Living Standard Measurement Survey . The living standards measurement study (lsms) is a research project that was initiated in 1980. The living standards measurement study (lsms) was established by the world bank in 1980 to explore ways of improving the type and quality. The living standards measurement study (lsms) surveys are one instrument that governments can, and do, use to better understand the causes of. The world bank living standards measurement study (lsms) is a household survey program working to strengthen the availability, quality,. Bridging data gaps and helping countries produce better data has been at the core of the. The living standards measurement study (lsms), a survey program housed within the world bank’s development data group, provides technical. The living standards measurement study (lsms) is the world bank’s flagship household survey program. It focuses on strengthening household. The living standards measurement study (lsms) surveys are one instrument that governments can, and do, use to better understand the causes of. It is a response to a perceived need for policy relevant data that would allow.
from www.tutor2u.net
The living standards measurement study (lsms) surveys are one instrument that governments can, and do, use to better understand the causes of. The world bank living standards measurement study (lsms) is a household survey program working to strengthen the availability, quality,. The living standards measurement study (lsms) was established by the world bank in 1980 to explore ways of improving the type and quality. The living standards measurement study (lsms) surveys are one instrument that governments can, and do, use to better understand the causes of. It is a response to a perceived need for policy relevant data that would allow. The living standards measurement study (lsms), a survey program housed within the world bank’s development data group, provides technical. Bridging data gaps and helping countries produce better data has been at the core of the. The living standards measurement study (lsms) is the world bank’s flagship household survey program. The living standards measurement study (lsms) is a research project that was initiated in 1980. It focuses on strengthening household.
Measuring the Standard of Living tutor2u Economics
Living Standard Measurement Survey The living standards measurement study (lsms) is a research project that was initiated in 1980. The living standards measurement study (lsms) was established by the world bank in 1980 to explore ways of improving the type and quality. The living standards measurement study (lsms), a survey program housed within the world bank’s development data group, provides technical. It focuses on strengthening household. The living standards measurement study (lsms) is a research project that was initiated in 1980. The living standards measurement study (lsms) is the world bank’s flagship household survey program. The living standards measurement study (lsms) surveys are one instrument that governments can, and do, use to better understand the causes of. It is a response to a perceived need for policy relevant data that would allow. The world bank living standards measurement study (lsms) is a household survey program working to strengthen the availability, quality,. Bridging data gaps and helping countries produce better data has been at the core of the. The living standards measurement study (lsms) surveys are one instrument that governments can, and do, use to better understand the causes of.
From www.slideserve.com
PPT Living Standards Measurement StudyIntegrated Surveys on Living Standard Measurement Survey It is a response to a perceived need for policy relevant data that would allow. The living standards measurement study (lsms), a survey program housed within the world bank’s development data group, provides technical. The world bank living standards measurement study (lsms) is a household survey program working to strengthen the availability, quality,. The living standards measurement study (lsms) was. Living Standard Measurement Survey.
From www.semanticscholar.org
[PDF] Measuring Living Standards in South Africa Semantic Scholar Living Standard Measurement Survey It focuses on strengthening household. The living standards measurement study (lsms) was established by the world bank in 1980 to explore ways of improving the type and quality. The living standards measurement study (lsms), a survey program housed within the world bank’s development data group, provides technical. The living standards measurement study (lsms) surveys are one instrument that governments can,. Living Standard Measurement Survey.
From www.slideserve.com
PPT INVENTORY OF AGRICULTURAL HOUSEHOLD STATISTICS PowerPoint Living Standard Measurement Survey It is a response to a perceived need for policy relevant data that would allow. The world bank living standards measurement study (lsms) is a household survey program working to strengthen the availability, quality,. The living standards measurement study (lsms) is the world bank’s flagship household survey program. The living standards measurement study (lsms) surveys are one instrument that governments. Living Standard Measurement Survey.
From www.tutor2u.net
Measuring the Standard of Living tutor2u Economics Living Standard Measurement Survey The living standards measurement study (lsms) is the world bank’s flagship household survey program. It is a response to a perceived need for policy relevant data that would allow. The living standards measurement study (lsms) surveys are one instrument that governments can, and do, use to better understand the causes of. It focuses on strengthening household. The living standards measurement. Living Standard Measurement Survey.
From www.slideserve.com
PPT World Bank Support to Household Survey Programs PowerPoint Living Standard Measurement Survey It focuses on strengthening household. The living standards measurement study (lsms) was established by the world bank in 1980 to explore ways of improving the type and quality. Bridging data gaps and helping countries produce better data has been at the core of the. The living standards measurement study (lsms) is a research project that was initiated in 1980. The. Living Standard Measurement Survey.
From www.semanticscholar.org
Table 1 from Measuring Living Standards in South Africa Semantic Scholar Living Standard Measurement Survey The living standards measurement study (lsms) was established by the world bank in 1980 to explore ways of improving the type and quality. The living standards measurement study (lsms) is the world bank’s flagship household survey program. The living standards measurement study (lsms) surveys are one instrument that governments can, and do, use to better understand the causes of. The. Living Standard Measurement Survey.
From www.semanticscholar.org
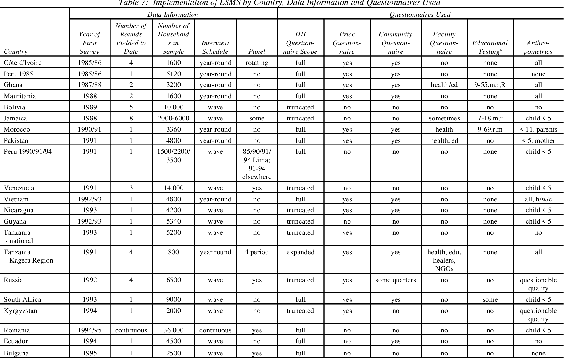
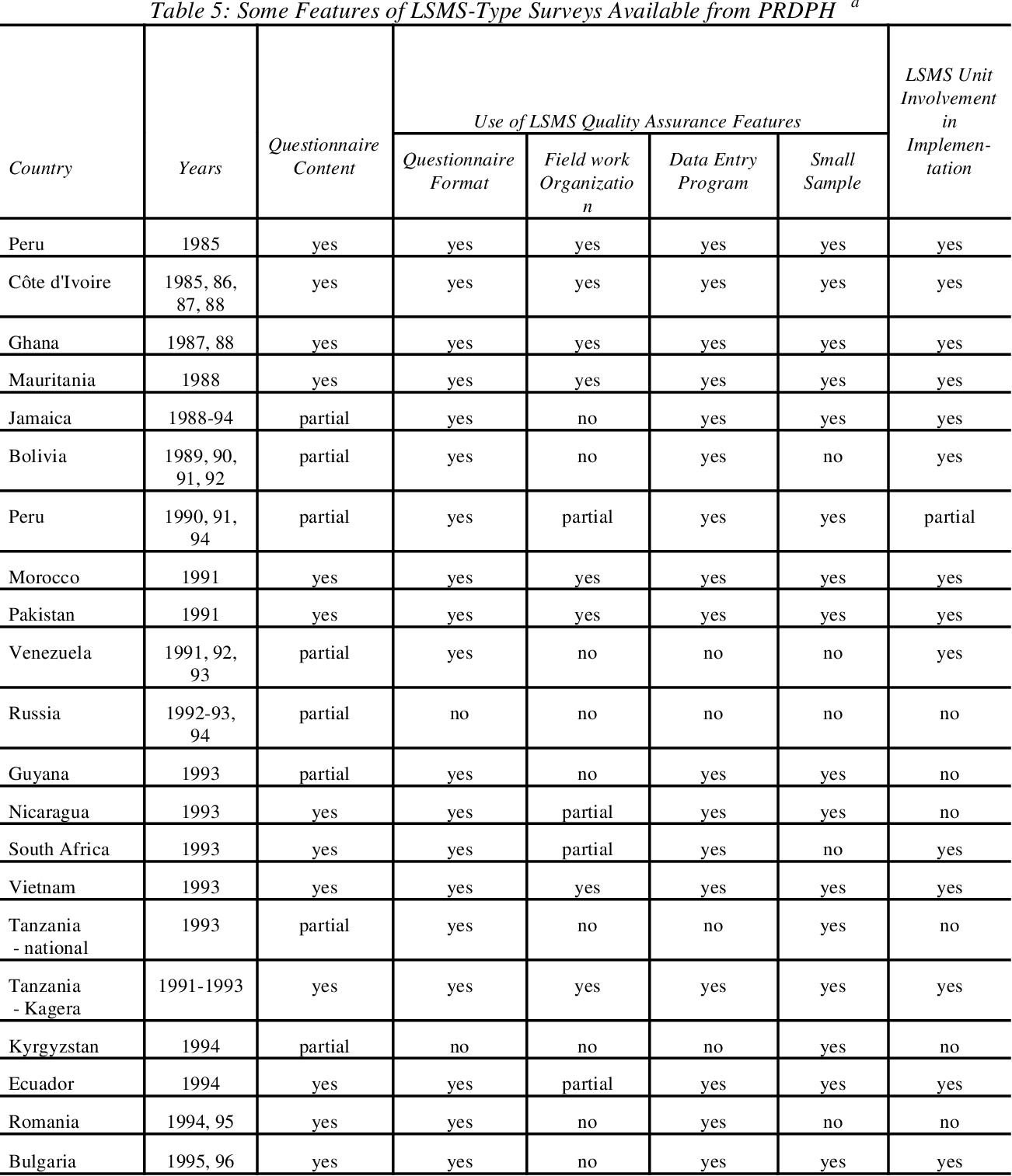
Table 1 from A guide to living standards measurement study surveys and Living Standard Measurement Survey The living standards measurement study (lsms) was established by the world bank in 1980 to explore ways of improving the type and quality. Bridging data gaps and helping countries produce better data has been at the core of the. The living standards measurement study (lsms) is a research project that was initiated in 1980. It focuses on strengthening household. The. Living Standard Measurement Survey.
From www.slideserve.com
PPT Living Standards Measurement StudyIntegrated Surveys on Living Standard Measurement Survey The living standards measurement study (lsms) is a research project that was initiated in 1980. The world bank living standards measurement study (lsms) is a household survey program working to strengthen the availability, quality,. The living standards measurement study (lsms), a survey program housed within the world bank’s development data group, provides technical. Bridging data gaps and helping countries produce. Living Standard Measurement Survey.
From www.semanticscholar.org
[PDF] Measuring Living Standards in South Africa Semantic Scholar Living Standard Measurement Survey The living standards measurement study (lsms) was established by the world bank in 1980 to explore ways of improving the type and quality. The living standards measurement study (lsms) is the world bank’s flagship household survey program. The living standards measurement study (lsms) surveys are one instrument that governments can, and do, use to better understand the causes of. The. Living Standard Measurement Survey.
From www.slideserve.com
PPT Living Standards Measurement Study Surveys PowerPoint Living Standard Measurement Survey Bridging data gaps and helping countries produce better data has been at the core of the. The living standards measurement study (lsms) is a research project that was initiated in 1980. It focuses on strengthening household. The living standards measurement study (lsms), a survey program housed within the world bank’s development data group, provides technical. The living standards measurement study. Living Standard Measurement Survey.
From www.semanticscholar.org
Table 6 from A guide to living standards measurement study surveys and Living Standard Measurement Survey The living standards measurement study (lsms) surveys are one instrument that governments can, and do, use to better understand the causes of. The living standards measurement study (lsms) is a research project that was initiated in 1980. The living standards measurement study (lsms) is the world bank’s flagship household survey program. It focuses on strengthening household. The living standards measurement. Living Standard Measurement Survey.
From www.tutor2u.net
Measuring the Standard of Living tutor2u Economics Living Standard Measurement Survey The living standards measurement study (lsms) is a research project that was initiated in 1980. The living standards measurement study (lsms) is the world bank’s flagship household survey program. The living standards measurement study (lsms) was established by the world bank in 1980 to explore ways of improving the type and quality. The world bank living standards measurement study (lsms). Living Standard Measurement Survey.
From www.semanticscholar.org
Table 5 from A guide to living standards measurement study surveys and Living Standard Measurement Survey The living standards measurement study (lsms) is a research project that was initiated in 1980. It focuses on strengthening household. The living standards measurement study (lsms) was established by the world bank in 1980 to explore ways of improving the type and quality. The living standards measurement study (lsms) surveys are one instrument that governments can, and do, use to. Living Standard Measurement Survey.
From www.slideserve.com
PPT Living Standards Measurement Study PowerPoint Presentation, free Living Standard Measurement Survey The living standards measurement study (lsms) was established by the world bank in 1980 to explore ways of improving the type and quality. The living standards measurement study (lsms), a survey program housed within the world bank’s development data group, provides technical. The world bank living standards measurement study (lsms) is a household survey program working to strengthen the availability,. Living Standard Measurement Survey.
From www.semanticscholar.org
Table 4 from A guide to living standards measurement study surveys and Living Standard Measurement Survey The living standards measurement study (lsms) is the world bank’s flagship household survey program. The living standards measurement study (lsms) is a research project that was initiated in 1980. The living standards measurement study (lsms) was established by the world bank in 1980 to explore ways of improving the type and quality. It is a response to a perceived need. Living Standard Measurement Survey.
From www.slideserve.com
PPT Living Standard Measurement Study Surveys PowerPoint Presentation Living Standard Measurement Survey The living standards measurement study (lsms) was established by the world bank in 1980 to explore ways of improving the type and quality. It focuses on strengthening household. The world bank living standards measurement study (lsms) is a household survey program working to strengthen the availability, quality,. The living standards measurement study (lsms) is the world bank’s flagship household survey. Living Standard Measurement Survey.
From pdfslide.net
(PDF) LIVING STANDARDS MEASUREMENT SURVEY THE REPUBLIC …siteresources Living Standard Measurement Survey It is a response to a perceived need for policy relevant data that would allow. The living standards measurement study (lsms) is the world bank’s flagship household survey program. The world bank living standards measurement study (lsms) is a household survey program working to strengthen the availability, quality,. Bridging data gaps and helping countries produce better data has been at. Living Standard Measurement Survey.
From www.slideserve.com
PPT PB Support Mechanisms PowerPoint Presentation, free download ID Living Standard Measurement Survey The living standards measurement study (lsms) is the world bank’s flagship household survey program. It focuses on strengthening household. The living standards measurement study (lsms) was established by the world bank in 1980 to explore ways of improving the type and quality. The living standards measurement study (lsms) surveys are one instrument that governments can, and do, use to better. Living Standard Measurement Survey.
From www.slideserve.com
PPT Living Standards Measurement Study Surveys PowerPoint Living Standard Measurement Survey It focuses on strengthening household. The living standards measurement study (lsms) surveys are one instrument that governments can, and do, use to better understand the causes of. The living standards measurement study (lsms), a survey program housed within the world bank’s development data group, provides technical. The living standards measurement study (lsms) surveys are one instrument that governments can, and. Living Standard Measurement Survey.
From www.slideserve.com
PPT Living Standards Measurement Study Surveys PowerPoint Living Standard Measurement Survey It is a response to a perceived need for policy relevant data that would allow. The living standards measurement study (lsms) surveys are one instrument that governments can, and do, use to better understand the causes of. The living standards measurement study (lsms) surveys are one instrument that governments can, and do, use to better understand the causes of. The. Living Standard Measurement Survey.
From www.slideserve.com
PPT Living Standards Measurement StudyIntegrated Surveys on Living Standard Measurement Survey The living standards measurement study (lsms) is a research project that was initiated in 1980. It focuses on strengthening household. It is a response to a perceived need for policy relevant data that would allow. The living standards measurement study (lsms) surveys are one instrument that governments can, and do, use to better understand the causes of. The world bank. Living Standard Measurement Survey.
From www.slideserve.com
PPT Living Standards Measurement StudyIntegrated Surveys on Living Standard Measurement Survey The world bank living standards measurement study (lsms) is a household survey program working to strengthen the availability, quality,. It is a response to a perceived need for policy relevant data that would allow. The living standards measurement study (lsms), a survey program housed within the world bank’s development data group, provides technical. The living standards measurement study (lsms) is. Living Standard Measurement Survey.
From www.slideserve.com
PPT PB Support Mechanisms PowerPoint Presentation, free download ID Living Standard Measurement Survey Bridging data gaps and helping countries produce better data has been at the core of the. The living standards measurement study (lsms) surveys are one instrument that governments can, and do, use to better understand the causes of. The living standards measurement study (lsms) is a research project that was initiated in 1980. The world bank living standards measurement study. Living Standard Measurement Survey.
From www.slideserve.com
PPT The Living Standard Measures PowerPoint Presentation, free Living Standard Measurement Survey The living standards measurement study (lsms) surveys are one instrument that governments can, and do, use to better understand the causes of. The living standards measurement study (lsms) is a research project that was initiated in 1980. The living standards measurement study (lsms) was established by the world bank in 1980 to explore ways of improving the type and quality.. Living Standard Measurement Survey.
From www.researchgate.net
The global distribution of living standards measurement surveys with Living Standard Measurement Survey The living standards measurement study (lsms) surveys are one instrument that governments can, and do, use to better understand the causes of. It focuses on strengthening household. The living standards measurement study (lsms) is the world bank’s flagship household survey program. Bridging data gaps and helping countries produce better data has been at the core of the. The living standards. Living Standard Measurement Survey.
From www.researchgate.net
Living Standards Measure 1 3 Download Scientific Diagram Living Standard Measurement Survey The living standards measurement study (lsms) surveys are one instrument that governments can, and do, use to better understand the causes of. Bridging data gaps and helping countries produce better data has been at the core of the. The living standards measurement study (lsms) is a research project that was initiated in 1980. The world bank living standards measurement study. Living Standard Measurement Survey.
From www.slideserve.com
PPT Living Standards Measurement Study Surveys PowerPoint Living Standard Measurement Survey The world bank living standards measurement study (lsms) is a household survey program working to strengthen the availability, quality,. The living standards measurement study (lsms) was established by the world bank in 1980 to explore ways of improving the type and quality. It focuses on strengthening household. The living standards measurement study (lsms) is a research project that was initiated. Living Standard Measurement Survey.
From www.slideserve.com
PPT Household Surveys Overview PowerPoint Presentation, free Living Standard Measurement Survey The living standards measurement study (lsms) is the world bank’s flagship household survey program. It focuses on strengthening household. The living standards measurement study (lsms) surveys are one instrument that governments can, and do, use to better understand the causes of. The living standards measurement study (lsms) is a research project that was initiated in 1980. The living standards measurement. Living Standard Measurement Survey.
From www.semanticscholar.org
[PDF] Measuring Living Standards in South Africa Semantic Scholar Living Standard Measurement Survey The world bank living standards measurement study (lsms) is a household survey program working to strengthen the availability, quality,. The living standards measurement study (lsms) surveys are one instrument that governments can, and do, use to better understand the causes of. The living standards measurement study (lsms) is the world bank’s flagship household survey program. The living standards measurement study. Living Standard Measurement Survey.
From www.semanticscholar.org
Table 8 from A guide to living standards measurement study surveys and Living Standard Measurement Survey Bridging data gaps and helping countries produce better data has been at the core of the. The world bank living standards measurement study (lsms) is a household survey program working to strengthen the availability, quality,. It is a response to a perceived need for policy relevant data that would allow. It focuses on strengthening household. The living standards measurement study. Living Standard Measurement Survey.
From www.semanticscholar.org
Table 7 from A guide to living standards measurement study surveys and Living Standard Measurement Survey The living standards measurement study (lsms), a survey program housed within the world bank’s development data group, provides technical. The living standards measurement study (lsms) was established by the world bank in 1980 to explore ways of improving the type and quality. The world bank living standards measurement study (lsms) is a household survey program working to strengthen the availability,. Living Standard Measurement Survey.
From www.slideserve.com
PPT Living Standards Measurement Study Surveys PowerPoint Living Standard Measurement Survey It is a response to a perceived need for policy relevant data that would allow. The living standards measurement study (lsms) surveys are one instrument that governments can, and do, use to better understand the causes of. The living standards measurement study (lsms) is a research project that was initiated in 1980. It focuses on strengthening household. Bridging data gaps. Living Standard Measurement Survey.
From www.slideserve.com
PPT 17 October 2012 PowerPoint Presentation, free download ID9336679 Living Standard Measurement Survey The living standards measurement study (lsms) is the world bank’s flagship household survey program. Bridging data gaps and helping countries produce better data has been at the core of the. The living standards measurement study (lsms) surveys are one instrument that governments can, and do, use to better understand the causes of. The world bank living standards measurement study (lsms). Living Standard Measurement Survey.
From www.slideserve.com
PPT Living Standards Measurement Study PowerPoint Presentation, free Living Standard Measurement Survey The living standards measurement study (lsms), a survey program housed within the world bank’s development data group, provides technical. The living standards measurement study (lsms) is a research project that was initiated in 1980. It focuses on strengthening household. The living standards measurement study (lsms) surveys are one instrument that governments can, and do, use to better understand the causes. Living Standard Measurement Survey.
From www.slideserve.com
PPT Living Standards Measurement Study Surveys PowerPoint Living Standard Measurement Survey The living standards measurement study (lsms), a survey program housed within the world bank’s development data group, provides technical. The living standards measurement study (lsms) was established by the world bank in 1980 to explore ways of improving the type and quality. The living standards measurement study (lsms) surveys are one instrument that governments can, and do, use to better. Living Standard Measurement Survey.