Throwing A Ball Quadratic Function . Projectile motion involves objects that are dropped, thrown straight up, or thrown straight down. Throwing a ball, shooting a cannon, diving from a platform and hitting a golf ball are all examples of situations that can be modeled by. Given a quadratic function describing the path of a ball thrown by a child, the video discusses how to find the initial height of the thrown ball, the. Projectile motion can be modeled by a quadratic function. • student will solve quadratics by using the quadratic formula. The height of the ball is represented by a. • student will apply methods to solve. You throw a ball into the air from a height of 5 feet with an initial vertical velocity of 32 feet per second. In this video, we work out an example involving a ball being thrown into the air.
from www.youtube.com
You throw a ball into the air from a height of 5 feet with an initial vertical velocity of 32 feet per second. Given a quadratic function describing the path of a ball thrown by a child, the video discusses how to find the initial height of the thrown ball, the. Throwing a ball, shooting a cannon, diving from a platform and hitting a golf ball are all examples of situations that can be modeled by. In this video, we work out an example involving a ball being thrown into the air. Projectile motion involves objects that are dropped, thrown straight up, or thrown straight down. Projectile motion can be modeled by a quadratic function. • student will apply methods to solve. • student will solve quadratics by using the quadratic formula. The height of the ball is represented by a.
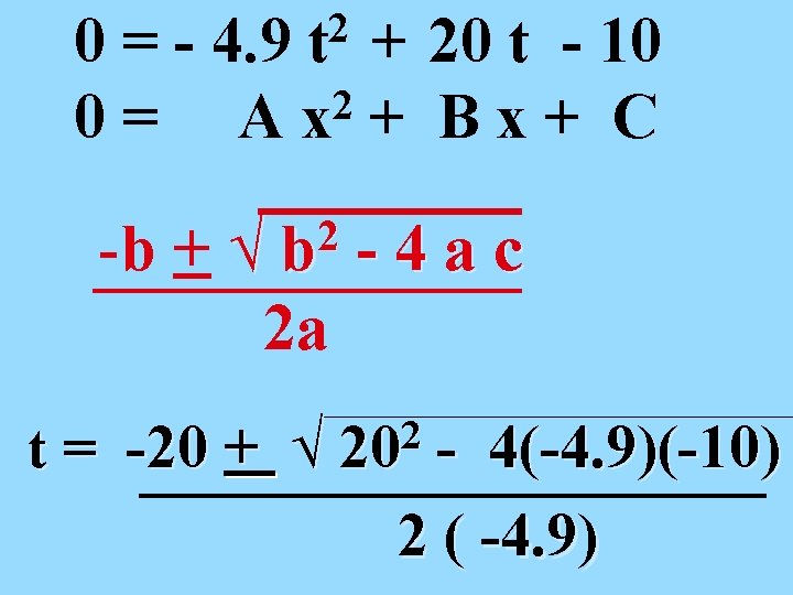
Review Quadratic Functions for Math IB. Find height of ball thrown. How
Throwing A Ball Quadratic Function • student will apply methods to solve. Projectile motion can be modeled by a quadratic function. The height of the ball is represented by a. Projectile motion involves objects that are dropped, thrown straight up, or thrown straight down. In this video, we work out an example involving a ball being thrown into the air. You throw a ball into the air from a height of 5 feet with an initial vertical velocity of 32 feet per second. Given a quadratic function describing the path of a ball thrown by a child, the video discusses how to find the initial height of the thrown ball, the. Throwing a ball, shooting a cannon, diving from a platform and hitting a golf ball are all examples of situations that can be modeled by. • student will solve quadratics by using the quadratic formula. • student will apply methods to solve.
From www.youtube.com
Basketball Free Throw YouTube Throwing A Ball Quadratic Function Throwing a ball, shooting a cannon, diving from a platform and hitting a golf ball are all examples of situations that can be modeled by. You throw a ball into the air from a height of 5 feet with an initial vertical velocity of 32 feet per second. Projectile motion involves objects that are dropped, thrown straight up, or thrown. Throwing A Ball Quadratic Function.
From intomath.org
The Quadratic Formula. Its Origin and Application IntoMath Throwing A Ball Quadratic Function • student will solve quadratics by using the quadratic formula. Projectile motion involves objects that are dropped, thrown straight up, or thrown straight down. You throw a ball into the air from a height of 5 feet with an initial vertical velocity of 32 feet per second. Given a quadratic function describing the path of a ball thrown by a. Throwing A Ball Quadratic Function.
From www.gauthmath.com
Solved 1. The Diagram 5 below show Azri throw a ball from a building Throwing A Ball Quadratic Function Given a quadratic function describing the path of a ball thrown by a child, the video discusses how to find the initial height of the thrown ball, the. In this video, we work out an example involving a ball being thrown into the air. Projectile motion involves objects that are dropped, thrown straight up, or thrown straight down. Projectile motion. Throwing A Ball Quadratic Function.
From mungfali.com
Real World Quadratic Equation Examples Throwing A Ball Throwing A Ball Quadratic Function The height of the ball is represented by a. Projectile motion can be modeled by a quadratic function. • student will solve quadratics by using the quadratic formula. Throwing a ball, shooting a cannon, diving from a platform and hitting a golf ball are all examples of situations that can be modeled by. Given a quadratic function describing the path. Throwing A Ball Quadratic Function.
From www.numerade.com
The path of a basketball thrown from the free throw line can be modeled Throwing A Ball Quadratic Function Throwing a ball, shooting a cannon, diving from a platform and hitting a golf ball are all examples of situations that can be modeled by. In this video, we work out an example involving a ball being thrown into the air. Given a quadratic function describing the path of a ball thrown by a child, the video discusses how to. Throwing A Ball Quadratic Function.
From www.youtube.com
Quadratic Equation, projectile, Ball throwing question YouTube Throwing A Ball Quadratic Function Given a quadratic function describing the path of a ball thrown by a child, the video discusses how to find the initial height of the thrown ball, the. You throw a ball into the air from a height of 5 feet with an initial vertical velocity of 32 feet per second. • student will solve quadratics by using the quadratic. Throwing A Ball Quadratic Function.
From www.pinterest.ph
Parabolic Trajectory Throwing Ball Quadratic equation, Quadratics Throwing A Ball Quadratic Function Throwing a ball, shooting a cannon, diving from a platform and hitting a golf ball are all examples of situations that can be modeled by. In this video, we work out an example involving a ball being thrown into the air. You throw a ball into the air from a height of 5 feet with an initial vertical velocity of. Throwing A Ball Quadratic Function.
From hyperskill.org
Throwing a ball · Quadratic equations · Hyperskill Throwing A Ball Quadratic Function Projectile motion can be modeled by a quadratic function. • student will solve quadratics by using the quadratic formula. In this video, we work out an example involving a ball being thrown into the air. Throwing a ball, shooting a cannon, diving from a platform and hitting a golf ball are all examples of situations that can be modeled by.. Throwing A Ball Quadratic Function.
From www.youtube.com
Algebra II Throwing a Ball Lab YouTube Throwing A Ball Quadratic Function Projectile motion can be modeled by a quadratic function. • student will apply methods to solve. Given a quadratic function describing the path of a ball thrown by a child, the video discusses how to find the initial height of the thrown ball, the. In this video, we work out an example involving a ball being thrown into the air.. Throwing A Ball Quadratic Function.
From slidetodoc.com
QUADRATIC MODELS THROWING A BALL Quadratic Function fx Throwing A Ball Quadratic Function Projectile motion involves objects that are dropped, thrown straight up, or thrown straight down. Given a quadratic function describing the path of a ball thrown by a child, the video discusses how to find the initial height of the thrown ball, the. • student will solve quadratics by using the quadratic formula. The height of the ball is represented by. Throwing A Ball Quadratic Function.
From www.gauthmath.com
Solved The Diagram 5 below show ðzri throw a ball from a building The Throwing A Ball Quadratic Function • student will solve quadratics by using the quadratic formula. Throwing a ball, shooting a cannon, diving from a platform and hitting a golf ball are all examples of situations that can be modeled by. Projectile motion can be modeled by a quadratic function. You throw a ball into the air from a height of 5 feet with an initial. Throwing A Ball Quadratic Function.
From www.pinterest.com
Introduction to Parabolas Projectile motion, Quadratics, Motion physics Throwing A Ball Quadratic Function Projectile motion can be modeled by a quadratic function. • student will apply methods to solve. • student will solve quadratics by using the quadratic formula. Given a quadratic function describing the path of a ball thrown by a child, the video discusses how to find the initial height of the thrown ball, the. You throw a ball into the. Throwing A Ball Quadratic Function.
From mungfali.com
Real World Quadratic Equation Examples Throwing A Ball Throwing A Ball Quadratic Function • student will apply methods to solve. You throw a ball into the air from a height of 5 feet with an initial vertical velocity of 32 feet per second. Given a quadratic function describing the path of a ball thrown by a child, the video discusses how to find the initial height of the thrown ball, the. Projectile motion. Throwing A Ball Quadratic Function.
From www.youtube.com
Solve quadratic equation throw object YouTube Throwing A Ball Quadratic Function You throw a ball into the air from a height of 5 feet with an initial vertical velocity of 32 feet per second. Throwing a ball, shooting a cannon, diving from a platform and hitting a golf ball are all examples of situations that can be modeled by. • student will apply methods to solve. Given a quadratic function describing. Throwing A Ball Quadratic Function.
From www.showme.com
Quadratic Equations Throwing a Ball Application Math, Algebra Throwing A Ball Quadratic Function The height of the ball is represented by a. In this video, we work out an example involving a ball being thrown into the air. Throwing a ball, shooting a cannon, diving from a platform and hitting a golf ball are all examples of situations that can be modeled by. Given a quadratic function describing the path of a ball. Throwing A Ball Quadratic Function.
From www.slideserve.com
PPT Introducing Quadratic Functions through Real Problems PowerPoint Throwing A Ball Quadratic Function In this video, we work out an example involving a ball being thrown into the air. • student will apply methods to solve. Projectile motion involves objects that are dropped, thrown straight up, or thrown straight down. • student will solve quadratics by using the quadratic formula. Given a quadratic function describing the path of a ball thrown by a. Throwing A Ball Quadratic Function.
From mungfali.com
Real World Quadratic Equation Examples Throwing A Ball Throwing A Ball Quadratic Function • student will solve quadratics by using the quadratic formula. The height of the ball is represented by a. Given a quadratic function describing the path of a ball thrown by a child, the video discusses how to find the initial height of the thrown ball, the. Throwing a ball, shooting a cannon, diving from a platform and hitting a. Throwing A Ball Quadratic Function.
From www.youtube.com
Review Quadratic Functions for Math IB. Find height of ball thrown. How Throwing A Ball Quadratic Function The height of the ball is represented by a. Projectile motion can be modeled by a quadratic function. In this video, we work out an example involving a ball being thrown into the air. Projectile motion involves objects that are dropped, thrown straight up, or thrown straight down. Given a quadratic function describing the path of a ball thrown by. Throwing A Ball Quadratic Function.
From flowvella.com
Quadratic equations Screen 2 on FlowVella Presentation Software for Throwing A Ball Quadratic Function • student will solve quadratics by using the quadratic formula. Throwing a ball, shooting a cannon, diving from a platform and hitting a golf ball are all examples of situations that can be modeled by. Projectile motion can be modeled by a quadratic function. Projectile motion involves objects that are dropped, thrown straight up, or thrown straight down. The height. Throwing A Ball Quadratic Function.
From mungfali.com
Real World Quadratic Equation Examples Throwing A Ball Throwing A Ball Quadratic Function • student will solve quadratics by using the quadratic formula. Throwing a ball, shooting a cannon, diving from a platform and hitting a golf ball are all examples of situations that can be modeled by. Projectile motion involves objects that are dropped, thrown straight up, or thrown straight down. Projectile motion can be modeled by a quadratic function. The height. Throwing A Ball Quadratic Function.
From www.numerade.com
SOLVED [20 points] A basketball is thrown into the hoop from outside Throwing A Ball Quadratic Function You throw a ball into the air from a height of 5 feet with an initial vertical velocity of 32 feet per second. • student will solve quadratics by using the quadratic formula. Projectile motion can be modeled by a quadratic function. • student will apply methods to solve. Throwing a ball, shooting a cannon, diving from a platform and. Throwing A Ball Quadratic Function.
From mungfali.com
Real World Quadratic Equation Examples Throwing A Ball Throwing A Ball Quadratic Function Throwing a ball, shooting a cannon, diving from a platform and hitting a golf ball are all examples of situations that can be modeled by. The height of the ball is represented by a. You throw a ball into the air from a height of 5 feet with an initial vertical velocity of 32 feet per second. • student will. Throwing A Ball Quadratic Function.
From www.slideserve.com
PPT Freely Falling Objects PowerPoint Presentation, free download Throwing A Ball Quadratic Function Throwing a ball, shooting a cannon, diving from a platform and hitting a golf ball are all examples of situations that can be modeled by. Given a quadratic function describing the path of a ball thrown by a child, the video discusses how to find the initial height of the thrown ball, the. In this video, we work out an. Throwing A Ball Quadratic Function.
From www.youtube.com
Using Geogebra to model a quadratic (parabola) with practical data Throwing A Ball Quadratic Function Projectile motion involves objects that are dropped, thrown straight up, or thrown straight down. In this video, we work out an example involving a ball being thrown into the air. The height of the ball is represented by a. You throw a ball into the air from a height of 5 feet with an initial vertical velocity of 32 feet. Throwing A Ball Quadratic Function.
From www.youtube.com
05 Duration When Ball is in Air Application Quadratic Formula YouTube Throwing A Ball Quadratic Function Projectile motion involves objects that are dropped, thrown straight up, or thrown straight down. • student will apply methods to solve. Projectile motion can be modeled by a quadratic function. In this video, we work out an example involving a ball being thrown into the air. You throw a ball into the air from a height of 5 feet with. Throwing A Ball Quadratic Function.
From www.youtube.com
Quadratic Problem (Ball Thrown Off Roof) Grade 10 Math YouTube Throwing A Ball Quadratic Function Projectile motion can be modeled by a quadratic function. • student will solve quadratics by using the quadratic formula. Throwing a ball, shooting a cannon, diving from a platform and hitting a golf ball are all examples of situations that can be modeled by. You throw a ball into the air from a height of 5 feet with an initial. Throwing A Ball Quadratic Function.
From www.slideshare.net
04 kinematics in one dimension Throwing A Ball Quadratic Function The height of the ball is represented by a. Given a quadratic function describing the path of a ball thrown by a child, the video discusses how to find the initial height of the thrown ball, the. Throwing a ball, shooting a cannon, diving from a platform and hitting a golf ball are all examples of situations that can be. Throwing A Ball Quadratic Function.
From www.showme.com
ShowMe quadratic equation all about throwing ball Throwing A Ball Quadratic Function Given a quadratic function describing the path of a ball thrown by a child, the video discusses how to find the initial height of the thrown ball, the. • student will solve quadratics by using the quadratic formula. Throwing a ball, shooting a cannon, diving from a platform and hitting a golf ball are all examples of situations that can. Throwing A Ball Quadratic Function.
From scholarsark.com
What Are The Real Life Scenario Involving Quadratic Equations Throwing A Ball Quadratic Function Projectile motion involves objects that are dropped, thrown straight up, or thrown straight down. Projectile motion can be modeled by a quadratic function. You throw a ball into the air from a height of 5 feet with an initial vertical velocity of 32 feet per second. In this video, we work out an example involving a ball being thrown into. Throwing A Ball Quadratic Function.
From andylutwyche.com
Throwing a Cricket Ball Quadratic Graphs Andy Lutwyche Throwing A Ball Quadratic Function • student will solve quadratics by using the quadratic formula. Projectile motion involves objects that are dropped, thrown straight up, or thrown straight down. • student will apply methods to solve. Projectile motion can be modeled by a quadratic function. Throwing a ball, shooting a cannon, diving from a platform and hitting a golf ball are all examples of situations. Throwing A Ball Quadratic Function.
From www.showme.com
ShowMe quadratic equation all about throwing ball Throwing A Ball Quadratic Function Projectile motion involves objects that are dropped, thrown straight up, or thrown straight down. The height of the ball is represented by a. You throw a ball into the air from a height of 5 feet with an initial vertical velocity of 32 feet per second. Throwing a ball, shooting a cannon, diving from a platform and hitting a golf. Throwing A Ball Quadratic Function.
From mungfali.com
Real World Quadratic Equation Examples Throwing A Ball Throwing A Ball Quadratic Function Projectile motion involves objects that are dropped, thrown straight up, or thrown straight down. Given a quadratic function describing the path of a ball thrown by a child, the video discusses how to find the initial height of the thrown ball, the. Throwing a ball, shooting a cannon, diving from a platform and hitting a golf ball are all examples. Throwing A Ball Quadratic Function.
From www.showme.com
ShowMe quadratic equation all about throwing ball Throwing A Ball Quadratic Function In this video, we work out an example involving a ball being thrown into the air. You throw a ball into the air from a height of 5 feet with an initial vertical velocity of 32 feet per second. Projectile motion involves objects that are dropped, thrown straight up, or thrown straight down. Given a quadratic function describing the path. Throwing A Ball Quadratic Function.
From slidetodoc.com
QUADRATIC MODELS THROWING A BALL Quadratic Function fx Throwing A Ball Quadratic Function Given a quadratic function describing the path of a ball thrown by a child, the video discusses how to find the initial height of the thrown ball, the. The height of the ball is represented by a. Throwing a ball, shooting a cannon, diving from a platform and hitting a golf ball are all examples of situations that can be. Throwing A Ball Quadratic Function.
From mungfali.com
Real World Quadratic Equation Examples Throwing A Ball Throwing A Ball Quadratic Function Projectile motion involves objects that are dropped, thrown straight up, or thrown straight down. • student will solve quadratics by using the quadratic formula. Projectile motion can be modeled by a quadratic function. Given a quadratic function describing the path of a ball thrown by a child, the video discusses how to find the initial height of the thrown ball,. Throwing A Ball Quadratic Function.