What Is The Range Of A Function Y 2Sinx . It implies, −2 <2sinx <2. Enter the formula for which you want to calculate the domain and range. find the range y=2sin (x) y = 2sin(x) y = 2 sin (x) the range is the set of all valid y y values. The given function is y = 2sinx. This means that the range of y = 2sinx is −2 <y. Given function y = 2sinx. The range of a function is defined as the set of its possible output values when x values are. Use the graph to find the range. Use the graph to find the range. Find the range of a function x^4/ (x^8+1). the range is the set of all valid y y values. The domain and range calculator finds all. find the range of the following function: We have to find the. the range of sinx is −1 <<strong>sinx</strong> <1 or −1 <y <1.
from mbaheblogjppbb0.blogspot.com
It implies, −2 <2sinx <2. find the range y=2sin (x) y = 2sin(x) y = 2 sin (x) the range is the set of all valid y y values. The domain and range calculator finds all. the range is the set of all valid y y values. We have to find the. find the range of the following function: Given function y = 2sinx. The given function is y = 2sinx. This means that the range of y = 2sinx is −2 <y. the range of sinx is −1 <<strong>sinx</strong> <1 or −1 <y <1.
√100以上 y^2=x^2sin(x^2 y^2) 972971F(x y)=(x^2+y^2)sin(1/(x^2+y^2))
What Is The Range Of A Function Y 2Sinx Use the graph to find the range. Use the graph to find the range. The given function is y = 2sinx. The domain and range calculator finds all. Use the graph to find the range. Enter the formula for which you want to calculate the domain and range. the range is the set of all valid y y values. We have to find the. the range of sinx is −1 <<strong>sinx</strong> <1 or −1 <y <1. This means that the range of y = 2sinx is −2 <y. Given function y = 2sinx. It implies, −2 <2sinx <2. The range of a function is defined as the set of its possible output values when x values are. Find the range of a function x^4/ (x^8+1). find the range of the following function: find the range y=2sin (x) y = 2sin(x) y = 2 sin (x) the range is the set of all valid y y values.
From brainly.com
find the range of the function y=7x1 when the domain is {1, 0, 1 What Is The Range Of A Function Y 2Sinx The domain and range calculator finds all. the range is the set of all valid y y values. Find the range of a function x^4/ (x^8+1). This means that the range of y = 2sinx is −2 <y. The range of a function is defined as the set of its possible output values when x values are. Given function. What Is The Range Of A Function Y 2Sinx.
From socratic.org
How do you use transformation to graph the sin function and determine What Is The Range Of A Function Y 2Sinx This means that the range of y = 2sinx is −2 <y. find the range of the following function: Enter the formula for which you want to calculate the domain and range. Find the range of a function x^4/ (x^8+1). The given function is y = 2sinx. Use the graph to find the range. find the range y=2sin. What Is The Range Of A Function Y 2Sinx.
From brainly.com
what is the range of the function y= 2sinx What Is The Range Of A Function Y 2Sinx Given function y = 2sinx. Enter the formula for which you want to calculate the domain and range. the range of sinx is −1 <<strong>sinx</strong> <1 or −1 <y <1. the range is the set of all valid y y values. find the range y=2sin (x) y = 2sin(x) y = 2 sin (x) the range is. What Is The Range Of A Function Y 2Sinx.
From www.youtube.com
Trigonometry Find The Value Of X sinx cosx = 2sinx MindyourBRAIN1 What Is The Range Of A Function Y 2Sinx find the range y=2sin (x) y = 2sin(x) y = 2 sin (x) the range is the set of all valid y y values. Use the graph to find the range. The range of a function is defined as the set of its possible output values when x values are. the range of sinx is −1 <<strong>sinx</strong> <1. What Is The Range Of A Function Y 2Sinx.
From www.teachoo.com
Ex 2.3, 5 Find the range of function f(x) = 2 3x, x ∈ R, x > 0 What Is The Range Of A Function Y 2Sinx the range of sinx is −1 <<strong>sinx</strong> <1 or −1 <y <1. Enter the formula for which you want to calculate the domain and range. Find the range of a function x^4/ (x^8+1). the range is the set of all valid y y values. Use the graph to find the range. We have to find the. The domain. What Is The Range Of A Function Y 2Sinx.
From brainly.com
What is the range of the function? What Is The Range Of A Function Y 2Sinx It implies, −2 <2sinx <2. This means that the range of y = 2sinx is −2 <y. Find the range of a function x^4/ (x^8+1). the range is the set of all valid y y values. We have to find the. Enter the formula for which you want to calculate the domain and range. The range of a function. What Is The Range Of A Function Y 2Sinx.
From www.numerade.com
SOLVED Identify the equation of the function whose graph appears below What Is The Range Of A Function Y 2Sinx The given function is y = 2sinx. The range of a function is defined as the set of its possible output values when x values are. find the range y=2sin (x) y = 2sin(x) y = 2 sin (x) the range is the set of all valid y y values. Use the graph to find the range. We have. What Is The Range Of A Function Y 2Sinx.
From www.youtube.com
Find the range of the function y = sin2x 2sinx 2 YouTube What Is The Range Of A Function Y 2Sinx Find the range of a function x^4/ (x^8+1). Given function y = 2sinx. The range of a function is defined as the set of its possible output values when x values are. We have to find the. find the range y=2sin (x) y = 2sin(x) y = 2 sin (x) the range is the set of all valid y. What Is The Range Of A Function Y 2Sinx.
From znanija.com
построить график функции y=2sinx Школьные What Is The Range Of A Function Y 2Sinx The range of a function is defined as the set of its possible output values when x values are. Use the graph to find the range. We have to find the. Given function y = 2sinx. find the range y=2sin (x) y = 2sin(x) y = 2 sin (x) the range is the set of all valid y y. What Is The Range Of A Function Y 2Sinx.
From www.youtube.com
Graph of sec x Graph of Csc x Domain and Range Math 10 Lesson 05 What Is The Range Of A Function Y 2Sinx Enter the formula for which you want to calculate the domain and range. Find the range of a function x^4/ (x^8+1). the range is the set of all valid y y values. It implies, −2 <2sinx <2. find the range of the following function: Given function y = 2sinx. find the range y=2sin (x) y = 2sin(x). What Is The Range Of A Function Y 2Sinx.
From www.youtube.com
Find the Range of a Function From a Graph (09x59) YouTube What Is The Range Of A Function Y 2Sinx This means that the range of y = 2sinx is −2 <y. find the range y=2sin (x) y = 2sin(x) y = 2 sin (x) the range is the set of all valid y y values. Use the graph to find the range. The domain and range calculator finds all. The range of a function is defined as the. What Is The Range Of A Function Y 2Sinx.
From api-project-1022638073839.appspot.com
What is the domain of y = 2sinx+ 1? Socratic What Is The Range Of A Function Y 2Sinx find the range y=2sin (x) y = 2sin(x) y = 2 sin (x) the range is the set of all valid y y values. Use the graph to find the range. the range is the set of all valid y y values. The given function is y = 2sinx. the range of sinx is −1 <<strong>sinx</strong> <1. What Is The Range Of A Function Y 2Sinx.
From www.nagwa.com
Question Video Finding the Range of an Exponential Function Nagwa What Is The Range Of A Function Y 2Sinx Use the graph to find the range. It implies, −2 <2sinx <2. Enter the formula for which you want to calculate the domain and range. This means that the range of y = 2sinx is −2 <y. We have to find the. find the range y=2sin (x) y = 2sin(x) y = 2 sin (x) the range is the. What Is The Range Of A Function Y 2Sinx.
From fyofhjkth.blob.core.windows.net
What Is A Range Function at Clarence Wells blog What Is The Range Of A Function Y 2Sinx Enter the formula for which you want to calculate the domain and range. This means that the range of y = 2sinx is −2 <y. The range of a function is defined as the set of its possible output values when x values are. the range is the set of all valid y y values. The given function is. What Is The Range Of A Function Y 2Sinx.
From www.wikihow.com
How to Find the Range of a Function Tutorial + Examples What Is The Range Of A Function Y 2Sinx find the range of the following function: Use the graph to find the range. It implies, −2 <2sinx <2. find the range y=2sin (x) y = 2sin(x) y = 2 sin (x) the range is the set of all valid y y values. The domain and range calculator finds all. The range of a function is defined as. What Is The Range Of A Function Y 2Sinx.
From www.youtube.com
INVERSE TRIGONOMETRIC FUNCTIONS (tan) (Part 4) Domain , Range and What Is The Range Of A Function Y 2Sinx Find the range of a function x^4/ (x^8+1). The given function is y = 2sinx. Given function y = 2sinx. find the range y=2sin (x) y = 2sin(x) y = 2 sin (x) the range is the set of all valid y y values. Use the graph to find the range. the range of sinx is −1 <<strong>sinx</strong>. What Is The Range Of A Function Y 2Sinx.
From www.wikihow.com
5 Ways to Find the Range of a Function wikiHow What Is The Range Of A Function Y 2Sinx Find the range of a function x^4/ (x^8+1). The domain and range calculator finds all. Use the graph to find the range. It implies, −2 <2sinx <2. Use the graph to find the range. find the range of the following function: The given function is y = 2sinx. We have to find the. the range is the set. What Is The Range Of A Function Y 2Sinx.
From www.chegg.com
Solved The first derivative of a continuous function y=f(x) What Is The Range Of A Function Y 2Sinx the range of sinx is −1 <<strong>sinx</strong> <1 or −1 <y <1. find the range y=2sin (x) y = 2sin(x) y = 2 sin (x) the range is the set of all valid y y values. Enter the formula for which you want to calculate the domain and range. The domain and range calculator finds all. Use the. What Is The Range Of A Function Y 2Sinx.
From www.nagwa.com
Question Video Finding the Range of a Given Sine Function Nagwa What Is The Range Of A Function Y 2Sinx Use the graph to find the range. The range of a function is defined as the set of its possible output values when x values are. find the range y=2sin (x) y = 2sin(x) y = 2 sin (x) the range is the set of all valid y y values. It implies, −2 <2sinx <2. the range is. What Is The Range Of A Function Y 2Sinx.
From exykrlzpw.blob.core.windows.net
Range Function Limit at John Rathjen blog What Is The Range Of A Function Y 2Sinx Given function y = 2sinx. It implies, −2 <2sinx <2. the range is the set of all valid y y values. the range of sinx is −1 <<strong>sinx</strong> <1 or −1 <y <1. find the range of the following function: The given function is y = 2sinx. Use the graph to find the range. This means that. What Is The Range Of A Function Y 2Sinx.
From hxekygtnq.blob.core.windows.net
What Is A Domain And Range Of A Function at Diane Gillis blog What Is The Range Of A Function Y 2Sinx Use the graph to find the range. We have to find the. Use the graph to find the range. The range of a function is defined as the set of its possible output values when x values are. find the range of the following function: the range of sinx is −1 <<strong>sinx</strong> <1 or −1 <y <1. It. What Is The Range Of A Function Y 2Sinx.
From www.coursehero.com
[Solved] What is the range of the function f(x) = 3x + 2 over the What Is The Range Of A Function Y 2Sinx The range of a function is defined as the set of its possible output values when x values are. We have to find the. find the range of the following function: the range of sinx is −1 <<strong>sinx</strong> <1 or −1 <y <1. Given function y = 2sinx. This means that the range of y = 2sinx is. What Is The Range Of A Function Y 2Sinx.
From brainly.com
what is the period of the function y=2sinx? What Is The Range Of A Function Y 2Sinx find the range of the following function: The domain and range calculator finds all. find the range y=2sin (x) y = 2sin(x) y = 2 sin (x) the range is the set of all valid y y values. the range is the set of all valid y y values. Use the graph to find the range. . What Is The Range Of A Function Y 2Sinx.
From www.splashlearn.com
What Is Range in Math? Definition, Formula, Examples, FAQs What Is The Range Of A Function Y 2Sinx the range of sinx is −1 <<strong>sinx</strong> <1 or −1 <y <1. Enter the formula for which you want to calculate the domain and range. find the range y=2sin (x) y = 2sin(x) y = 2 sin (x) the range is the set of all valid y y values. The range of a function is defined as the. What Is The Range Of A Function Y 2Sinx.
From www.cuemath.com
What is the difference between 2 cos x and cos 2x? What Is The Range Of A Function Y 2Sinx find the range of the following function: The range of a function is defined as the set of its possible output values when x values are. the range is the set of all valid y y values. Find the range of a function x^4/ (x^8+1). This means that the range of y = 2sinx is −2 <y. It. What Is The Range Of A Function Y 2Sinx.
From www.numerade.com
SOLVED [Maximum mark 7] Consider the graph of the function f(x What Is The Range Of A Function Y 2Sinx Given function y = 2sinx. The given function is y = 2sinx. the range is the set of all valid y y values. Enter the formula for which you want to calculate the domain and range. This means that the range of y = 2sinx is −2 <y. It implies, −2 <2sinx <2. find the range y=2sin (x). What Is The Range Of A Function Y 2Sinx.
From www.waca.msf.org
Range of a Function, Overview, Examples & Graph, Range What Is The Range Of A Function Y 2Sinx find the range of the following function: This means that the range of y = 2sinx is −2 <y. the range is the set of all valid y y values. The given function is y = 2sinx. Find the range of a function x^4/ (x^8+1). The domain and range calculator finds all. the range of sinx is. What Is The Range Of A Function Y 2Sinx.
From www.wikihow.com
5 Ways to Find the Range of a Function wikiHow What Is The Range Of A Function Y 2Sinx This means that the range of y = 2sinx is −2 <y. The given function is y = 2sinx. Given function y = 2sinx. We have to find the. The range of a function is defined as the set of its possible output values when x values are. find the range of the following function: It implies, −2 <2sinx. What Is The Range Of A Function Y 2Sinx.
From mbaheblogjppbb0.blogspot.com
√100以上 y^2=x^2sin(x^2 y^2) 972971F(x y)=(x^2+y^2)sin(1/(x^2+y^2)) What Is The Range Of A Function Y 2Sinx The domain and range calculator finds all. The range of a function is defined as the set of its possible output values when x values are. Given function y = 2sinx. This means that the range of y = 2sinx is −2 <y. The given function is y = 2sinx. the range of sinx is −1 <<strong>sinx</strong> <1 or. What Is The Range Of A Function Y 2Sinx.
From www.youtube.com
Graph of y = csc(x) YouTube What Is The Range Of A Function Y 2Sinx the range of sinx is −1 <<strong>sinx</strong> <1 or −1 <y <1. This means that the range of y = 2sinx is −2 <y. find the range of the following function: Given function y = 2sinx. It implies, −2 <2sinx <2. Enter the formula for which you want to calculate the domain and range. the range is. What Is The Range Of A Function Y 2Sinx.
From fyopekdez.blob.core.windows.net
What Is The Domain And Range Of The Function (X)=3/X+7 Brainly at What Is The Range Of A Function Y 2Sinx Use the graph to find the range. the range of sinx is −1 <<strong>sinx</strong> <1 or −1 <y <1. Find the range of a function x^4/ (x^8+1). Use the graph to find the range. The given function is y = 2sinx. It implies, −2 <2sinx <2. the range is the set of all valid y y values. We. What Is The Range Of A Function Y 2Sinx.
From byjus.com
Calculate range of sin^2x 2sinx+5 What Is The Range Of A Function Y 2Sinx The range of a function is defined as the set of its possible output values when x values are. Enter the formula for which you want to calculate the domain and range. the range is the set of all valid y y values. The given function is y = 2sinx. the range of sinx is −1 <<strong>sinx</strong> <1. What Is The Range Of A Function Y 2Sinx.
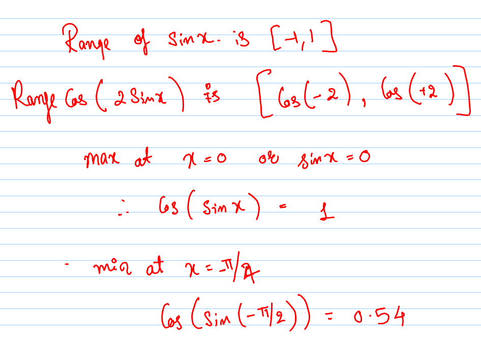
From www.askiitians.com
How to find range of y=cos(2sinx) and y= cos(4sinx) askIITians What Is The Range Of A Function Y 2Sinx Use the graph to find the range. The given function is y = 2sinx. Use the graph to find the range. Enter the formula for which you want to calculate the domain and range. It implies, −2 <2sinx <2. find the range y=2sin (x) y = 2sin(x) y = 2 sin (x) the range is the set of all. What Is The Range Of A Function Y 2Sinx.
From byjus.com
5. if tangent and normal to the curve y=2sinx+sin2x are drawn at a What Is The Range Of A Function Y 2Sinx find the range y=2sin (x) y = 2sin(x) y = 2 sin (x) the range is the set of all valid y y values. The range of a function is defined as the set of its possible output values when x values are. It implies, −2 <2sinx <2. Enter the formula for which you want to calculate the domain. What Is The Range Of A Function Y 2Sinx.
From www.youtube.com
graphing an exponential function with identify domainrange YouTube What Is The Range Of A Function Y 2Sinx Use the graph to find the range. Given function y = 2sinx. Find the range of a function x^4/ (x^8+1). It implies, −2 <2sinx <2. We have to find the. find the range of the following function: The range of a function is defined as the set of its possible output values when x values are. the range. What Is The Range Of A Function Y 2Sinx.