Differential Geometry Calc 3 . (x1,y1,z1)and(2 2,z2), distance between them:p ( x 1 2)2+(y z midpoint: Calculus iii should really be renamed, the greatest hits of calculus. This book is intented as a modern introduction to differential geometry, at a level accessible to advanced undergraduate students. Calc is about the same difficulty as calc i and diffeq will make a little more sense after going through multivariable, assuming that's. This chapter is generally prep work for calculus iii and so we will cover the standard 3d coordinate system as well as a couple of. Study calculus online free by downloading volume 3 of openstax's college calculus textbook and using our accompanying online resources. I'd recommend calc iii before differential equations. Calculus 3 concepts cartesian coords in 3d given two points: We revisit all of the amazing theory we learned in calculus i and ii,.
from www.youtube.com
Calc is about the same difficulty as calc i and diffeq will make a little more sense after going through multivariable, assuming that's. Study calculus online free by downloading volume 3 of openstax's college calculus textbook and using our accompanying online resources. (x1,y1,z1)and(2 2,z2), distance between them:p ( x 1 2)2+(y z midpoint: Calculus iii should really be renamed, the greatest hits of calculus. This chapter is generally prep work for calculus iii and so we will cover the standard 3d coordinate system as well as a couple of. This book is intented as a modern introduction to differential geometry, at a level accessible to advanced undergraduate students. We revisit all of the amazing theory we learned in calculus i and ii,. I'd recommend calc iii before differential equations. Calculus 3 concepts cartesian coords in 3d given two points:
Learn differential calculus in 10 minutes YouTube
Differential Geometry Calc 3 Calculus 3 concepts cartesian coords in 3d given two points: We revisit all of the amazing theory we learned in calculus i and ii,. This chapter is generally prep work for calculus iii and so we will cover the standard 3d coordinate system as well as a couple of. Study calculus online free by downloading volume 3 of openstax's college calculus textbook and using our accompanying online resources. Calc is about the same difficulty as calc i and diffeq will make a little more sense after going through multivariable, assuming that's. Calculus iii should really be renamed, the greatest hits of calculus. Calculus 3 concepts cartesian coords in 3d given two points: I'd recommend calc iii before differential equations. (x1,y1,z1)and(2 2,z2), distance between them:p ( x 1 2)2+(y z midpoint: This book is intented as a modern introduction to differential geometry, at a level accessible to advanced undergraduate students.
From usfmath.github.io
Working Differential Geometry Grad MathUSF Differential Geometry Calc 3 I'd recommend calc iii before differential equations. We revisit all of the amazing theory we learned in calculus i and ii,. Calc is about the same difficulty as calc i and diffeq will make a little more sense after going through multivariable, assuming that's. This chapter is generally prep work for calculus iii and so we will cover the standard. Differential Geometry Calc 3.
From owlcation.com
What Is Calculus? A Beginner's Guide to Limits and Differentiation Differential Geometry Calc 3 We revisit all of the amazing theory we learned in calculus i and ii,. Calculus iii should really be renamed, the greatest hits of calculus. Calc is about the same difficulty as calc i and diffeq will make a little more sense after going through multivariable, assuming that's. Calculus 3 concepts cartesian coords in 3d given two points: I'd recommend. Differential Geometry Calc 3.
From www.tes.com
Calculus Differentiation Teaching Resources Differential Geometry Calc 3 Calculus iii should really be renamed, the greatest hits of calculus. This chapter is generally prep work for calculus iii and so we will cover the standard 3d coordinate system as well as a couple of. Calc is about the same difficulty as calc i and diffeq will make a little more sense after going through multivariable, assuming that's. This. Differential Geometry Calc 3.
From dxodbfmjh.blob.core.windows.net
Differential And Integral Method at Terence blog Differential Geometry Calc 3 We revisit all of the amazing theory we learned in calculus i and ii,. Calc is about the same difficulty as calc i and diffeq will make a little more sense after going through multivariable, assuming that's. I'd recommend calc iii before differential equations. This book is intented as a modern introduction to differential geometry, at a level accessible to. Differential Geometry Calc 3.
From www.slideserve.com
PPT Differential Calculus PowerPoint Presentation, free download ID Differential Geometry Calc 3 We revisit all of the amazing theory we learned in calculus i and ii,. This book is intented as a modern introduction to differential geometry, at a level accessible to advanced undergraduate students. (x1,y1,z1)and(2 2,z2), distance between them:p ( x 1 2)2+(y z midpoint: Calc is about the same difficulty as calc i and diffeq will make a little more. Differential Geometry Calc 3.
From www.pinterest.com.mx
Differential Calculus The Rules of Differentiation Differential Differential Geometry Calc 3 Calculus iii should really be renamed, the greatest hits of calculus. I'd recommend calc iii before differential equations. We revisit all of the amazing theory we learned in calculus i and ii,. This chapter is generally prep work for calculus iii and so we will cover the standard 3d coordinate system as well as a couple of. (x1,y1,z1)and(2 2,z2), distance. Differential Geometry Calc 3.
From msoid.ibuypower.com
Calc 3 Final Cheat Sheet Best Printable Resources Differential Geometry Calc 3 Study calculus online free by downloading volume 3 of openstax's college calculus textbook and using our accompanying online resources. We revisit all of the amazing theory we learned in calculus i and ii,. This chapter is generally prep work for calculus iii and so we will cover the standard 3d coordinate system as well as a couple of. (x1,y1,z1)and(2 2,z2),. Differential Geometry Calc 3.
From www.studypool.com
SOLUTION Math Differential calculus problem solving and solutions Differential Geometry Calc 3 We revisit all of the amazing theory we learned in calculus i and ii,. I'd recommend calc iii before differential equations. Calc is about the same difficulty as calc i and diffeq will make a little more sense after going through multivariable, assuming that's. Study calculus online free by downloading volume 3 of openstax's college calculus textbook and using our. Differential Geometry Calc 3.
From www.degruyter.com
Multivariable Calculus and Differential Geometry Differential Geometry Calc 3 Calc is about the same difficulty as calc i and diffeq will make a little more sense after going through multivariable, assuming that's. This chapter is generally prep work for calculus iii and so we will cover the standard 3d coordinate system as well as a couple of. Calculus iii should really be renamed, the greatest hits of calculus. (x1,y1,z1)and(2. Differential Geometry Calc 3.
From www.showme.com
6.3 Lesson 1 Logistic Differential Equation Math, Calculus ShowMe Differential Geometry Calc 3 Calculus 3 concepts cartesian coords in 3d given two points: Study calculus online free by downloading volume 3 of openstax's college calculus textbook and using our accompanying online resources. Calculus iii should really be renamed, the greatest hits of calculus. We revisit all of the amazing theory we learned in calculus i and ii,. This book is intented as a. Differential Geometry Calc 3.
From www.cuemath.com
Differential Calculus Terms, Formulas, Rules, Examples Differential Geometry Calc 3 Calculus 3 concepts cartesian coords in 3d given two points: We revisit all of the amazing theory we learned in calculus i and ii,. Calc is about the same difficulty as calc i and diffeq will make a little more sense after going through multivariable, assuming that's. (x1,y1,z1)and(2 2,z2), distance between them:p ( x 1 2)2+(y z midpoint: Study calculus. Differential Geometry Calc 3.
From schoolbag.info
Image Differential Geometry Calc 3 We revisit all of the amazing theory we learned in calculus i and ii,. I'd recommend calc iii before differential equations. Study calculus online free by downloading volume 3 of openstax's college calculus textbook and using our accompanying online resources. Calculus 3 concepts cartesian coords in 3d given two points: (x1,y1,z1)and(2 2,z2), distance between them:p ( x 1 2)2+(y z. Differential Geometry Calc 3.
From www.youtube.com
Elementary Differential Geometry by Barrett O Neil 5.3) Gaussian Differential Geometry Calc 3 Study calculus online free by downloading volume 3 of openstax's college calculus textbook and using our accompanying online resources. Calculus iii should really be renamed, the greatest hits of calculus. I'd recommend calc iii before differential equations. We revisit all of the amazing theory we learned in calculus i and ii,. (x1,y1,z1)and(2 2,z2), distance between them:p ( x 1 2)2+(y. Differential Geometry Calc 3.
From www.youtube.com
Calc III 15.2 pt 3 Line Integrals in Differential Form.avi YouTube Differential Geometry Calc 3 Calc is about the same difficulty as calc i and diffeq will make a little more sense after going through multivariable, assuming that's. (x1,y1,z1)and(2 2,z2), distance between them:p ( x 1 2)2+(y z midpoint: We revisit all of the amazing theory we learned in calculus i and ii,. Calculus iii should really be renamed, the greatest hits of calculus. This. Differential Geometry Calc 3.
From www.slideserve.com
PPT Calculus III PowerPoint Presentation, free download ID4494959 Differential Geometry Calc 3 Calc is about the same difficulty as calc i and diffeq will make a little more sense after going through multivariable, assuming that's. Calculus iii should really be renamed, the greatest hits of calculus. We revisit all of the amazing theory we learned in calculus i and ii,. I'd recommend calc iii before differential equations. (x1,y1,z1)and(2 2,z2), distance between them:p. Differential Geometry Calc 3.
From schoolbag.info
Image Differential Geometry Calc 3 I'd recommend calc iii before differential equations. This chapter is generally prep work for calculus iii and so we will cover the standard 3d coordinate system as well as a couple of. (x1,y1,z1)and(2 2,z2), distance between them:p ( x 1 2)2+(y z midpoint: We revisit all of the amazing theory we learned in calculus i and ii,. Calculus iii should. Differential Geometry Calc 3.
From www.youtube.com
Learn differential calculus in 10 minutes YouTube Differential Geometry Calc 3 (x1,y1,z1)and(2 2,z2), distance between them:p ( x 1 2)2+(y z midpoint: Study calculus online free by downloading volume 3 of openstax's college calculus textbook and using our accompanying online resources. Calc is about the same difficulty as calc i and diffeq will make a little more sense after going through multivariable, assuming that's. Calculus 3 concepts cartesian coords in 3d. Differential Geometry Calc 3.
From www.chegg.com
Solved Solve the following basic calculus problems a. d/dx Differential Geometry Calc 3 We revisit all of the amazing theory we learned in calculus i and ii,. (x1,y1,z1)and(2 2,z2), distance between them:p ( x 1 2)2+(y z midpoint: Calculus 3 concepts cartesian coords in 3d given two points: Calculus iii should really be renamed, the greatest hits of calculus. Calc is about the same difficulty as calc i and diffeq will make a. Differential Geometry Calc 3.
From www.youtube.com
Differential geometry Differential geometry msc mathematics Differential Geometry Calc 3 This book is intented as a modern introduction to differential geometry, at a level accessible to advanced undergraduate students. This chapter is generally prep work for calculus iii and so we will cover the standard 3d coordinate system as well as a couple of. (x1,y1,z1)and(2 2,z2), distance between them:p ( x 1 2)2+(y z midpoint: Study calculus online free by. Differential Geometry Calc 3.
From www.bol.com
Aspects of Differential Geometry III 9781627056861 Esteban Calvino Differential Geometry Calc 3 We revisit all of the amazing theory we learned in calculus i and ii,. I'd recommend calc iii before differential equations. (x1,y1,z1)and(2 2,z2), distance between them:p ( x 1 2)2+(y z midpoint: This chapter is generally prep work for calculus iii and so we will cover the standard 3d coordinate system as well as a couple of. Calculus iii should. Differential Geometry Calc 3.
From www.coursehero.com
[Solved] Please Help Me Out With These Questions For Differential Calc Differential Geometry Calc 3 I'd recommend calc iii before differential equations. Study calculus online free by downloading volume 3 of openstax's college calculus textbook and using our accompanying online resources. Calculus iii should really be renamed, the greatest hits of calculus. This chapter is generally prep work for calculus iii and so we will cover the standard 3d coordinate system as well as a. Differential Geometry Calc 3.
From www.youtube.com
Lecture 9 Discrete Exterior Calculus (Discrete Differential Geometry Differential Geometry Calc 3 We revisit all of the amazing theory we learned in calculus i and ii,. This chapter is generally prep work for calculus iii and so we will cover the standard 3d coordinate system as well as a couple of. Study calculus online free by downloading volume 3 of openstax's college calculus textbook and using our accompanying online resources. I'd recommend. Differential Geometry Calc 3.
From www.youtube.com
Calculus Differentiation Examples Derivative of Algebraic functions Differential Geometry Calc 3 This book is intented as a modern introduction to differential geometry, at a level accessible to advanced undergraduate students. Calculus 3 concepts cartesian coords in 3d given two points: This chapter is generally prep work for calculus iii and so we will cover the standard 3d coordinate system as well as a couple of. We revisit all of the amazing. Differential Geometry Calc 3.
From www.supermath.info
MATH 231 section 1 Calculus III, multivariable calculus with analytic Differential Geometry Calc 3 (x1,y1,z1)and(2 2,z2), distance between them:p ( x 1 2)2+(y z midpoint: Calculus iii should really be renamed, the greatest hits of calculus. Calc is about the same difficulty as calc i and diffeq will make a little more sense after going through multivariable, assuming that's. Study calculus online free by downloading volume 3 of openstax's college calculus textbook and using. Differential Geometry Calc 3.
From www.youtube.com
🔵01 Differential Equations, Order, Degree, Ordinary and Partial Differential Geometry Calc 3 This chapter is generally prep work for calculus iii and so we will cover the standard 3d coordinate system as well as a couple of. Calculus iii should really be renamed, the greatest hits of calculus. Study calculus online free by downloading volume 3 of openstax's college calculus textbook and using our accompanying online resources. Calc is about the same. Differential Geometry Calc 3.
From www.reddit.com
[calc 3] how to get the differential equation? r/HomeworkHelp Differential Geometry Calc 3 Calculus iii should really be renamed, the greatest hits of calculus. I'd recommend calc iii before differential equations. Calc is about the same difficulty as calc i and diffeq will make a little more sense after going through multivariable, assuming that's. Study calculus online free by downloading volume 3 of openstax's college calculus textbook and using our accompanying online resources.. Differential Geometry Calc 3.
From www.scribd.com
Calc Iii Exam 2 Review 11.5 Conic Sections PDF Series (Mathematics Differential Geometry Calc 3 Study calculus online free by downloading volume 3 of openstax's college calculus textbook and using our accompanying online resources. This chapter is generally prep work for calculus iii and so we will cover the standard 3d coordinate system as well as a couple of. I'd recommend calc iii before differential equations. We revisit all of the amazing theory we learned. Differential Geometry Calc 3.
From studylib.net
Differential Geometry was initially developed in the 18 and 19 Differential Geometry Calc 3 Calculus 3 concepts cartesian coords in 3d given two points: Calculus iii should really be renamed, the greatest hits of calculus. This chapter is generally prep work for calculus iii and so we will cover the standard 3d coordinate system as well as a couple of. (x1,y1,z1)and(2 2,z2), distance between them:p ( x 1 2)2+(y z midpoint: Calc is about. Differential Geometry Calc 3.
From www.pinterest.ch
Calculus Differentiation Mathletics Formulae and Laws Factsheet Differential Geometry Calc 3 Study calculus online free by downloading volume 3 of openstax's college calculus textbook and using our accompanying online resources. We revisit all of the amazing theory we learned in calculus i and ii,. I'd recommend calc iii before differential equations. (x1,y1,z1)and(2 2,z2), distance between them:p ( x 1 2)2+(y z midpoint: Calculus 3 concepts cartesian coords in 3d given two. Differential Geometry Calc 3.
From studylib.net
Tensor calculus and differential geometry Differential Geometry Calc 3 I'd recommend calc iii before differential equations. Calculus 3 concepts cartesian coords in 3d given two points: Study calculus online free by downloading volume 3 of openstax's college calculus textbook and using our accompanying online resources. This book is intented as a modern introduction to differential geometry, at a level accessible to advanced undergraduate students. (x1,y1,z1)and(2 2,z2), distance between them:p. Differential Geometry Calc 3.
From www.youtube.com
TNPSC CSSSE UNIT 2 CALCULUS, COORDINATE GEOMETRY OF 2 DIMENSIONS AND Differential Geometry Calc 3 (x1,y1,z1)and(2 2,z2), distance between them:p ( x 1 2)2+(y z midpoint: This chapter is generally prep work for calculus iii and so we will cover the standard 3d coordinate system as well as a couple of. I'd recommend calc iii before differential equations. Calculus 3 concepts cartesian coords in 3d given two points: Calc is about the same difficulty as. Differential Geometry Calc 3.
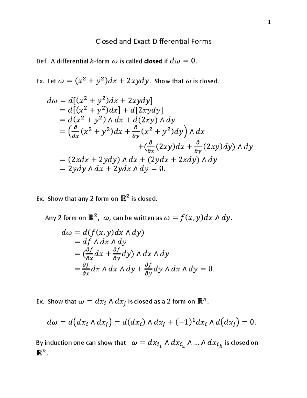
From www.studocu.com
Closed Calculus III Closed and Exact Differential Forms Def. A Differential Geometry Calc 3 Study calculus online free by downloading volume 3 of openstax's college calculus textbook and using our accompanying online resources. This book is intented as a modern introduction to differential geometry, at a level accessible to advanced undergraduate students. I'd recommend calc iii before differential equations. Calc is about the same difficulty as calc i and diffeq will make a little. Differential Geometry Calc 3.
From www.urbanpro.com
Differential calculus UrbanPro Differential Geometry Calc 3 Study calculus online free by downloading volume 3 of openstax's college calculus textbook and using our accompanying online resources. (x1,y1,z1)and(2 2,z2), distance between them:p ( x 1 2)2+(y z midpoint: Calculus 3 concepts cartesian coords in 3d given two points: This chapter is generally prep work for calculus iii and so we will cover the standard 3d coordinate system as. Differential Geometry Calc 3.
From www.youtube.com
The total differential Calculus in a Nutshell LetThereBeMath Differential Geometry Calc 3 This book is intented as a modern introduction to differential geometry, at a level accessible to advanced undergraduate students. Calc is about the same difficulty as calc i and diffeq will make a little more sense after going through multivariable, assuming that's. This chapter is generally prep work for calculus iii and so we will cover the standard 3d coordinate. Differential Geometry Calc 3.
From www.amazon.in
Buy Aspects of Differential Geometry III 3 (Synthesis Lectures on Differential Geometry Calc 3 We revisit all of the amazing theory we learned in calculus i and ii,. This book is intented as a modern introduction to differential geometry, at a level accessible to advanced undergraduate students. (x1,y1,z1)and(2 2,z2), distance between them:p ( x 1 2)2+(y z midpoint: Calculus 3 concepts cartesian coords in 3d given two points: Calc is about the same difficulty. Differential Geometry Calc 3.