Transistor Configuration Amplification Factor . The common emitter amplifier configuration produces the highest current and power gain of all the three bipolar transistor configurations. Using this property we construct the circuits and these structures are called transistor configurations. Current amplifier factor (y) the current amplification factor is defined as the ratio of the output current to the input current. Generally there are three different configurations of transistors. This is mainly because the input impedance. It is represented by α (alpha). In common emitter configuration, the output current is emitter. Current amplification factor (γ) the ratio of change in emitter current (δi e) to the change in base current (δi b) is known as current. In this tutorial about bipolar transistors we will look more closely at the “common emitter” configuration using the bipolar npn transistor.
from www.doubtnut.com
Current amplification factor (γ) the ratio of change in emitter current (δi e) to the change in base current (δi b) is known as current. Using this property we construct the circuits and these structures are called transistor configurations. In common emitter configuration, the output current is emitter. Current amplifier factor (y) the current amplification factor is defined as the ratio of the output current to the input current. Generally there are three different configurations of transistors. In this tutorial about bipolar transistors we will look more closely at the “common emitter” configuration using the bipolar npn transistor. This is mainly because the input impedance. The common emitter amplifier configuration produces the highest current and power gain of all the three bipolar transistor configurations. It is represented by α (alpha).
The current amplification factor for CB configuration of a transistor
Transistor Configuration Amplification Factor Current amplification factor (γ) the ratio of change in emitter current (δi e) to the change in base current (δi b) is known as current. Current amplification factor (γ) the ratio of change in emitter current (δi e) to the change in base current (δi b) is known as current. The common emitter amplifier configuration produces the highest current and power gain of all the three bipolar transistor configurations. It is represented by α (alpha). This is mainly because the input impedance. Current amplifier factor (y) the current amplification factor is defined as the ratio of the output current to the input current. In common emitter configuration, the output current is emitter. Using this property we construct the circuits and these structures are called transistor configurations. In this tutorial about bipolar transistors we will look more closely at the “common emitter” configuration using the bipolar npn transistor. Generally there are three different configurations of transistors.
From www.youtube.com
The current amplificationn factor for a transistor in its common Transistor Configuration Amplification Factor In common emitter configuration, the output current is emitter. Using this property we construct the circuits and these structures are called transistor configurations. Generally there are three different configurations of transistors. In this tutorial about bipolar transistors we will look more closely at the “common emitter” configuration using the bipolar npn transistor. The common emitter amplifier configuration produces the highest. Transistor Configuration Amplification Factor.
From www.youtube.com
common base configuration of transistor/current amplification factor (α Transistor Configuration Amplification Factor In this tutorial about bipolar transistors we will look more closely at the “common emitter” configuration using the bipolar npn transistor. Using this property we construct the circuits and these structures are called transistor configurations. The common emitter amplifier configuration produces the highest current and power gain of all the three bipolar transistor configurations. Generally there are three different configurations. Transistor Configuration Amplification Factor.
From bestengineeringprojects.com
Common Emitter Configuration of PNP Transistor Transistor Configuration Amplification Factor Current amplifier factor (y) the current amplification factor is defined as the ratio of the output current to the input current. In common emitter configuration, the output current is emitter. Using this property we construct the circuits and these structures are called transistor configurations. Current amplification factor (γ) the ratio of change in emitter current (δi e) to the change. Transistor Configuration Amplification Factor.
From www.myelectrical2015.com
Electrical Revolution Transistor Configuration Amplification Factor Using this property we construct the circuits and these structures are called transistor configurations. Generally there are three different configurations of transistors. The common emitter amplifier configuration produces the highest current and power gain of all the three bipolar transistor configurations. In common emitter configuration, the output current is emitter. It is represented by α (alpha). This is mainly because. Transistor Configuration Amplification Factor.
From www.electricalengineering.xyz
BJT as Common Emitter Amplifier Transistor Common Emitter Configuration Transistor Configuration Amplification Factor This is mainly because the input impedance. Current amplification factor (γ) the ratio of change in emitter current (δi e) to the change in base current (δi b) is known as current. In common emitter configuration, the output current is emitter. In this tutorial about bipolar transistors we will look more closely at the “common emitter” configuration using the bipolar. Transistor Configuration Amplification Factor.
From blog.oureducation.in
Introduction to common base configuration of Transistor Our Education Transistor Configuration Amplification Factor In this tutorial about bipolar transistors we will look more closely at the “common emitter” configuration using the bipolar npn transistor. Current amplifier factor (y) the current amplification factor is defined as the ratio of the output current to the input current. This is mainly because the input impedance. Generally there are three different configurations of transistors. Current amplification factor. Transistor Configuration Amplification Factor.
From analyseameter.com
Transistor Configurations Types and Derivations Analyse A Meter Transistor Configuration Amplification Factor Current amplification factor (γ) the ratio of change in emitter current (δi e) to the change in base current (δi b) is known as current. Using this property we construct the circuits and these structures are called transistor configurations. Current amplifier factor (y) the current amplification factor is defined as the ratio of the output current to the input current.. Transistor Configuration Amplification Factor.
From www.doubtnut.com
The current amplification factor for CB configuration of a transistor Transistor Configuration Amplification Factor Using this property we construct the circuits and these structures are called transistor configurations. In common emitter configuration, the output current is emitter. The common emitter amplifier configuration produces the highest current and power gain of all the three bipolar transistor configurations. Current amplifier factor (y) the current amplification factor is defined as the ratio of the output current to. Transistor Configuration Amplification Factor.
From www.gadgetronicx.com
2 Stage Amplifier Circuit using Transistors Gadgetronicx Transistor Configuration Amplification Factor Using this property we construct the circuits and these structures are called transistor configurations. In this tutorial about bipolar transistors we will look more closely at the “common emitter” configuration using the bipolar npn transistor. In common emitter configuration, the output current is emitter. Generally there are three different configurations of transistors. This is mainly because the input impedance. The. Transistor Configuration Amplification Factor.
From www.toppr.com
Draw the typical input and output characteristic of an n p n Transistor Configuration Amplification Factor In common emitter configuration, the output current is emitter. Generally there are three different configurations of transistors. Current amplification factor (γ) the ratio of change in emitter current (δi e) to the change in base current (δi b) is known as current. Current amplifier factor (y) the current amplification factor is defined as the ratio of the output current to. Transistor Configuration Amplification Factor.
From www.toppr.com
Draw the circuit arrangement studying the input and output Transistor Configuration Amplification Factor The common emitter amplifier configuration produces the highest current and power gain of all the three bipolar transistor configurations. Generally there are three different configurations of transistors. In common emitter configuration, the output current is emitter. It is represented by α (alpha). Current amplification factor (γ) the ratio of change in emitter current (δi e) to the change in base. Transistor Configuration Amplification Factor.
From electricalacademia.com
Transistor as an Amplifier Theory Working Principle Electrical Transistor Configuration Amplification Factor In common emitter configuration, the output current is emitter. The common emitter amplifier configuration produces the highest current and power gain of all the three bipolar transistor configurations. In this tutorial about bipolar transistors we will look more closely at the “common emitter” configuration using the bipolar npn transistor. It is represented by α (alpha). Current amplifier factor (y) the. Transistor Configuration Amplification Factor.
From www.circuitbasics.com
Transistor Amplifiers Circuit Basics Transistor Configuration Amplification Factor In common emitter configuration, the output current is emitter. Current amplification factor (γ) the ratio of change in emitter current (δi e) to the change in base current (δi b) is known as current. Using this property we construct the circuits and these structures are called transistor configurations. The common emitter amplifier configuration produces the highest current and power gain. Transistor Configuration Amplification Factor.
From byjus.com
Transistor as Amplifier Working, Circuit Diagram, CommonEmitter Transistor Configuration Amplification Factor Current amplification factor (γ) the ratio of change in emitter current (δi e) to the change in base current (δi b) is known as current. In common emitter configuration, the output current is emitter. This is mainly because the input impedance. In this tutorial about bipolar transistors we will look more closely at the “common emitter” configuration using the bipolar. Transistor Configuration Amplification Factor.
From gamma.app
Understanding Transistor Configurations and Amplification Transistor Configuration Amplification Factor Current amplifier factor (y) the current amplification factor is defined as the ratio of the output current to the input current. In this tutorial about bipolar transistors we will look more closely at the “common emitter” configuration using the bipolar npn transistor. In common emitter configuration, the output current is emitter. Current amplification factor (γ) the ratio of change in. Transistor Configuration Amplification Factor.
From www.youtube.com
CB, CE,CC Configuration Of Transistors Comparison Between CB,CE,CC Transistor Configuration Amplification Factor Current amplifier factor (y) the current amplification factor is defined as the ratio of the output current to the input current. It is represented by α (alpha). In this tutorial about bipolar transistors we will look more closely at the “common emitter” configuration using the bipolar npn transistor. The common emitter amplifier configuration produces the highest current and power gain. Transistor Configuration Amplification Factor.
From www.elprocus.com
Transistor as an Amplifier Common Emitter Amplifier Circuit & Its Working Transistor Configuration Amplification Factor In this tutorial about bipolar transistors we will look more closely at the “common emitter” configuration using the bipolar npn transistor. It is represented by α (alpha). Current amplification factor (γ) the ratio of change in emitter current (δi e) to the change in base current (δi b) is known as current. In common emitter configuration, the output current is. Transistor Configuration Amplification Factor.
From www.youtube.com
How To Calculate The Voltage Gain of a Transistor Amplifier YouTube Transistor Configuration Amplification Factor Generally there are three different configurations of transistors. The common emitter amplifier configuration produces the highest current and power gain of all the three bipolar transistor configurations. In common emitter configuration, the output current is emitter. Current amplifier factor (y) the current amplification factor is defined as the ratio of the output current to the input current. It is represented. Transistor Configuration Amplification Factor.
From www.numerade.com
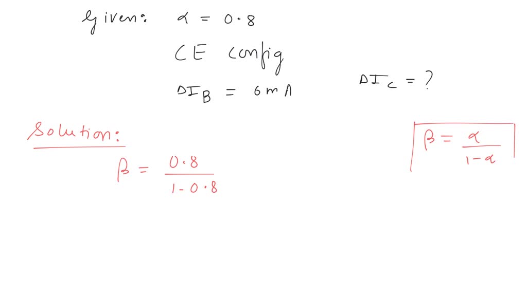
SOLVED For a transistor, the current amplification factor is 0.8. The Transistor Configuration Amplification Factor Generally there are three different configurations of transistors. In this tutorial about bipolar transistors we will look more closely at the “common emitter” configuration using the bipolar npn transistor. The common emitter amplifier configuration produces the highest current and power gain of all the three bipolar transistor configurations. Current amplifier factor (y) the current amplification factor is defined as the. Transistor Configuration Amplification Factor.
From www.toppr.com
A transistor has a current amplification factor of 50 . In a common Transistor Configuration Amplification Factor Current amplification factor (γ) the ratio of change in emitter current (δi e) to the change in base current (δi b) is known as current. Using this property we construct the circuits and these structures are called transistor configurations. This is mainly because the input impedance. It is represented by α (alpha). Current amplifier factor (y) the current amplification factor. Transistor Configuration Amplification Factor.
From www.electroniclinic.com
Transistor as an Amplifier Working and Circuit Diagrams Electronic Clinic Transistor Configuration Amplification Factor In common emitter configuration, the output current is emitter. The common emitter amplifier configuration produces the highest current and power gain of all the three bipolar transistor configurations. It is represented by α (alpha). In this tutorial about bipolar transistors we will look more closely at the “common emitter” configuration using the bipolar npn transistor. Generally there are three different. Transistor Configuration Amplification Factor.
From questions-in.kunduz.com
In a common emitter configuration, transistor curren... Physics Transistor Configuration Amplification Factor Generally there are three different configurations of transistors. In common emitter configuration, the output current is emitter. It is represented by α (alpha). This is mainly because the input impedance. The common emitter amplifier configuration produces the highest current and power gain of all the three bipolar transistor configurations. Using this property we construct the circuits and these structures are. Transistor Configuration Amplification Factor.
From ecstudiosystems.com
Transistor Configurations Bipolar Junction Transistors Basics Transistor Configuration Amplification Factor In this tutorial about bipolar transistors we will look more closely at the “common emitter” configuration using the bipolar npn transistor. Current amplification factor (γ) the ratio of change in emitter current (δi e) to the change in base current (δi b) is known as current. It is represented by α (alpha). In common emitter configuration, the output current is. Transistor Configuration Amplification Factor.
From www.youtube.com
Transistor Amplification factors in Common base and Common emitter Transistor Configuration Amplification Factor Using this property we construct the circuits and these structures are called transistor configurations. Current amplifier factor (y) the current amplification factor is defined as the ratio of the output current to the input current. Generally there are three different configurations of transistors. In common emitter configuration, the output current is emitter. In this tutorial about bipolar transistors we will. Transistor Configuration Amplification Factor.
From www.studypool.com
SOLUTION Dkut eee amplification amplifier configuration transistor ac Transistor Configuration Amplification Factor It is represented by α (alpha). The common emitter amplifier configuration produces the highest current and power gain of all the three bipolar transistor configurations. Current amplifier factor (y) the current amplification factor is defined as the ratio of the output current to the input current. In common emitter configuration, the output current is emitter. Current amplification factor (γ) the. Transistor Configuration Amplification Factor.
From www.theengineeringknowledge.com
BJT as an Amplifier Circuit, Types & Details The Engineering Knowledge Transistor Configuration Amplification Factor Using this property we construct the circuits and these structures are called transistor configurations. It is represented by α (alpha). Current amplification factor (γ) the ratio of change in emitter current (δi e) to the change in base current (δi b) is known as current. Current amplifier factor (y) the current amplification factor is defined as the ratio of the. Transistor Configuration Amplification Factor.
From www.myelectrical2015.com
Electrical Revolution Transistor Configuration Amplification Factor Current amplification factor (γ) the ratio of change in emitter current (δi e) to the change in base current (δi b) is known as current. Current amplifier factor (y) the current amplification factor is defined as the ratio of the output current to the input current. It is represented by α (alpha). The common emitter amplifier configuration produces the highest. Transistor Configuration Amplification Factor.
From www.doubtnut.com
Doubt Solutions Maths, Science, CBSE, NCERT, IIT JEE, NEET Transistor Configuration Amplification Factor The common emitter amplifier configuration produces the highest current and power gain of all the three bipolar transistor configurations. It is represented by α (alpha). In common emitter configuration, the output current is emitter. Generally there are three different configurations of transistors. Current amplifier factor (y) the current amplification factor is defined as the ratio of the output current to. Transistor Configuration Amplification Factor.
From www.slideserve.com
PPT Bipolar Junction Transistors (BJTs) PowerPoint Presentation, free Transistor Configuration Amplification Factor Current amplification factor (γ) the ratio of change in emitter current (δi e) to the change in base current (δi b) is known as current. Generally there are three different configurations of transistors. It is represented by α (alpha). This is mainly because the input impedance. Using this property we construct the circuits and these structures are called transistor configurations.. Transistor Configuration Amplification Factor.
From questions-in.kunduz.com
If the current amplification factor for a transistor... Physics Transistor Configuration Amplification Factor Generally there are three different configurations of transistors. In common emitter configuration, the output current is emitter. This is mainly because the input impedance. Using this property we construct the circuits and these structures are called transistor configurations. It is represented by α (alpha). The common emitter amplifier configuration produces the highest current and power gain of all the three. Transistor Configuration Amplification Factor.
From www.researchgate.net
Amplification using Transistor [2] Download Scientific Diagram Transistor Configuration Amplification Factor This is mainly because the input impedance. Current amplifier factor (y) the current amplification factor is defined as the ratio of the output current to the input current. The common emitter amplifier configuration produces the highest current and power gain of all the three bipolar transistor configurations. It is represented by α (alpha). Current amplification factor (γ) the ratio of. Transistor Configuration Amplification Factor.
From www.slideserve.com
PPT Chapter 3 Bipolar Junction Transistors PowerPoint Presentation Transistor Configuration Amplification Factor It is represented by α (alpha). In this tutorial about bipolar transistors we will look more closely at the “common emitter” configuration using the bipolar npn transistor. Using this property we construct the circuits and these structures are called transistor configurations. This is mainly because the input impedance. In common emitter configuration, the output current is emitter. Current amplifier factor. Transistor Configuration Amplification Factor.
From www.studypool.com
SOLUTION Dkut eee amplification amplifier configuration transistor ac Transistor Configuration Amplification Factor Generally there are three different configurations of transistors. This is mainly because the input impedance. Current amplification factor (γ) the ratio of change in emitter current (δi e) to the change in base current (δi b) is known as current. In common emitter configuration, the output current is emitter. It is represented by α (alpha). In this tutorial about bipolar. Transistor Configuration Amplification Factor.
From www.electronics-tutorials.ws
Common Emitter Amplifier and Transistor Amplifiers Transistor Configuration Amplification Factor Using this property we construct the circuits and these structures are called transistor configurations. Generally there are three different configurations of transistors. In common emitter configuration, the output current is emitter. In this tutorial about bipolar transistors we will look more closely at the “common emitter” configuration using the bipolar npn transistor. The common emitter amplifier configuration produces the highest. Transistor Configuration Amplification Factor.
From www.toppr.com
For a transistor the current amplification factor is 0.8 . The Transistor Configuration Amplification Factor The common emitter amplifier configuration produces the highest current and power gain of all the three bipolar transistor configurations. Current amplification factor (γ) the ratio of change in emitter current (δi e) to the change in base current (δi b) is known as current. In this tutorial about bipolar transistors we will look more closely at the “common emitter” configuration. Transistor Configuration Amplification Factor.