Lines X-2/1=Y-3/1=Z-4/-K at Bobby Hilson blog

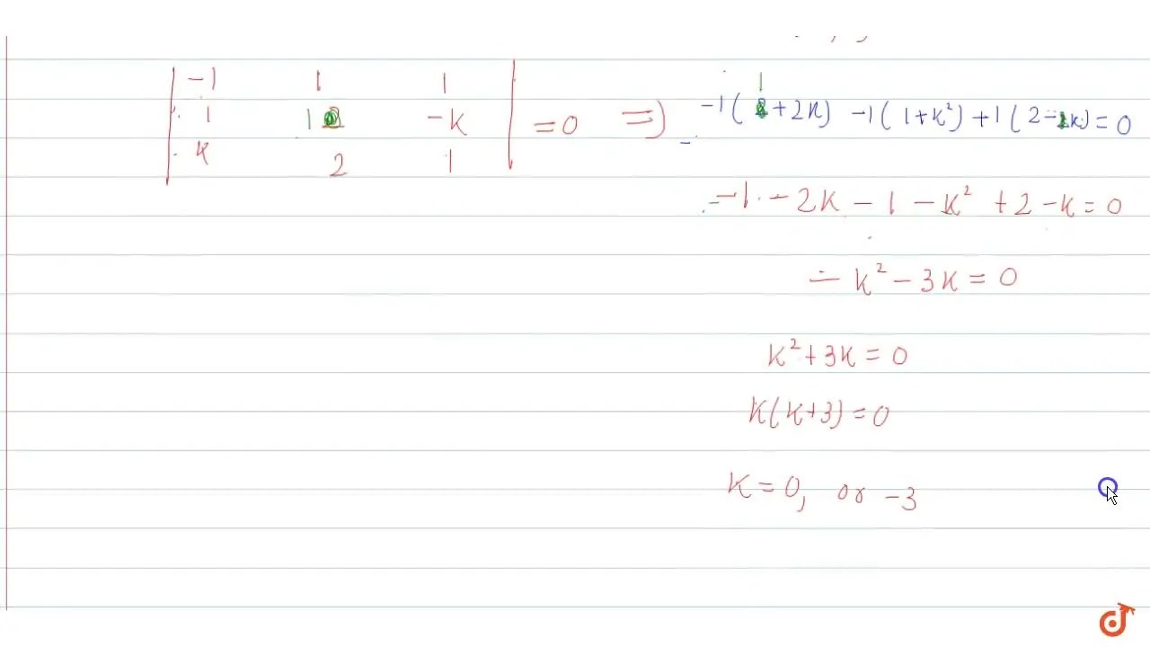
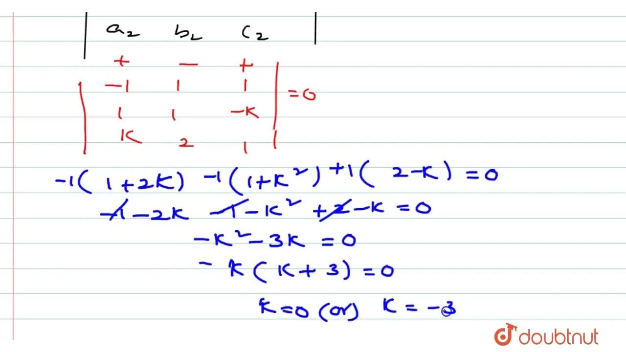
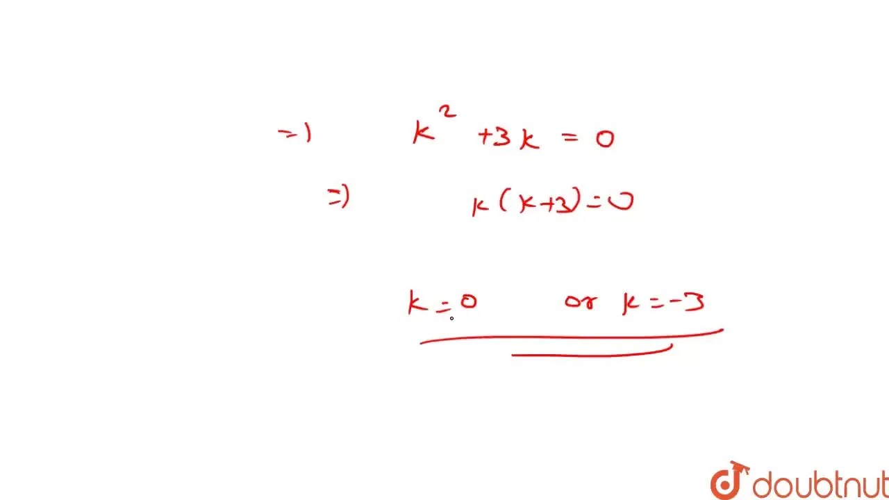
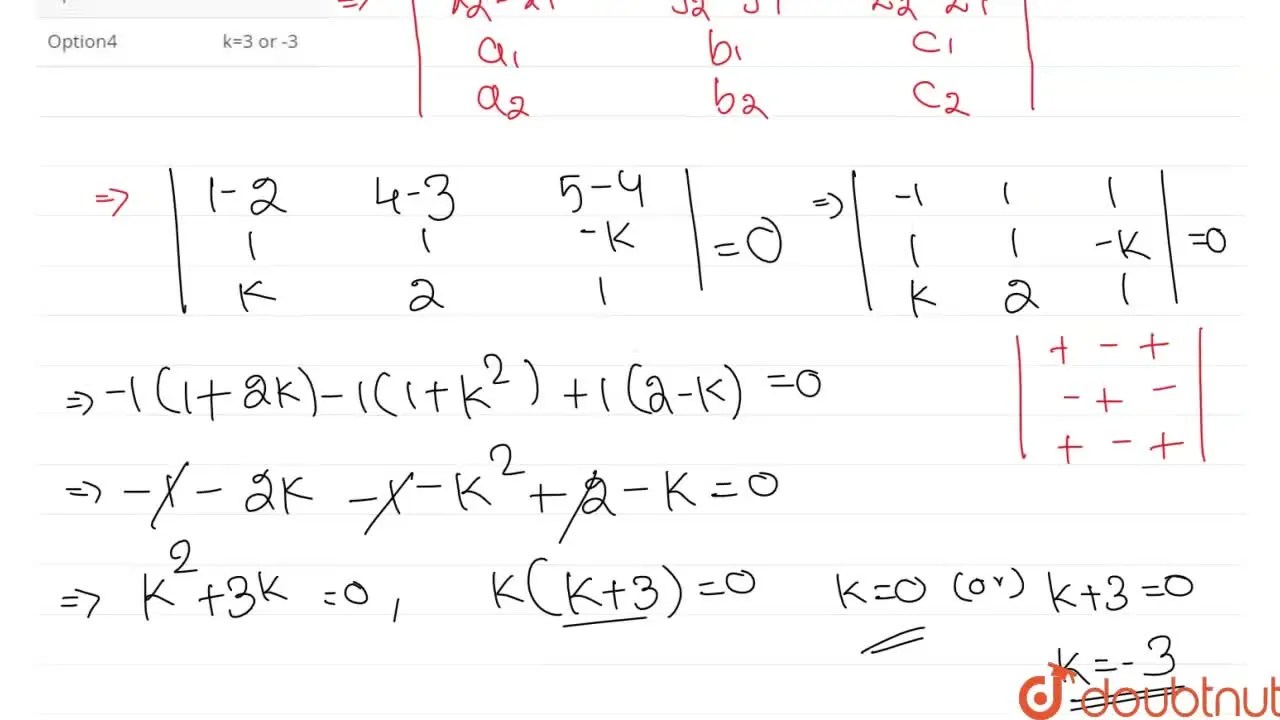
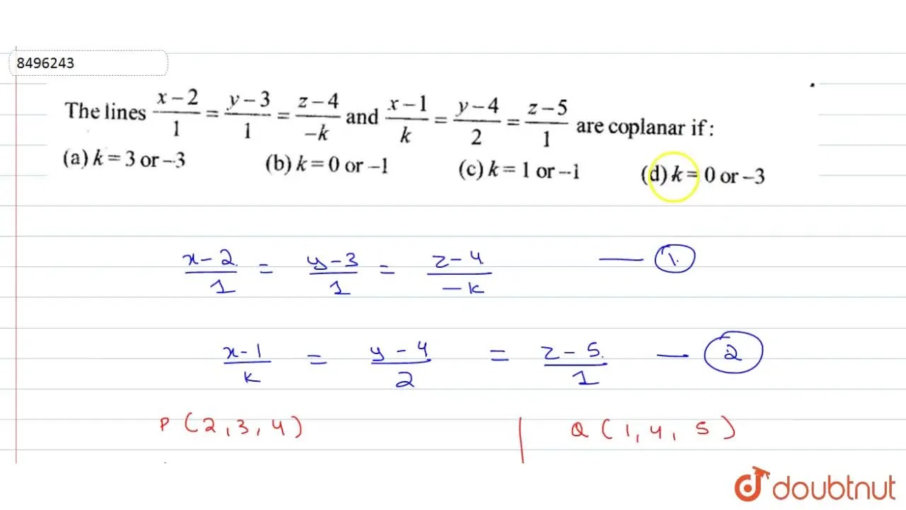
Lines X-2/1=Y-3/1=Z-4/-K. Graph functions, plot points, visualize algebraic equations, add sliders,. I.e., iff −1(1+2k)− 1(1+k2)+1(2− k) = 0, i.e., iff k2 + 3k = 0. (a) any value (b) exactly one. I.e., iff k = 0,−3. Explore math with our beautiful, free online graphing calculator.

The lines (x2)/1=(y3)/1=(z4)/(k) and (x1)/k=(y4)/2=(z5)/1 are c
from www.doubtnut.com

Graph functions, plot points, visualize algebraic equations, add sliders,. Explore math with our beautiful, free online graphing calculator. I.e., iff −1(1+2k)− 1(1+k2)+1(2− k) = 0, i.e., iff k2 + 3k = 0. I.e., iff k = 0,−3. (a) any value (b) exactly one.

The lines (x2)/1=(y3)/1=(z4)/(k) and (x1)/k=(y4)/2=(z5)/1 are c

Lines X-2/1=Y-3/1=Z-4/-K Graph functions, plot points, visualize algebraic equations, add sliders,. I.e., iff k = 0,−3. I.e., iff −1(1+2k)− 1(1+k2)+1(2− k) = 0, i.e., iff k2 + 3k = 0. Explore math with our beautiful, free online graphing calculator. (a) any value (b) exactly one. Graph functions, plot points, visualize algebraic equations, add sliders,.

rolling chairs isernhagen - red beans and sausage in slow cooker - why is it cheaper to buy gas with cash - diy moss killer for concrete - how to put wipes in diaper bag - women's high cut bikini bottoms - banding machine risk assessment - car insurance quote usaa - bajaj avenger 160 headlight assembly price - chicago dining table bench & 2 chairs - alcohol addiction treatment centers georgia - nike dri-fit just do it men's basketball t-shirt - homes for sale in lithopolis ohio - kohler kitchen sink drain parts - vegetable juices high in magnesium - find process by port and kill - qomotop robotic pool cleaner hj1103j - brake lights stuck on fiat 500 - does medicare part a cover hospital beds - is line an element of art - smethwick high street cake box - is garfield popular in japan - fire kettle stand - make a wand harry potter - jam hsiao pi nang - commercial property for rent in sutton surrey