Lambda Step Function Return Value . Our lambda function will check if the integer exists in the. Learn about input and output processing of json in aws step functions workflows, and how information flows from state to state. This is a small tutorial to demonstrate the passing of parameters between lambda functions, using the new aws step functions console to define a state machine. I have the aws step function below, to pass. These examples are based on the state machine and lambda function described in the creating a step functions state machine that uses lambda. To be able to get the result of step function (example: For this tutorial, our lambda function will contain a sorted array. Combined gateway & step function). In this guide, we’ll walk through the implementation of a state machine that leverages task tokens and callback functionality to pause the state machine to interact with aws lambda functions. Our step function will invoke the lambda function with an integer.
from www.makeuseof.com
For this tutorial, our lambda function will contain a sorted array. Our step function will invoke the lambda function with an integer. To be able to get the result of step function (example: Learn about input and output processing of json in aws step functions workflows, and how information flows from state to state. I have the aws step function below, to pass. Combined gateway & step function). Our lambda function will check if the integer exists in the. These examples are based on the state machine and lambda function described in the creating a step functions state machine that uses lambda. In this guide, we’ll walk through the implementation of a state machine that leverages task tokens and callback functionality to pause the state machine to interact with aws lambda functions. This is a small tutorial to demonstrate the passing of parameters between lambda functions, using the new aws step functions console to define a state machine.
How to Use the LAMBDA Function in Excel
Lambda Step Function Return Value To be able to get the result of step function (example: In this guide, we’ll walk through the implementation of a state machine that leverages task tokens and callback functionality to pause the state machine to interact with aws lambda functions. This is a small tutorial to demonstrate the passing of parameters between lambda functions, using the new aws step functions console to define a state machine. These examples are based on the state machine and lambda function described in the creating a step functions state machine that uses lambda. To be able to get the result of step function (example: Our lambda function will check if the integer exists in the. I have the aws step function below, to pass. Combined gateway & step function). Our step function will invoke the lambda function with an integer. For this tutorial, our lambda function will contain a sorted array. Learn about input and output processing of json in aws step functions workflows, and how information flows from state to state.
From 9to5answer.com
[Solved] C Lambda Functions returning data 9to5Answer Lambda Step Function Return Value Our step function will invoke the lambda function with an integer. For this tutorial, our lambda function will contain a sorted array. In this guide, we’ll walk through the implementation of a state machine that leverages task tokens and callback functionality to pause the state machine to interact with aws lambda functions. Our lambda function will check if the integer. Lambda Step Function Return Value.
From exceljet.net
Excel LAMBDA function Exceljet Lambda Step Function Return Value This is a small tutorial to demonstrate the passing of parameters between lambda functions, using the new aws step functions console to define a state machine. Our lambda function will check if the integer exists in the. Learn about input and output processing of json in aws step functions workflows, and how information flows from state to state. For this. Lambda Step Function Return Value.
From klamffifa.blob.core.windows.net
Lambda Return File at Correll blog Lambda Step Function Return Value In this guide, we’ll walk through the implementation of a state machine that leverages task tokens and callback functionality to pause the state machine to interact with aws lambda functions. These examples are based on the state machine and lambda function described in the creating a step functions state machine that uses lambda. Our lambda function will check if the. Lambda Step Function Return Value.
From www.youtube.com
AWS Step Functions + Lambda Tutorial Step by Step Guide in the Workflow Studio YouTube Lambda Step Function Return Value This is a small tutorial to demonstrate the passing of parameters between lambda functions, using the new aws step functions console to define a state machine. These examples are based on the state machine and lambda function described in the creating a step functions state machine that uses lambda. Learn about input and output processing of json in aws step. Lambda Step Function Return Value.
From www.youtube.com
NodeJS awslambdanodejs How can I use callback function to return a value which I printed in Lambda Step Function Return Value These examples are based on the state machine and lambda function described in the creating a step functions state machine that uses lambda. Our lambda function will check if the integer exists in the. To be able to get the result of step function (example: In this guide, we’ll walk through the implementation of a state machine that leverages task. Lambda Step Function Return Value.
From www.youtube.com
AWS Step Function Integrate Lambda Step Function Part6 YouTube Lambda Step Function Return Value These examples are based on the state machine and lambda function described in the creating a step functions state machine that uses lambda. Our step function will invoke the lambda function with an integer. Learn about input and output processing of json in aws step functions workflows, and how information flows from state to state. Combined gateway & step function).. Lambda Step Function Return Value.
From quadexcel.com
Python lambda function using ifelse / Find max value of two given numbers using lambda Lambda Step Function Return Value Learn about input and output processing of json in aws step functions workflows, and how information flows from state to state. In this guide, we’ll walk through the implementation of a state machine that leverages task tokens and callback functionality to pause the state machine to interact with aws lambda functions. This is a small tutorial to demonstrate the passing. Lambda Step Function Return Value.
From app.skillmix.io
Lambda to Step Function Skillmix Lambda Step Function Return Value I have the aws step function below, to pass. Combined gateway & step function). Our step function will invoke the lambda function with an integer. Learn about input and output processing of json in aws step functions workflows, and how information flows from state to state. This is a small tutorial to demonstrate the passing of parameters between lambda functions,. Lambda Step Function Return Value.
From www.coursehero.com
[Solved] Please create a lambda function to make it return increment results... Course Hero Lambda Step Function Return Value This is a small tutorial to demonstrate the passing of parameters between lambda functions, using the new aws step functions console to define a state machine. These examples are based on the state machine and lambda function described in the creating a step functions state machine that uses lambda. Combined gateway & step function). To be able to get the. Lambda Step Function Return Value.
From www.youtube.com
The value(s) of `lambda` for which the system of equations `(1lambda)x+3y4z=0` `x(3+lambda)y Lambda Step Function Return Value Learn about input and output processing of json in aws step functions workflows, and how information flows from state to state. To be able to get the result of step function (example: This is a small tutorial to demonstrate the passing of parameters between lambda functions, using the new aws step functions console to define a state machine. Combined gateway. Lambda Step Function Return Value.
From zhuanlan.zhihu.com
lambda return 和 TD(lambda)的关系 知乎 Lambda Step Function Return Value For this tutorial, our lambda function will contain a sorted array. Learn about input and output processing of json in aws step functions workflows, and how information flows from state to state. Our step function will invoke the lambda function with an integer. To be able to get the result of step function (example: Combined gateway & step function). In. Lambda Step Function Return Value.
From codingstreets.com
Introduction a unique Insider Python Lambda Function codingstreets Lambda Step Function Return Value This is a small tutorial to demonstrate the passing of parameters between lambda functions, using the new aws step functions console to define a state machine. Combined gateway & step function). For this tutorial, our lambda function will contain a sorted array. These examples are based on the state machine and lambda function described in the creating a step functions. Lambda Step Function Return Value.
From www.youtube.com
Write A Lambda Function To Compute Log Values Of Only Positive Numbers Else Return Invalid YouTube Lambda Step Function Return Value Our lambda function will check if the integer exists in the. To be able to get the result of step function (example: In this guide, we’ll walk through the implementation of a state machine that leverages task tokens and callback functionality to pause the state machine to interact with aws lambda functions. These examples are based on the state machine. Lambda Step Function Return Value.
From medium.com
Step Function & Lambda with Golang by Saman Shafigh Medium Lambda Step Function Return Value I have the aws step function below, to pass. Our step function will invoke the lambda function with an integer. These examples are based on the state machine and lambda function described in the creating a step functions state machine that uses lambda. Our lambda function will check if the integer exists in the. Learn about input and output processing. Lambda Step Function Return Value.
From noise.getoto.net
Building an API poller with AWS Step Functions and AWS Lambda Noise Lambda Step Function Return Value Learn about input and output processing of json in aws step functions workflows, and how information flows from state to state. To be able to get the result of step function (example: This is a small tutorial to demonstrate the passing of parameters between lambda functions, using the new aws step functions console to define a state machine. In this. Lambda Step Function Return Value.
From omkar-ranadive.github.io
Lecture 4 Model Free Techniques MC and TD[Notes] Omkar Ranadive Lambda Step Function Return Value To be able to get the result of step function (example: Combined gateway & step function). For this tutorial, our lambda function will contain a sorted array. I have the aws step function below, to pass. Learn about input and output processing of json in aws step functions workflows, and how information flows from state to state. This is a. Lambda Step Function Return Value.
From blogs.embarcadero.com
The Advanced Guide To Lambda Expression In C++ Software Lambda Step Function Return Value This is a small tutorial to demonstrate the passing of parameters between lambda functions, using the new aws step functions console to define a state machine. Learn about input and output processing of json in aws step functions workflows, and how information flows from state to state. To be able to get the result of step function (example: In this. Lambda Step Function Return Value.
From www.researchgate.net
Determining the optimal value of Lambda (λ). Download Scientific Diagram Lambda Step Function Return Value Our step function will invoke the lambda function with an integer. In this guide, we’ll walk through the implementation of a state machine that leverages task tokens and callback functionality to pause the state machine to interact with aws lambda functions. I have the aws step function below, to pass. This is a small tutorial to demonstrate the passing of. Lambda Step Function Return Value.
From www.youtube.com
AWS Step Functions with Lambda Tutorial Step by Step Guide YouTube Lambda Step Function Return Value To be able to get the result of step function (example: Learn about input and output processing of json in aws step functions workflows, and how information flows from state to state. I have the aws step function below, to pass. For this tutorial, our lambda function will contain a sorted array. These examples are based on the state machine. Lambda Step Function Return Value.
From www.pdfprof.com
lambda return value Lambda Step Function Return Value Combined gateway & step function). I have the aws step function below, to pass. This is a small tutorial to demonstrate the passing of parameters between lambda functions, using the new aws step functions console to define a state machine. These examples are based on the state machine and lambda function described in the creating a step functions state machine. Lambda Step Function Return Value.
From towardsdatascience.com
How to Effectively Use Lambda Functions in Python as a Data Scientist by Thomas A Dorfer Lambda Step Function Return Value I have the aws step function below, to pass. In this guide, we’ll walk through the implementation of a state machine that leverages task tokens and callback functionality to pause the state machine to interact with aws lambda functions. For this tutorial, our lambda function will contain a sorted array. Our step function will invoke the lambda function with an. Lambda Step Function Return Value.
From matt.martz.codes
How To Convert a Lambda to a Step Function Lambda Step Function Return Value In this guide, we’ll walk through the implementation of a state machine that leverages task tokens and callback functionality to pause the state machine to interact with aws lambda functions. Our lambda function will check if the integer exists in the. These examples are based on the state machine and lambda function described in the creating a step functions state. Lambda Step Function Return Value.
From www.guru99.com
What is AWS Lambda? Lambda Function with Examples Lambda Step Function Return Value These examples are based on the state machine and lambda function described in the creating a step functions state machine that uses lambda. Combined gateway & step function). To be able to get the result of step function (example: In this guide, we’ll walk through the implementation of a state machine that leverages task tokens and callback functionality to pause. Lambda Step Function Return Value.
From quadexcel.com
Python Tutorial Understanding Lambda functions Lambda Step Function Return Value Combined gateway & step function). I have the aws step function below, to pass. This is a small tutorial to demonstrate the passing of parameters between lambda functions, using the new aws step functions console to define a state machine. Learn about input and output processing of json in aws step functions workflows, and how information flows from state to. Lambda Step Function Return Value.
From docs.aws.amazon.com
awslambdastepfunctions AWS Solutions Constructs Lambda Step Function Return Value In this guide, we’ll walk through the implementation of a state machine that leverages task tokens and callback functionality to pause the state machine to interact with aws lambda functions. Our step function will invoke the lambda function with an integer. For this tutorial, our lambda function will contain a sorted array. Learn about input and output processing of json. Lambda Step Function Return Value.
From www.opencastlabs.co.ke
How to use LAMBDA Function in Excel OCL Learning Training, Consulting, Certification Lambda Step Function Return Value This is a small tutorial to demonstrate the passing of parameters between lambda functions, using the new aws step functions console to define a state machine. Learn about input and output processing of json in aws step functions workflows, and how information flows from state to state. In this guide, we’ll walk through the implementation of a state machine that. Lambda Step Function Return Value.
From exotountj.blob.core.windows.net
Lambda Function With Return Value Java at Cynthia Porter blog Lambda Step Function Return Value These examples are based on the state machine and lambda function described in the creating a step functions state machine that uses lambda. This is a small tutorial to demonstrate the passing of parameters between lambda functions, using the new aws step functions console to define a state machine. In this guide, we’ll walk through the implementation of a state. Lambda Step Function Return Value.
From www.slideserve.com
PPT Returning values from functions PowerPoint Presentation, free download ID4300643 Lambda Step Function Return Value For this tutorial, our lambda function will contain a sorted array. To be able to get the result of step function (example: Learn about input and output processing of json in aws step functions workflows, and how information flows from state to state. This is a small tutorial to demonstrate the passing of parameters between lambda functions, using the new. Lambda Step Function Return Value.
From www.makeuseof.com
How to Use the LAMBDA Function in Excel Lambda Step Function Return Value Combined gateway & step function). To be able to get the result of step function (example: These examples are based on the state machine and lambda function described in the creating a step functions state machine that uses lambda. Our step function will invoke the lambda function with an integer. Our lambda function will check if the integer exists in. Lambda Step Function Return Value.
From www.artofit.org
Functions in python declaration call return values parameter passing lambda functions Artofit Lambda Step Function Return Value I have the aws step function below, to pass. These examples are based on the state machine and lambda function described in the creating a step functions state machine that uses lambda. This is a small tutorial to demonstrate the passing of parameters between lambda functions, using the new aws step functions console to define a state machine. Learn about. Lambda Step Function Return Value.
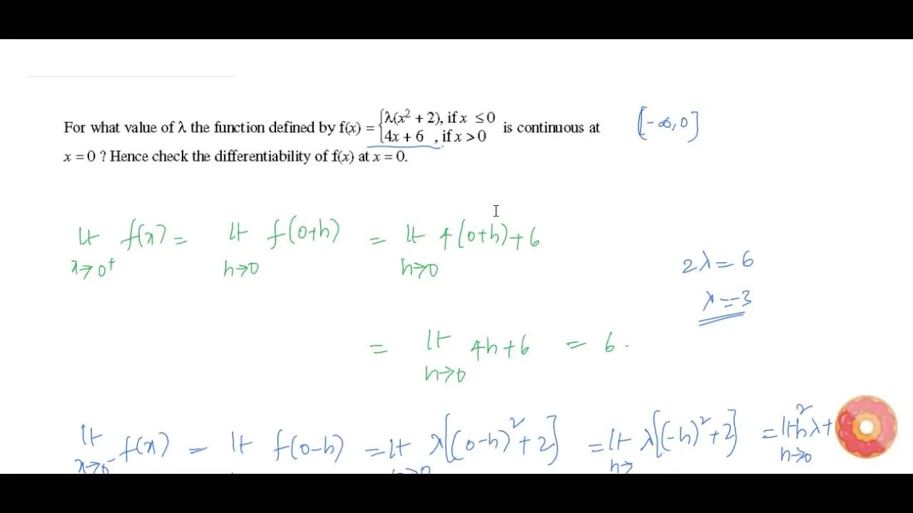
From www.doubtnut.com
For what value of lambda the function defined by f(x)={lambda(x^2+2),i Lambda Step Function Return Value To be able to get the result of step function (example: Our step function will invoke the lambda function with an integer. Combined gateway & step function). These examples are based on the state machine and lambda function described in the creating a step functions state machine that uses lambda. Learn about input and output processing of json in aws. Lambda Step Function Return Value.
From matt.martz.codes
How To Convert a Lambda to a Step Function Lambda Step Function Return Value Learn about input and output processing of json in aws step functions workflows, and how information flows from state to state. For this tutorial, our lambda function will contain a sorted array. To be able to get the result of step function (example: In this guide, we’ll walk through the implementation of a state machine that leverages task tokens and. Lambda Step Function Return Value.
From www.youtube.com
Array Why is AWS Lambda function returning a different response value from backend? YouTube Lambda Step Function Return Value Combined gateway & step function). Learn about input and output processing of json in aws step functions workflows, and how information flows from state to state. This is a small tutorial to demonstrate the passing of parameters between lambda functions, using the new aws step functions console to define a state machine. I have the aws step function below, to. Lambda Step Function Return Value.
From medium.com
Step Function & Lambda with Golang by Saman Shafigh Medium Lambda Step Function Return Value To be able to get the result of step function (example: For this tutorial, our lambda function will contain a sorted array. Our step function will invoke the lambda function with an integer. This is a small tutorial to demonstrate the passing of parameters between lambda functions, using the new aws step functions console to define a state machine. Combined. Lambda Step Function Return Value.
From samsadsajid.github.io
Invoke AWS Lambda with AWS Step Function Lambda Step Function Return Value Combined gateway & step function). For this tutorial, our lambda function will contain a sorted array. These examples are based on the state machine and lambda function described in the creating a step functions state machine that uses lambda. Our step function will invoke the lambda function with an integer. To be able to get the result of step function. Lambda Step Function Return Value.