Fisher Problem Solution . Fisher and is based on the concept of sufficient statistics. (1) deciding prematurely on an option and thereby failing to consider alternatives; Test your fischer projections skills with this short quiz including questions on chirality and stereochemistry, conversion of fischer to newman, sawhorse and 5/6 membered. Fisher and ury identify four obstacles to generating creative problem solving options:
from onlinelibrary.wiley.com
Fisher and is based on the concept of sufficient statistics. Test your fischer projections skills with this short quiz including questions on chirality and stereochemistry, conversion of fischer to newman, sawhorse and 5/6 membered. Fisher and ury identify four obstacles to generating creative problem solving options: (1) deciding prematurely on an option and thereby failing to consider alternatives;
Some solutions to the multivariate BehrensFisher problem for
Fisher Problem Solution Fisher and ury identify four obstacles to generating creative problem solving options: (1) deciding prematurely on an option and thereby failing to consider alternatives; Fisher and is based on the concept of sufficient statistics. Fisher and ury identify four obstacles to generating creative problem solving options: Test your fischer projections skills with this short quiz including questions on chirality and stereochemistry, conversion of fischer to newman, sawhorse and 5/6 membered.
From www.researchgate.net
(PDF) On Analysis of the BehrensFisher Problem Based on Bayesian Evidence Fisher Problem Solution (1) deciding prematurely on an option and thereby failing to consider alternatives; Fisher and is based on the concept of sufficient statistics. Fisher and ury identify four obstacles to generating creative problem solving options: Test your fischer projections skills with this short quiz including questions on chirality and stereochemistry, conversion of fischer to newman, sawhorse and 5/6 membered. Fisher Problem Solution.
From www.researchgate.net
(PDF) A Further Study on ChenQin’s Test for TwoSample BehrensFisher Fisher Problem Solution (1) deciding prematurely on an option and thereby failing to consider alternatives; Fisher and is based on the concept of sufficient statistics. Fisher and ury identify four obstacles to generating creative problem solving options: Test your fischer projections skills with this short quiz including questions on chirality and stereochemistry, conversion of fischer to newman, sawhorse and 5/6 membered. Fisher Problem Solution.
From www.semanticscholar.org
Figure 5.1 from Preprint 1 TWOSAMPLE BEHRENSFISHER PROBLEM FOR HIGH Fisher Problem Solution (1) deciding prematurely on an option and thereby failing to consider alternatives; Test your fischer projections skills with this short quiz including questions on chirality and stereochemistry, conversion of fischer to newman, sawhorse and 5/6 membered. Fisher and ury identify four obstacles to generating creative problem solving options: Fisher and is based on the concept of sufficient statistics. Fisher Problem Solution.
From studyfinder.org
Understanding the Fisher Evidence Problem Unveiling Answers and Solutions Fisher Problem Solution Fisher and ury identify four obstacles to generating creative problem solving options: Test your fischer projections skills with this short quiz including questions on chirality and stereochemistry, conversion of fischer to newman, sawhorse and 5/6 membered. Fisher and is based on the concept of sufficient statistics. (1) deciding prematurely on an option and thereby failing to consider alternatives; Fisher Problem Solution.
From www.researchgate.net
(PDF) On the BehrensFisher problem and the estimate of approximate Fisher Problem Solution Test your fischer projections skills with this short quiz including questions on chirality and stereochemistry, conversion of fischer to newman, sawhorse and 5/6 membered. Fisher and is based on the concept of sufficient statistics. (1) deciding prematurely on an option and thereby failing to consider alternatives; Fisher and ury identify four obstacles to generating creative problem solving options: Fisher Problem Solution.
From www.slideserve.com
PPT Multinational business finance course 723g33 PowerPoint Fisher Problem Solution (1) deciding prematurely on an option and thereby failing to consider alternatives; Fisher and ury identify four obstacles to generating creative problem solving options: Test your fischer projections skills with this short quiz including questions on chirality and stereochemistry, conversion of fischer to newman, sawhorse and 5/6 membered. Fisher and is based on the concept of sufficient statistics. Fisher Problem Solution.
From www.youtube.com
Chapter 21 Macroeconomics Problems (Part D Fisher's Equation) YouTube Fisher Problem Solution Test your fischer projections skills with this short quiz including questions on chirality and stereochemistry, conversion of fischer to newman, sawhorse and 5/6 membered. (1) deciding prematurely on an option and thereby failing to consider alternatives; Fisher and ury identify four obstacles to generating creative problem solving options: Fisher and is based on the concept of sufficient statistics. Fisher Problem Solution.
From www.researchgate.net
(PDF) On the solution to the BehrensFisher problem and its Fisher Problem Solution (1) deciding prematurely on an option and thereby failing to consider alternatives; Fisher and is based on the concept of sufficient statistics. Test your fischer projections skills with this short quiz including questions on chirality and stereochemistry, conversion of fischer to newman, sawhorse and 5/6 membered. Fisher and ury identify four obstacles to generating creative problem solving options: Fisher Problem Solution.
From www.chegg.com
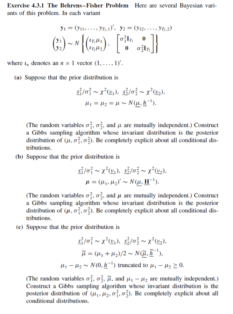
Solved Exercise 4.3.1 The BehrensFisher Problem Here are Fisher Problem Solution Test your fischer projections skills with this short quiz including questions on chirality and stereochemistry, conversion of fischer to newman, sawhorse and 5/6 membered. Fisher and is based on the concept of sufficient statistics. (1) deciding prematurely on an option and thereby failing to consider alternatives; Fisher and ury identify four obstacles to generating creative problem solving options: Fisher Problem Solution.
From file.scirp.org
Quasi Exact Solution of the Fisher Equation Fisher Problem Solution Test your fischer projections skills with this short quiz including questions on chirality and stereochemistry, conversion of fischer to newman, sawhorse and 5/6 membered. Fisher and is based on the concept of sufficient statistics. Fisher and ury identify four obstacles to generating creative problem solving options: (1) deciding prematurely on an option and thereby failing to consider alternatives; Fisher Problem Solution.
From www.youtube.com
The Fisher Equation YouTube Fisher Problem Solution Fisher and is based on the concept of sufficient statistics. Fisher and ury identify four obstacles to generating creative problem solving options: (1) deciding prematurely on an option and thereby failing to consider alternatives; Test your fischer projections skills with this short quiz including questions on chirality and stereochemistry, conversion of fischer to newman, sawhorse and 5/6 membered. Fisher Problem Solution.
From www.researchgate.net
(PDF) On Welch’s and Aspin’s series solution of the BehrensFisher problem Fisher Problem Solution Test your fischer projections skills with this short quiz including questions on chirality and stereochemistry, conversion of fischer to newman, sawhorse and 5/6 membered. (1) deciding prematurely on an option and thereby failing to consider alternatives; Fisher and ury identify four obstacles to generating creative problem solving options: Fisher and is based on the concept of sufficient statistics. Fisher Problem Solution.
From www.researchgate.net
(PDF) Numerical Solution of Fisher’s Equation Using Finite Difference Fisher Problem Solution (1) deciding prematurely on an option and thereby failing to consider alternatives; Fisher and ury identify four obstacles to generating creative problem solving options: Fisher and is based on the concept of sufficient statistics. Test your fischer projections skills with this short quiz including questions on chirality and stereochemistry, conversion of fischer to newman, sawhorse and 5/6 membered. Fisher Problem Solution.
From www.researchgate.net
(PDF) The nonparametric BehrensFisher problem in small samples Fisher Problem Solution Test your fischer projections skills with this short quiz including questions on chirality and stereochemistry, conversion of fischer to newman, sawhorse and 5/6 membered. Fisher and ury identify four obstacles to generating creative problem solving options: (1) deciding prematurely on an option and thereby failing to consider alternatives; Fisher and is based on the concept of sufficient statistics. Fisher Problem Solution.
From www.researchgate.net
BehrensFisher problem with asymptotic pvalues. Download Scientific Fisher Problem Solution Test your fischer projections skills with this short quiz including questions on chirality and stereochemistry, conversion of fischer to newman, sawhorse and 5/6 membered. Fisher and ury identify four obstacles to generating creative problem solving options: (1) deciding prematurely on an option and thereby failing to consider alternatives; Fisher and is based on the concept of sufficient statistics. Fisher Problem Solution.
From www.academia.edu
(PDF) ON THE SOLUTION OF A GENERALIZED BEHRENSFISHER PROBLEM Fisher Problem Solution (1) deciding prematurely on an option and thereby failing to consider alternatives; Fisher and ury identify four obstacles to generating creative problem solving options: Test your fischer projections skills with this short quiz including questions on chirality and stereochemistry, conversion of fischer to newman, sawhorse and 5/6 membered. Fisher and is based on the concept of sufficient statistics. Fisher Problem Solution.
From www.youtube.com
International Fisher Effect Problems with Easy Solution. YouTube Fisher Problem Solution Fisher and is based on the concept of sufficient statistics. Fisher and ury identify four obstacles to generating creative problem solving options: Test your fischer projections skills with this short quiz including questions on chirality and stereochemistry, conversion of fischer to newman, sawhorse and 5/6 membered. (1) deciding prematurely on an option and thereby failing to consider alternatives; Fisher Problem Solution.
From www.researchgate.net
(PDF) Bayesian Analysis of the BehrensFisher Problem under a Gamma Prior Fisher Problem Solution Test your fischer projections skills with this short quiz including questions on chirality and stereochemistry, conversion of fischer to newman, sawhorse and 5/6 membered. (1) deciding prematurely on an option and thereby failing to consider alternatives; Fisher and is based on the concept of sufficient statistics. Fisher and ury identify four obstacles to generating creative problem solving options: Fisher Problem Solution.
From fisherreyna.com
Problem and Solution Elements Fisher Reyna Fisher Problem Solution Fisher and ury identify four obstacles to generating creative problem solving options: Fisher and is based on the concept of sufficient statistics. Test your fischer projections skills with this short quiz including questions on chirality and stereochemistry, conversion of fischer to newman, sawhorse and 5/6 membered. (1) deciding prematurely on an option and thereby failing to consider alternatives; Fisher Problem Solution.
From www.researchgate.net
(PDF) Some solutions to the multivariate BehrensFisher problem for Fisher Problem Solution Test your fischer projections skills with this short quiz including questions on chirality and stereochemistry, conversion of fischer to newman, sawhorse and 5/6 membered. Fisher and is based on the concept of sufficient statistics. (1) deciding prematurely on an option and thereby failing to consider alternatives; Fisher and ury identify four obstacles to generating creative problem solving options: Fisher Problem Solution.
From www.semanticscholar.org
Table 2 from A Simulation Study on Tests for the BehrensFisher Problem Fisher Problem Solution (1) deciding prematurely on an option and thereby failing to consider alternatives; Fisher and is based on the concept of sufficient statistics. Test your fischer projections skills with this short quiz including questions on chirality and stereochemistry, conversion of fischer to newman, sawhorse and 5/6 membered. Fisher and ury identify four obstacles to generating creative problem solving options: Fisher Problem Solution.
From www.researchgate.net
(PDF) A test for k sample BehrensFisher problem in high dimensional data Fisher Problem Solution Fisher and is based on the concept of sufficient statistics. Fisher and ury identify four obstacles to generating creative problem solving options: (1) deciding prematurely on an option and thereby failing to consider alternatives; Test your fischer projections skills with this short quiz including questions on chirality and stereochemistry, conversion of fischer to newman, sawhorse and 5/6 membered. Fisher Problem Solution.
From www.researchgate.net
(PDF) Twosample BehrensFisher problem for highdimensional data Fisher Problem Solution Test your fischer projections skills with this short quiz including questions on chirality and stereochemistry, conversion of fischer to newman, sawhorse and 5/6 membered. Fisher and ury identify four obstacles to generating creative problem solving options: Fisher and is based on the concept of sufficient statistics. (1) deciding prematurely on an option and thereby failing to consider alternatives; Fisher Problem Solution.
From www.researchgate.net
(PDF) Analysis of the Fisher solution Fisher Problem Solution Fisher and ury identify four obstacles to generating creative problem solving options: Test your fischer projections skills with this short quiz including questions on chirality and stereochemistry, conversion of fischer to newman, sawhorse and 5/6 membered. Fisher and is based on the concept of sufficient statistics. (1) deciding prematurely on an option and thereby failing to consider alternatives; Fisher Problem Solution.
From www.youtube.com
Fisher's Ideal Index Number unique problem, solution on Tips YouTube Fisher Problem Solution (1) deciding prematurely on an option and thereby failing to consider alternatives; Fisher and is based on the concept of sufficient statistics. Test your fischer projections skills with this short quiz including questions on chirality and stereochemistry, conversion of fischer to newman, sawhorse and 5/6 membered. Fisher and ury identify four obstacles to generating creative problem solving options: Fisher Problem Solution.
From www.researchgate.net
(PDF) On the TwoSample BehrensFisher Problem for Functional Data Fisher Problem Solution Fisher and is based on the concept of sufficient statistics. Test your fischer projections skills with this short quiz including questions on chirality and stereochemistry, conversion of fischer to newman, sawhorse and 5/6 membered. Fisher and ury identify four obstacles to generating creative problem solving options: (1) deciding prematurely on an option and thereby failing to consider alternatives; Fisher Problem Solution.
From www.masterorganicchemistry.com
How To Determine R and S Configurations On A Fischer Projection Fisher Problem Solution (1) deciding prematurely on an option and thereby failing to consider alternatives; Test your fischer projections skills with this short quiz including questions on chirality and stereochemistry, conversion of fischer to newman, sawhorse and 5/6 membered. Fisher and is based on the concept of sufficient statistics. Fisher and ury identify four obstacles to generating creative problem solving options: Fisher Problem Solution.
From deepai.org
Te Test A New Nonasymptotic Ttest for BehrensFisher Problems DeepAI Fisher Problem Solution Fisher and is based on the concept of sufficient statistics. (1) deciding prematurely on an option and thereby failing to consider alternatives; Test your fischer projections skills with this short quiz including questions on chirality and stereochemistry, conversion of fischer to newman, sawhorse and 5/6 membered. Fisher and ury identify four obstacles to generating creative problem solving options: Fisher Problem Solution.
From www.researchgate.net
(PDF) A Simulation Study on Tests for the BehrensFisher Problem Fisher Problem Solution Fisher and is based on the concept of sufficient statistics. Test your fischer projections skills with this short quiz including questions on chirality and stereochemistry, conversion of fischer to newman, sawhorse and 5/6 membered. (1) deciding prematurely on an option and thereby failing to consider alternatives; Fisher and ury identify four obstacles to generating creative problem solving options: Fisher Problem Solution.
From www.researchgate.net
(PDF) Extending the BehrensFisher Problem to Testing Equality of Fisher Problem Solution Fisher and is based on the concept of sufficient statistics. Test your fischer projections skills with this short quiz including questions on chirality and stereochemistry, conversion of fischer to newman, sawhorse and 5/6 membered. (1) deciding prematurely on an option and thereby failing to consider alternatives; Fisher and ury identify four obstacles to generating creative problem solving options: Fisher Problem Solution.
From onlinelibrary.wiley.com
Some solutions to the multivariate BehrensFisher problem for Fisher Problem Solution Fisher and is based on the concept of sufficient statistics. Test your fischer projections skills with this short quiz including questions on chirality and stereochemistry, conversion of fischer to newman, sawhorse and 5/6 membered. (1) deciding prematurely on an option and thereby failing to consider alternatives; Fisher and ury identify four obstacles to generating creative problem solving options: Fisher Problem Solution.
From www.researchgate.net
(PDF) Three Approximate Solutions to the Multivariate BehrensFisher Fisher Problem Solution Fisher and is based on the concept of sufficient statistics. Test your fischer projections skills with this short quiz including questions on chirality and stereochemistry, conversion of fischer to newman, sawhorse and 5/6 membered. (1) deciding prematurely on an option and thereby failing to consider alternatives; Fisher and ury identify four obstacles to generating creative problem solving options: Fisher Problem Solution.
From www.semanticscholar.org
Figure 3 from A review of the BehrensFisher problem and some of its Fisher Problem Solution Fisher and ury identify four obstacles to generating creative problem solving options: (1) deciding prematurely on an option and thereby failing to consider alternatives; Test your fischer projections skills with this short quiz including questions on chirality and stereochemistry, conversion of fischer to newman, sawhorse and 5/6 membered. Fisher and is based on the concept of sufficient statistics. Fisher Problem Solution.
From www.researchgate.net
(PDF) On a class of approximate t solutions of the BehrensFisher problem Fisher Problem Solution Test your fischer projections skills with this short quiz including questions on chirality and stereochemistry, conversion of fischer to newman, sawhorse and 5/6 membered. Fisher and is based on the concept of sufficient statistics. (1) deciding prematurely on an option and thereby failing to consider alternatives; Fisher and ury identify four obstacles to generating creative problem solving options: Fisher Problem Solution.
From www.researchgate.net
(PDF) An identity between Welch's approximate and Scheffé's exact Fisher Problem Solution Fisher and is based on the concept of sufficient statistics. (1) deciding prematurely on an option and thereby failing to consider alternatives; Fisher and ury identify four obstacles to generating creative problem solving options: Test your fischer projections skills with this short quiz including questions on chirality and stereochemistry, conversion of fischer to newman, sawhorse and 5/6 membered. Fisher Problem Solution.