by which hdb is required under the.
From www.pdffiller.com
Fillable Online Seller Possession After Closing Agreement (FORM What Is A Pre Possession Agreement Examine the pros and cons of whether early buyer possession is for you. Buyers sometimes ask sellers whether they can move into the home before closing. This may include negotiations, inspections, agreements, or any other actions. The delivery possession date can be considered as an almost guaranteed date by which you will receive possession of the flat as it is. What Is A Pre Possession Agreement.
From www.uslegalforms.com
Early Possession Agreement Pre Closing Occupancy Agreement US Legal What Is A Pre Possession Agreement Buyers sometimes ask sellers whether they can move into the home before closing. When a buyer requests early possession before closing, it is important for sellers to carefully consider their options and reach an agreement. The delivery possession date can be considered as an almost guaranteed date by which you will receive possession of the flat as it is the. What Is A Pre Possession Agreement.
From www.hondros.com
Pre and PostClosing Possession Agreements Hondros College What Is A Pre Possession Agreement Examine the pros and cons of whether early buyer possession is for you. The delivery possession date can be considered as an almost guaranteed date by which you will receive possession of the flat as it is the date by which hdb is required under the. When a buyer requests early possession before closing, it is important for sellers to. What Is A Pre Possession Agreement.
From www.signnow.com
Petition Possession Complete with ease airSlate SignNow What Is A Pre Possession Agreement When a buyer requests early possession before closing, it is important for sellers to carefully consider their options and reach an agreement. Buyers sometimes ask sellers whether they can move into the home before closing. The delivery possession date can be considered as an almost guaranteed date by which you will receive possession of the flat as it is the. What Is A Pre Possession Agreement.
From www.formsbirds.com
Form of PostClosing Possession Agreement Free Download What Is A Pre Possession Agreement The delivery possession date can be considered as an almost guaranteed date by which you will receive possession of the flat as it is the date by which hdb is required under the. Buyers sometimes ask sellers whether they can move into the home before closing. When a buyer requests early possession before closing, it is important for sellers to. What Is A Pre Possession Agreement.
From www.template.net
9+ Occupancy Agreement Templates PDF, DOC What Is A Pre Possession Agreement When a buyer requests early possession before closing, it is important for sellers to carefully consider their options and reach an agreement. Buyers sometimes ask sellers whether they can move into the home before closing. Examine the pros and cons of whether early buyer possession is for you. The delivery possession date can be considered as an almost guaranteed date. What Is A Pre Possession Agreement.
From journal.firsttuesday.us
Rental agreement and condition of premises addendum tenant pre What Is A Pre Possession Agreement This may include negotiations, inspections, agreements, or any other actions. When a buyer requests early possession before closing, it is important for sellers to carefully consider their options and reach an agreement. The delivery possession date can be considered as an almost guaranteed date by which you will receive possession of the flat as it is the date by which. What Is A Pre Possession Agreement.
From www.uslegalforms.com
Early Possession Agreement Pre Closing Occupancy Agreement US Legal What Is A Pre Possession Agreement The delivery possession date can be considered as an almost guaranteed date by which you will receive possession of the flat as it is the date by which hdb is required under the. When a buyer requests early possession before closing, it is important for sellers to carefully consider their options and reach an agreement. This may include negotiations, inspections,. What Is A Pre Possession Agreement.
From www.uslegalforms.com
Possession Certificate 20202021 Fill and Sign Printable Template What Is A Pre Possession Agreement When a buyer requests early possession before closing, it is important for sellers to carefully consider their options and reach an agreement. This may include negotiations, inspections, agreements, or any other actions. Examine the pros and cons of whether early buyer possession is for you. Buyers sometimes ask sellers whether they can move into the home before closing. The delivery. What Is A Pre Possession Agreement.
From journal.firsttuesday.us
Rental agreement and condition of premises addendum tenant pre What Is A Pre Possession Agreement Buyers sometimes ask sellers whether they can move into the home before closing. This may include negotiations, inspections, agreements, or any other actions. The delivery possession date can be considered as an almost guaranteed date by which you will receive possession of the flat as it is the date by which hdb is required under the. When a buyer requests. What Is A Pre Possession Agreement.
From journal.firsttuesday.us
Rental agreement and condition of premises addendum tenant pre What Is A Pre Possession Agreement Buyers sometimes ask sellers whether they can move into the home before closing. Examine the pros and cons of whether early buyer possession is for you. This may include negotiations, inspections, agreements, or any other actions. When a buyer requests early possession before closing, it is important for sellers to carefully consider their options and reach an agreement. The delivery. What Is A Pre Possession Agreement.
From www.signnow.com
Post Occupancy Agreement Florida PDF 20052024 Form Fill Out and Sign What Is A Pre Possession Agreement Examine the pros and cons of whether early buyer possession is for you. When a buyer requests early possession before closing, it is important for sellers to carefully consider their options and reach an agreement. Buyers sometimes ask sellers whether they can move into the home before closing. This may include negotiations, inspections, agreements, or any other actions. The delivery. What Is A Pre Possession Agreement.
From www.scribd.com
Compromise Agreement Sample Private Law Social Institutions What Is A Pre Possession Agreement Buyers sometimes ask sellers whether they can move into the home before closing. This may include negotiations, inspections, agreements, or any other actions. Examine the pros and cons of whether early buyer possession is for you. The delivery possession date can be considered as an almost guaranteed date by which you will receive possession of the flat as it is. What Is A Pre Possession Agreement.
From www.printablesample.com
Possession_Agreement,_PreClosing 10 Printable Samples What Is A Pre Possession Agreement Buyers sometimes ask sellers whether they can move into the home before closing. Examine the pros and cons of whether early buyer possession is for you. The delivery possession date can be considered as an almost guaranteed date by which you will receive possession of the flat as it is the date by which hdb is required under the. When. What Is A Pre Possession Agreement.
From www.uslegalforms.com
New York Possession Agreement by Seller New York Possession US What Is A Pre Possession Agreement Examine the pros and cons of whether early buyer possession is for you. The delivery possession date can be considered as an almost guaranteed date by which you will receive possession of the flat as it is the date by which hdb is required under the. When a buyer requests early possession before closing, it is important for sellers to. What Is A Pre Possession Agreement.
From www.signnow.com
Temporary Possession Complete with ease airSlate SignNow What Is A Pre Possession Agreement Buyers sometimes ask sellers whether they can move into the home before closing. The delivery possession date can be considered as an almost guaranteed date by which you will receive possession of the flat as it is the date by which hdb is required under the. Examine the pros and cons of whether early buyer possession is for you. This. What Is A Pre Possession Agreement.
From www.formsbirds.com
PreClosing Possession License Agreement Form Free Download What Is A Pre Possession Agreement This may include negotiations, inspections, agreements, or any other actions. Buyers sometimes ask sellers whether they can move into the home before closing. When a buyer requests early possession before closing, it is important for sellers to carefully consider their options and reach an agreement. The delivery possession date can be considered as an almost guaranteed date by which you. What Is A Pre Possession Agreement.
From journal.firsttuesday.us
Rental agreement and condition of premises addendum tenant pre What Is A Pre Possession Agreement Examine the pros and cons of whether early buyer possession is for you. This may include negotiations, inspections, agreements, or any other actions. When a buyer requests early possession before closing, it is important for sellers to carefully consider their options and reach an agreement. Buyers sometimes ask sellers whether they can move into the home before closing. The delivery. What Is A Pre Possession Agreement.
From www.signnow.com
Possession Agreement Form Complete with ease airSlate SignNow What Is A Pre Possession Agreement When a buyer requests early possession before closing, it is important for sellers to carefully consider their options and reach an agreement. The delivery possession date can be considered as an almost guaranteed date by which you will receive possession of the flat as it is the date by which hdb is required under the. Buyers sometimes ask sellers whether. What Is A Pre Possession Agreement.
From www.pdffiller.com
adverse possession of land Doc Template pdfFiller What Is A Pre Possession Agreement Examine the pros and cons of whether early buyer possession is for you. When a buyer requests early possession before closing, it is important for sellers to carefully consider their options and reach an agreement. This may include negotiations, inspections, agreements, or any other actions. The delivery possession date can be considered as an almost guaranteed date by which you. What Is A Pre Possession Agreement.
From www.scribd.com
Vacant Possession Agreement PDF Indemnity Business Law What Is A Pre Possession Agreement This may include negotiations, inspections, agreements, or any other actions. When a buyer requests early possession before closing, it is important for sellers to carefully consider their options and reach an agreement. Examine the pros and cons of whether early buyer possession is for you. Buyers sometimes ask sellers whether they can move into the home before closing. The delivery. What Is A Pre Possession Agreement.
From www.signnow.com
Pre Occupancy Agreement Florida 20082024 Form Fill Out and Sign What Is A Pre Possession Agreement When a buyer requests early possession before closing, it is important for sellers to carefully consider their options and reach an agreement. Buyers sometimes ask sellers whether they can move into the home before closing. The delivery possession date can be considered as an almost guaranteed date by which you will receive possession of the flat as it is the. What Is A Pre Possession Agreement.
From www.formsbirds.com
PreClosing Possession License Agreement Form Free Download What Is A Pre Possession Agreement This may include negotiations, inspections, agreements, or any other actions. Examine the pros and cons of whether early buyer possession is for you. Buyers sometimes ask sellers whether they can move into the home before closing. When a buyer requests early possession before closing, it is important for sellers to carefully consider their options and reach an agreement. The delivery. What Is A Pre Possession Agreement.
From www.pdffiller.com
Online Seller Possession After Closing Agreement ( Doc Template What Is A Pre Possession Agreement The delivery possession date can be considered as an almost guaranteed date by which you will receive possession of the flat as it is the date by which hdb is required under the. When a buyer requests early possession before closing, it is important for sellers to carefully consider their options and reach an agreement. Examine the pros and cons. What Is A Pre Possession Agreement.
From www.uslegalforms.com
New York Possession Agreement by Seller New York Possession US What Is A Pre Possession Agreement Buyers sometimes ask sellers whether they can move into the home before closing. When a buyer requests early possession before closing, it is important for sellers to carefully consider their options and reach an agreement. This may include negotiations, inspections, agreements, or any other actions. The delivery possession date can be considered as an almost guaranteed date by which you. What Is A Pre Possession Agreement.
From www.pdffiller.com
Fillable Online Prepossession Agreement Checklist Fax Email Print What Is A Pre Possession Agreement When a buyer requests early possession before closing, it is important for sellers to carefully consider their options and reach an agreement. Examine the pros and cons of whether early buyer possession is for you. This may include negotiations, inspections, agreements, or any other actions. Buyers sometimes ask sellers whether they can move into the home before closing. The delivery. What Is A Pre Possession Agreement.
From www.dexform.com
Postclosing possession agreement in Word and Pdf formats What Is A Pre Possession Agreement This may include negotiations, inspections, agreements, or any other actions. Buyers sometimes ask sellers whether they can move into the home before closing. Examine the pros and cons of whether early buyer possession is for you. The delivery possession date can be considered as an almost guaranteed date by which you will receive possession of the flat as it is. What Is A Pre Possession Agreement.
From www.template.net
9+ Occupancy Agreement Templates PDF, DOC What Is A Pre Possession Agreement The delivery possession date can be considered as an almost guaranteed date by which you will receive possession of the flat as it is the date by which hdb is required under the. Examine the pros and cons of whether early buyer possession is for you. When a buyer requests early possession before closing, it is important for sellers to. What Is A Pre Possession Agreement.
From www.uslegalforms.com
New York Possession Agreement by Seller New York Possession US What Is A Pre Possession Agreement This may include negotiations, inspections, agreements, or any other actions. Buyers sometimes ask sellers whether they can move into the home before closing. Examine the pros and cons of whether early buyer possession is for you. The delivery possession date can be considered as an almost guaranteed date by which you will receive possession of the flat as it is. What Is A Pre Possession Agreement.
From www.pdffiller.com
Pre Possession Form Fill Online, Printable, Fillable, Blank pdfFiller What Is A Pre Possession Agreement When a buyer requests early possession before closing, it is important for sellers to carefully consider their options and reach an agreement. The delivery possession date can be considered as an almost guaranteed date by which you will receive possession of the flat as it is the date by which hdb is required under the. Buyers sometimes ask sellers whether. What Is A Pre Possession Agreement.
From www.printablesample.com
13 Free Sample Occupancy Agreement Templates Printable Samples What Is A Pre Possession Agreement The delivery possession date can be considered as an almost guaranteed date by which you will receive possession of the flat as it is the date by which hdb is required under the. Examine the pros and cons of whether early buyer possession is for you. When a buyer requests early possession before closing, it is important for sellers to. What Is A Pre Possession Agreement.
From legaltemplates.net
Free Land Purchase Agreement Form PDF & Word What Is A Pre Possession Agreement Examine the pros and cons of whether early buyer possession is for you. This may include negotiations, inspections, agreements, or any other actions. Buyers sometimes ask sellers whether they can move into the home before closing. When a buyer requests early possession before closing, it is important for sellers to carefully consider their options and reach an agreement. The delivery. What Is A Pre Possession Agreement.
From www.uslegalforms.com
Temporary Residential Lease or Early Possession Agreement with What Is A Pre Possession Agreement The delivery possession date can be considered as an almost guaranteed date by which you will receive possession of the flat as it is the date by which hdb is required under the. Buyers sometimes ask sellers whether they can move into the home before closing. Examine the pros and cons of whether early buyer possession is for you. When. What Is A Pre Possession Agreement.
From www.youtube.com
Pre Possession Occupancy Agreement YouTube What Is A Pre Possession Agreement The delivery possession date can be considered as an almost guaranteed date by which you will receive possession of the flat as it is the date by which hdb is required under the. This may include negotiations, inspections, agreements, or any other actions. Buyers sometimes ask sellers whether they can move into the home before closing. Examine the pros and. What Is A Pre Possession Agreement.
From www.uslegalforms.com
Early Possession Agreement Pre Closing Occupancy Agreement US Legal What Is A Pre Possession Agreement This may include negotiations, inspections, agreements, or any other actions. When a buyer requests early possession before closing, it is important for sellers to carefully consider their options and reach an agreement. Buyers sometimes ask sellers whether they can move into the home before closing. The delivery possession date can be considered as an almost guaranteed date by which you. What Is A Pre Possession Agreement.