Microscope Slides Glycerin . Find out the best techniques,. Learn how to prepare permanent slides of fungi, insects, or other organisms using specific techniques and reagents. The type of liquid that should be used. Learn how to make microscope slides using four common methods: Learn how to make a wet mount slide for microscopy, which involves placing a specimen in liquid and covering it with a cover slip. Learn how to preserve microscope slides effectively with five easy tips that will keep your specimens in pristine condition for years to come. Dry, wet, section, and smear. Compare wet mount with dry mount and prepared mount,. Find out what to use to. Learn how to make dry mount, wet mount, and smear slides for different types of specimens and microscopes. Find out the types of slides, cover slips, mounting media, and stains needed for slide preparation. Find out how to kill, fix, harden, stain, dehydrate, clear, and mount the.
from www.numerade.com
Find out the best techniques,. Find out the types of slides, cover slips, mounting media, and stains needed for slide preparation. Dry, wet, section, and smear. Find out what to use to. The type of liquid that should be used. Find out how to kill, fix, harden, stain, dehydrate, clear, and mount the. Learn how to make dry mount, wet mount, and smear slides for different types of specimens and microscopes. Learn how to make a wet mount slide for microscopy, which involves placing a specimen in liquid and covering it with a cover slip. Learn how to prepare permanent slides of fungi, insects, or other organisms using specific techniques and reagents. Learn how to make microscope slides using four common methods:
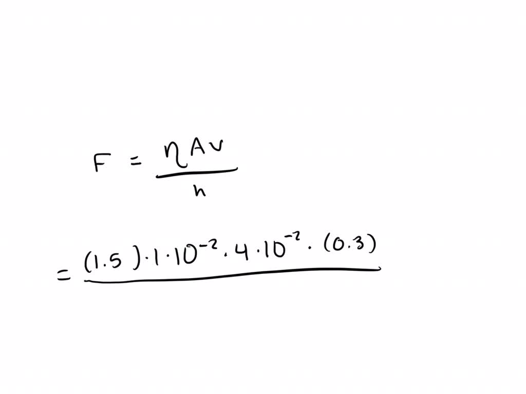
SOLVED A thin 1.50mm coating of glycerin has been placed between two
Microscope Slides Glycerin Find out how to kill, fix, harden, stain, dehydrate, clear, and mount the. Learn how to prepare permanent slides of fungi, insects, or other organisms using specific techniques and reagents. Learn how to make dry mount, wet mount, and smear slides for different types of specimens and microscopes. Learn how to preserve microscope slides effectively with five easy tips that will keep your specimens in pristine condition for years to come. Dry, wet, section, and smear. Find out the best techniques,. Find out how to kill, fix, harden, stain, dehydrate, clear, and mount the. Find out the types of slides, cover slips, mounting media, and stains needed for slide preparation. The type of liquid that should be used. Find out what to use to. Learn how to make microscope slides using four common methods: Learn how to make a wet mount slide for microscopy, which involves placing a specimen in liquid and covering it with a cover slip. Compare wet mount with dry mount and prepared mount,.
From www.numerade.com
SOLVED A thin 1.50mm coating of glycerin has been placed between two Microscope Slides Glycerin Learn how to preserve microscope slides effectively with five easy tips that will keep your specimens in pristine condition for years to come. Find out how to kill, fix, harden, stain, dehydrate, clear, and mount the. Dry, wet, section, and smear. Learn how to make a wet mount slide for microscopy, which involves placing a specimen in liquid and covering. Microscope Slides Glycerin.
From gioomhslt.blob.core.windows.net
Glycerin On Microscope Slides Serves For at Garry Anderson blog Microscope Slides Glycerin Find out the best techniques,. The type of liquid that should be used. Dry, wet, section, and smear. Find out what to use to. Find out the types of slides, cover slips, mounting media, and stains needed for slide preparation. Learn how to make a wet mount slide for microscopy, which involves placing a specimen in liquid and covering it. Microscope Slides Glycerin.
From www.mopec.com
Microscope Slides and Coverslips Mopec Microscope Slides Glycerin Learn how to prepare permanent slides of fungi, insects, or other organisms using specific techniques and reagents. Learn how to make dry mount, wet mount, and smear slides for different types of specimens and microscopes. Learn how to make a wet mount slide for microscopy, which involves placing a specimen in liquid and covering it with a cover slip. Learn. Microscope Slides Glycerin.
From www.microscopy-uk.org.uk
Alternative mounting media revisited. Microscope Slides Glycerin Find out the best techniques,. Dry, wet, section, and smear. Compare wet mount with dry mount and prepared mount,. Learn how to preserve microscope slides effectively with five easy tips that will keep your specimens in pristine condition for years to come. Find out what to use to. Find out the types of slides, cover slips, mounting media, and stains. Microscope Slides Glycerin.
From www.thoughtco.com
How to Prepare Microscope Slides Microscope Slides Glycerin Find out the best techniques,. Learn how to make a wet mount slide for microscopy, which involves placing a specimen in liquid and covering it with a cover slip. Learn how to prepare permanent slides of fungi, insects, or other organisms using specific techniques and reagents. Dry, wet, section, and smear. Learn how to make microscope slides using four common. Microscope Slides Glycerin.
From www.numerade.com
SOLVED A thin 1.5mm coating of glycerine has been placed between two Microscope Slides Glycerin The type of liquid that should be used. Find out the types of slides, cover slips, mounting media, and stains needed for slide preparation. Learn how to preserve microscope slides effectively with five easy tips that will keep your specimens in pristine condition for years to come. Find out the best techniques,. Learn how to make a wet mount slide. Microscope Slides Glycerin.
From www.youtube.com
Microbiology How to permanently mount a coverslip onto a microscope Microscope Slides Glycerin Learn how to preserve microscope slides effectively with five easy tips that will keep your specimens in pristine condition for years to come. Find out what to use to. The type of liquid that should be used. Learn how to make a wet mount slide for microscopy, which involves placing a specimen in liquid and covering it with a cover. Microscope Slides Glycerin.
From gioomhslt.blob.core.windows.net
Glycerin On Microscope Slides Serves For at Garry Anderson blog Microscope Slides Glycerin Learn how to preserve microscope slides effectively with five easy tips that will keep your specimens in pristine condition for years to come. Find out the best techniques,. Learn how to prepare permanent slides of fungi, insects, or other organisms using specific techniques and reagents. Compare wet mount with dry mount and prepared mount,. Find out what to use to.. Microscope Slides Glycerin.
From gtvision.co.uk
40X Plan Achromatic Fluorite Glycerine Microscope Objective 10044 (GXM) Microscope Slides Glycerin Find out what to use to. Learn how to make dry mount, wet mount, and smear slides for different types of specimens and microscopes. Compare wet mount with dry mount and prepared mount,. Learn how to make a wet mount slide for microscopy, which involves placing a specimen in liquid and covering it with a cover slip. Find out the. Microscope Slides Glycerin.
From gioomhslt.blob.core.windows.net
Glycerin On Microscope Slides Serves For at Garry Anderson blog Microscope Slides Glycerin Dry, wet, section, and smear. Find out what to use to. Learn how to prepare permanent slides of fungi, insects, or other organisms using specific techniques and reagents. Learn how to preserve microscope slides effectively with five easy tips that will keep your specimens in pristine condition for years to come. Find out the best techniques,. The type of liquid. Microscope Slides Glycerin.
From www.researchgate.net
(PDF) Use of Kisser glycerol gelatin to prepare microscope slides of Microscope Slides Glycerin Dry, wet, section, and smear. Learn how to make dry mount, wet mount, and smear slides for different types of specimens and microscopes. The type of liquid that should be used. Find out how to kill, fix, harden, stain, dehydrate, clear, and mount the. Compare wet mount with dry mount and prepared mount,. Learn how to prepare permanent slides of. Microscope Slides Glycerin.
From gioomhslt.blob.core.windows.net
Glycerin On Microscope Slides Serves For at Garry Anderson blog Microscope Slides Glycerin Learn how to prepare permanent slides of fungi, insects, or other organisms using specific techniques and reagents. Find out what to use to. Learn how to make dry mount, wet mount, and smear slides for different types of specimens and microscopes. Find out the best techniques,. Compare wet mount with dry mount and prepared mount,. Find out how to kill,. Microscope Slides Glycerin.
From picclick.co.uk
ANTIQUE GLASS MICROSCOPE slide Berry Barley Glycerine 1938 52 £9.99 Microscope Slides Glycerin Find out how to kill, fix, harden, stain, dehydrate, clear, and mount the. The type of liquid that should be used. Find out what to use to. Find out the best techniques,. Learn how to preserve microscope slides effectively with five easy tips that will keep your specimens in pristine condition for years to come. Dry, wet, section, and smear.. Microscope Slides Glycerin.
From gioomhslt.blob.core.windows.net
Glycerin On Microscope Slides Serves For at Garry Anderson blog Microscope Slides Glycerin Learn how to make microscope slides using four common methods: Learn how to prepare permanent slides of fungi, insects, or other organisms using specific techniques and reagents. Find out the types of slides, cover slips, mounting media, and stains needed for slide preparation. Learn how to make a wet mount slide for microscopy, which involves placing a specimen in liquid. Microscope Slides Glycerin.
From www.alamy.com
. The microscope; an introduction to microscopic methods and to Microscope Slides Glycerin Learn how to prepare permanent slides of fungi, insects, or other organisms using specific techniques and reagents. The type of liquid that should be used. Find out how to kill, fix, harden, stain, dehydrate, clear, and mount the. Find out the types of slides, cover slips, mounting media, and stains needed for slide preparation. Find out the best techniques,. Learn. Microscope Slides Glycerin.
From www.numerade.com
SOLVEDA thin 1.5mm coating of glycerine has been placed between two Microscope Slides Glycerin Learn how to make a wet mount slide for microscopy, which involves placing a specimen in liquid and covering it with a cover slip. Learn how to preserve microscope slides effectively with five easy tips that will keep your specimens in pristine condition for years to come. Learn how to prepare permanent slides of fungi, insects, or other organisms using. Microscope Slides Glycerin.
From www.researchgate.net
Phasecontrast microscope images of ammonium picrateglycerin mounted Microscope Slides Glycerin Learn how to make dry mount, wet mount, and smear slides for different types of specimens and microscopes. Find out what to use to. Learn how to prepare permanent slides of fungi, insects, or other organisms using specific techniques and reagents. Learn how to make microscope slides using four common methods: Compare wet mount with dry mount and prepared mount,.. Microscope Slides Glycerin.
From www.alamy.com
. The microscope an introduction to microscopic methods and to Microscope Slides Glycerin Learn how to make a wet mount slide for microscopy, which involves placing a specimen in liquid and covering it with a cover slip. Compare wet mount with dry mount and prepared mount,. The type of liquid that should be used. Find out the best techniques,. Dry, wet, section, and smear. Find out what to use to. Learn how to. Microscope Slides Glycerin.
From www.amazon.co.uk
Bundle of 2 McMaster Method Microscope Slides, FEC (Fecal Egg Count Microscope Slides Glycerin Find out the types of slides, cover slips, mounting media, and stains needed for slide preparation. Learn how to prepare permanent slides of fungi, insects, or other organisms using specific techniques and reagents. Learn how to make dry mount, wet mount, and smear slides for different types of specimens and microscopes. The type of liquid that should be used. Find. Microscope Slides Glycerin.
From sciencewithmrspremo.weebly.com
Microscope Slides Science with Mrs. Premo Microscope Slides Glycerin Dry, wet, section, and smear. Learn how to preserve microscope slides effectively with five easy tips that will keep your specimens in pristine condition for years to come. Learn how to make microscope slides using four common methods: Find out how to kill, fix, harden, stain, dehydrate, clear, and mount the. Learn how to prepare permanent slides of fungi, insects,. Microscope Slides Glycerin.
From www.alamy.com
. The microscope an introduction to microscopic methods and to Microscope Slides Glycerin Find out how to kill, fix, harden, stain, dehydrate, clear, and mount the. Learn how to make microscope slides using four common methods: Learn how to make a wet mount slide for microscopy, which involves placing a specimen in liquid and covering it with a cover slip. Find out the types of slides, cover slips, mounting media, and stains needed. Microscope Slides Glycerin.
From www.dreamstime.com
Glycerol Molecular Structure 3d, Flat Model, Glycerine, Structural Microscope Slides Glycerin Find out the best techniques,. Find out what to use to. Learn how to make dry mount, wet mount, and smear slides for different types of specimens and microscopes. Find out how to kill, fix, harden, stain, dehydrate, clear, and mount the. Learn how to make microscope slides using four common methods: Dry, wet, section, and smear. Learn how to. Microscope Slides Glycerin.
From www.sciencecompany.com
Technical Grade Glycerin, 1pt for sale. Buy from The Science Company. Microscope Slides Glycerin Dry, wet, section, and smear. Learn how to make dry mount, wet mount, and smear slides for different types of specimens and microscopes. Compare wet mount with dry mount and prepared mount,. The type of liquid that should be used. Find out what to use to. Find out how to kill, fix, harden, stain, dehydrate, clear, and mount the. Find. Microscope Slides Glycerin.
From cartoondealer.com
Glycerol Molecular Structure 3d, Flat Model, Glycerine, Structural Microscope Slides Glycerin The type of liquid that should be used. Find out the types of slides, cover slips, mounting media, and stains needed for slide preparation. Dry, wet, section, and smear. Learn how to prepare permanent slides of fungi, insects, or other organisms using specific techniques and reagents. Find out how to kill, fix, harden, stain, dehydrate, clear, and mount the. Learn. Microscope Slides Glycerin.
From www.numerade.com
SOLVEDA thin 1.50 mm coating of glycerin has been placed between two Microscope Slides Glycerin Compare wet mount with dry mount and prepared mount,. Learn how to make dry mount, wet mount, and smear slides for different types of specimens and microscopes. The type of liquid that should be used. Find out what to use to. Learn how to prepare permanent slides of fungi, insects, or other organisms using specific techniques and reagents. Learn how. Microscope Slides Glycerin.
From www.researchgate.net
Koch (CICYTTPPl 1615). 19. Three megaspore specimens of Lagenicula Microscope Slides Glycerin Find out what to use to. Dry, wet, section, and smear. Learn how to make dry mount, wet mount, and smear slides for different types of specimens and microscopes. The type of liquid that should be used. Find out how to kill, fix, harden, stain, dehydrate, clear, and mount the. Learn how to prepare permanent slides of fungi, insects, or. Microscope Slides Glycerin.
From www.numerade.com
SOLVED A thin 1.50 mm coating of glycerin has been placed between two Microscope Slides Glycerin Find out what to use to. Learn how to make microscope slides using four common methods: Learn how to make dry mount, wet mount, and smear slides for different types of specimens and microscopes. Learn how to make a wet mount slide for microscopy, which involves placing a specimen in liquid and covering it with a cover slip. Find out. Microscope Slides Glycerin.
From www.numerade.com
A thin 1.5mm coating of glycerine has been placed between two Microscope Slides Glycerin Find out what to use to. Find out how to kill, fix, harden, stain, dehydrate, clear, and mount the. The type of liquid that should be used. Learn how to make microscope slides using four common methods: Learn how to make a wet mount slide for microscopy, which involves placing a specimen in liquid and covering it with a cover. Microscope Slides Glycerin.
From www.numerade.com
SOLVEDGlycerin is being heated by flowing between two very thin Microscope Slides Glycerin Find out the types of slides, cover slips, mounting media, and stains needed for slide preparation. Learn how to prepare permanent slides of fungi, insects, or other organisms using specific techniques and reagents. The type of liquid that should be used. Learn how to make a wet mount slide for microscopy, which involves placing a specimen in liquid and covering. Microscope Slides Glycerin.
From www.youtube.com
Easy way to prepare Glycerin Jelly palynology slides Glycerin jelly Microscope Slides Glycerin Learn how to make microscope slides using four common methods: Find out what to use to. Dry, wet, section, and smear. Compare wet mount with dry mount and prepared mount,. The type of liquid that should be used. Find out how to kill, fix, harden, stain, dehydrate, clear, and mount the. Find out the types of slides, cover slips, mounting. Microscope Slides Glycerin.
From www.alamy.com
Histology slides hires stock photography and images Alamy Microscope Slides Glycerin Learn how to prepare permanent slides of fungi, insects, or other organisms using specific techniques and reagents. Learn how to make microscope slides using four common methods: Learn how to make dry mount, wet mount, and smear slides for different types of specimens and microscopes. Find out how to kill, fix, harden, stain, dehydrate, clear, and mount the. Learn how. Microscope Slides Glycerin.
From scopeoptic.com
Leitz 100X UV Glycerine Immersion Microscope Objective Laboratory Microscope Slides Glycerin Learn how to make microscope slides using four common methods: Learn how to make dry mount, wet mount, and smear slides for different types of specimens and microscopes. Find out what to use to. Find out the types of slides, cover slips, mounting media, and stains needed for slide preparation. Learn how to prepare permanent slides of fungi, insects, or. Microscope Slides Glycerin.
From www.numerade.com
A thin 1.50 mm coating of glycerin has been placed between two Microscope Slides Glycerin The type of liquid that should be used. Learn how to prepare permanent slides of fungi, insects, or other organisms using specific techniques and reagents. Find out the types of slides, cover slips, mounting media, and stains needed for slide preparation. Learn how to preserve microscope slides effectively with five easy tips that will keep your specimens in pristine condition. Microscope Slides Glycerin.
From www.alamy.com
Histology slides Black and White Stock Photos & Images Alamy Microscope Slides Glycerin Find out the types of slides, cover slips, mounting media, and stains needed for slide preparation. Find out the best techniques,. Learn how to make a wet mount slide for microscopy, which involves placing a specimen in liquid and covering it with a cover slip. Find out how to kill, fix, harden, stain, dehydrate, clear, and mount the. Dry, wet,. Microscope Slides Glycerin.
From www.numerade.com
SOLVED A thin 1.50mm coating of glycerin has been placed between two Microscope Slides Glycerin Find out how to kill, fix, harden, stain, dehydrate, clear, and mount the. Dry, wet, section, and smear. Learn how to preserve microscope slides effectively with five easy tips that will keep your specimens in pristine condition for years to come. Find out the types of slides, cover slips, mounting media, and stains needed for slide preparation. Learn how to. Microscope Slides Glycerin.