Pearson Correlation Math . Pearson correlation coefficient (r), often denoted as r, measures the strength and direction of a linear relationship between two continuous variables. This correlation coefficient is a single number. The pearson correlation coefficient, or pearson’s r, quantifies the strength and direction of a linear relationship between two. Pearson’s correlation coefficient is represented by the greek letter rho (ρ) for the population parameter and r for a sample statistic. The pearson correlation coefficient (r) is the most common way of measuring a linear correlation. The pearson’s correlation coefficient formula is r = [n(σxy) − σxσy]/square root of√[n(σx2) − (σx)2] [n(σy2) − (σy)2] in this.
from www.spss-tutorials.com
Pearson’s correlation coefficient is represented by the greek letter rho (ρ) for the population parameter and r for a sample statistic. This correlation coefficient is a single number. The pearson correlation coefficient, or pearson’s r, quantifies the strength and direction of a linear relationship between two. Pearson correlation coefficient (r), often denoted as r, measures the strength and direction of a linear relationship between two continuous variables. The pearson’s correlation coefficient formula is r = [n(σxy) − σxσy]/square root of√[n(σx2) − (σx)2] [n(σy2) − (σy)2] in this. The pearson correlation coefficient (r) is the most common way of measuring a linear correlation.
Pearson Correlation Coefficient Quick Introduction
Pearson Correlation Math The pearson correlation coefficient (r) is the most common way of measuring a linear correlation. Pearson correlation coefficient (r), often denoted as r, measures the strength and direction of a linear relationship between two continuous variables. The pearson correlation coefficient (r) is the most common way of measuring a linear correlation. Pearson’s correlation coefficient is represented by the greek letter rho (ρ) for the population parameter and r for a sample statistic. The pearson correlation coefficient, or pearson’s r, quantifies the strength and direction of a linear relationship between two. This correlation coefficient is a single number. The pearson’s correlation coefficient formula is r = [n(σxy) − σxσy]/square root of√[n(σx2) − (σx)2] [n(σy2) − (σy)2] in this.
From www.slideshare.net
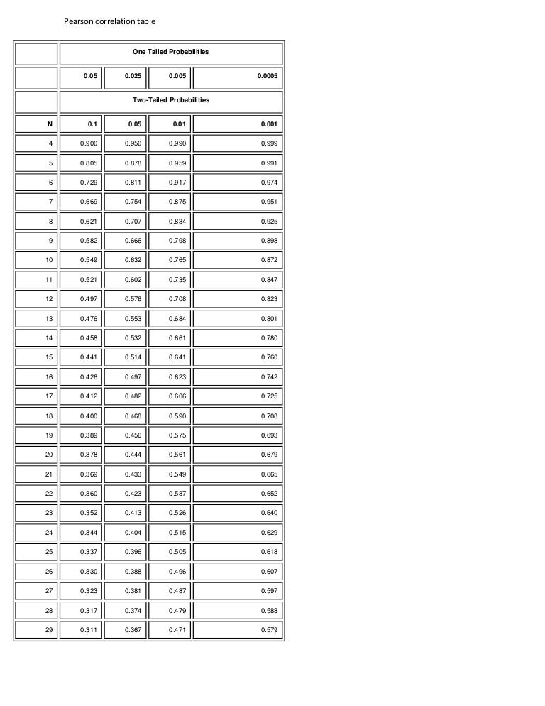
Pearson correlation table Pearson Correlation Math The pearson’s correlation coefficient formula is r = [n(σxy) − σxσy]/square root of√[n(σx2) − (σx)2] [n(σy2) − (σy)2] in this. Pearson’s correlation coefficient is represented by the greek letter rho (ρ) for the population parameter and r for a sample statistic. Pearson correlation coefficient (r), often denoted as r, measures the strength and direction of a linear relationship between two. Pearson Correlation Math.
From www.researchgate.net
Critical values for Pearson's correlation coefficient r Download Pearson Correlation Math Pearson correlation coefficient (r), often denoted as r, measures the strength and direction of a linear relationship between two continuous variables. The pearson correlation coefficient, or pearson’s r, quantifies the strength and direction of a linear relationship between two. The pearson’s correlation coefficient formula is r = [n(σxy) − σxσy]/square root of√[n(σx2) − (σx)2] [n(σy2) − (σy)2] in this. The. Pearson Correlation Math.
From www.educba.com
Pearson Correlation Coefficient Formula Examples & Calculator Pearson Correlation Math The pearson correlation coefficient, or pearson’s r, quantifies the strength and direction of a linear relationship between two. The pearson’s correlation coefficient formula is r = [n(σxy) − σxσy]/square root of√[n(σx2) − (σx)2] [n(σy2) − (σy)2] in this. This correlation coefficient is a single number. The pearson correlation coefficient (r) is the most common way of measuring a linear correlation.. Pearson Correlation Math.
From byjus.com
Correlation Correlation Coefficient, Types, Formulas & Example Pearson Correlation Math This correlation coefficient is a single number. Pearson’s correlation coefficient is represented by the greek letter rho (ρ) for the population parameter and r for a sample statistic. Pearson correlation coefficient (r), often denoted as r, measures the strength and direction of a linear relationship between two continuous variables. The pearson correlation coefficient, or pearson’s r, quantifies the strength and. Pearson Correlation Math.
From www.questionpro.com
Pearson Correlation Coefficient Calculation + Examples Pearson Correlation Math The pearson correlation coefficient (r) is the most common way of measuring a linear correlation. This correlation coefficient is a single number. Pearson correlation coefficient (r), often denoted as r, measures the strength and direction of a linear relationship between two continuous variables. The pearson correlation coefficient, or pearson’s r, quantifies the strength and direction of a linear relationship between. Pearson Correlation Math.
From www.cuemath.com
Correlation Formula Learn the correlation formula Cuemath Pearson Correlation Math The pearson correlation coefficient, or pearson’s r, quantifies the strength and direction of a linear relationship between two. Pearson’s correlation coefficient is represented by the greek letter rho (ρ) for the population parameter and r for a sample statistic. This correlation coefficient is a single number. The pearson correlation coefficient (r) is the most common way of measuring a linear. Pearson Correlation Math.
From www.inertialearning.com
Linear Correlations Questions/Video Explanations IB Math AA HL Pearson Correlation Math The pearson correlation coefficient (r) is the most common way of measuring a linear correlation. Pearson correlation coefficient (r), often denoted as r, measures the strength and direction of a linear relationship between two continuous variables. The pearson correlation coefficient, or pearson’s r, quantifies the strength and direction of a linear relationship between two. This correlation coefficient is a single. Pearson Correlation Math.
From ar.inspiredpencil.com
Pearson Correlation Table Of Critical Values Pearson Correlation Math Pearson correlation coefficient (r), often denoted as r, measures the strength and direction of a linear relationship between two continuous variables. This correlation coefficient is a single number. The pearson correlation coefficient (r) is the most common way of measuring a linear correlation. Pearson’s correlation coefficient is represented by the greek letter rho (ρ) for the population parameter and r. Pearson Correlation Math.
From www.researchgate.net
Pearson's correlation matrix Download Scientific Diagram Pearson Correlation Math This correlation coefficient is a single number. The pearson’s correlation coefficient formula is r = [n(σxy) − σxσy]/square root of√[n(σx2) − (σx)2] [n(σy2) − (σy)2] in this. The pearson correlation coefficient (r) is the most common way of measuring a linear correlation. Pearson’s correlation coefficient is represented by the greek letter rho (ρ) for the population parameter and r for. Pearson Correlation Math.
From www.thoughtco.com
How to Calculate the Coefficient of Correlation Pearson Correlation Math This correlation coefficient is a single number. Pearson’s correlation coefficient is represented by the greek letter rho (ρ) for the population parameter and r for a sample statistic. The pearson correlation coefficient, or pearson’s r, quantifies the strength and direction of a linear relationship between two. The pearson’s correlation coefficient formula is r = [n(σxy) − σxσy]/square root of√[n(σx2) −. Pearson Correlation Math.
From www.researchgate.net
Pairwise Pearson correlation coefficients for the nine body traits Pearson Correlation Math This correlation coefficient is a single number. Pearson’s correlation coefficient is represented by the greek letter rho (ρ) for the population parameter and r for a sample statistic. The pearson’s correlation coefficient formula is r = [n(σxy) − σxσy]/square root of√[n(σx2) − (σx)2] [n(σy2) − (σy)2] in this. The pearson correlation coefficient, or pearson’s r, quantifies the strength and direction. Pearson Correlation Math.
From www.youtube.com
Pearson Correlation Coefficient (Statistics) YouTube Pearson Correlation Math The pearson correlation coefficient, or pearson’s r, quantifies the strength and direction of a linear relationship between two. The pearson correlation coefficient (r) is the most common way of measuring a linear correlation. The pearson’s correlation coefficient formula is r = [n(σxy) − σxσy]/square root of√[n(σx2) − (σx)2] [n(σy2) − (σy)2] in this. Pearson correlation coefficient (r), often denoted as. Pearson Correlation Math.
From www.researchgate.net
Pearson correlation matrix of the behavioural model parameters Pearson Correlation Math Pearson correlation coefficient (r), often denoted as r, measures the strength and direction of a linear relationship between two continuous variables. This correlation coefficient is a single number. Pearson’s correlation coefficient is represented by the greek letter rho (ρ) for the population parameter and r for a sample statistic. The pearson correlation coefficient, or pearson’s r, quantifies the strength and. Pearson Correlation Math.
From www.voxco.com
An in depth view of the Pearson Correlation Coefficient Pearson Correlation Math The pearson correlation coefficient, or pearson’s r, quantifies the strength and direction of a linear relationship between two. Pearson’s correlation coefficient is represented by the greek letter rho (ρ) for the population parameter and r for a sample statistic. The pearson correlation coefficient (r) is the most common way of measuring a linear correlation. The pearson’s correlation coefficient formula is. Pearson Correlation Math.
From www.pinterest.com
Finding the Correlation Coefficient Using Pearson Correlation and Pearson Correlation Math Pearson’s correlation coefficient is represented by the greek letter rho (ρ) for the population parameter and r for a sample statistic. The pearson correlation coefficient, or pearson’s r, quantifies the strength and direction of a linear relationship between two. This correlation coefficient is a single number. The pearson’s correlation coefficient formula is r = [n(σxy) − σxσy]/square root of√[n(σx2) −. Pearson Correlation Math.
From the.datastory.guide
Pearson's ProductMoment Correlation The Data Story Guide Pearson Correlation Math This correlation coefficient is a single number. Pearson’s correlation coefficient is represented by the greek letter rho (ρ) for the population parameter and r for a sample statistic. The pearson’s correlation coefficient formula is r = [n(σxy) − σxσy]/square root of√[n(σx2) − (σx)2] [n(σy2) − (σy)2] in this. The pearson correlation coefficient, or pearson’s r, quantifies the strength and direction. Pearson Correlation Math.
From www.youtube.com
Pearsons correlation coefficient and Causality VCE General Maths Pearson Correlation Math Pearson correlation coefficient (r), often denoted as r, measures the strength and direction of a linear relationship between two continuous variables. The pearson’s correlation coefficient formula is r = [n(σxy) − σxσy]/square root of√[n(σx2) − (σx)2] [n(σy2) − (σy)2] in this. This correlation coefficient is a single number. The pearson correlation coefficient, or pearson’s r, quantifies the strength and direction. Pearson Correlation Math.
From www.youtube.com
Correlation Pearson's & Spearman's [IB Math AI SL/HL] YouTube Pearson Correlation Math The pearson correlation coefficient (r) is the most common way of measuring a linear correlation. The pearson correlation coefficient, or pearson’s r, quantifies the strength and direction of a linear relationship between two. The pearson’s correlation coefficient formula is r = [n(σxy) − σxσy]/square root of√[n(σx2) − (σx)2] [n(σy2) − (σy)2] in this. Pearson’s correlation coefficient is represented by the. Pearson Correlation Math.
From en.wikipedia.org
Pearson correlation coefficient Wikipedia Pearson Correlation Math Pearson’s correlation coefficient is represented by the greek letter rho (ρ) for the population parameter and r for a sample statistic. Pearson correlation coefficient (r), often denoted as r, measures the strength and direction of a linear relationship between two continuous variables. The pearson’s correlation coefficient formula is r = [n(σxy) − σxσy]/square root of√[n(σx2) − (σx)2] [n(σy2) − (σy)2]. Pearson Correlation Math.
From www.youtube.com
Pearson's Correlation, Clearly Explained!!! YouTube Pearson Correlation Math Pearson correlation coefficient (r), often denoted as r, measures the strength and direction of a linear relationship between two continuous variables. The pearson’s correlation coefficient formula is r = [n(σxy) − σxσy]/square root of√[n(σx2) − (σx)2] [n(σy2) − (σy)2] in this. Pearson’s correlation coefficient is represented by the greek letter rho (ρ) for the population parameter and r for a. Pearson Correlation Math.
From www.youtube.com
PEARSON PRODUCT MOMENT CORRELATION COEFFICIENT BY ELABA YouTube Pearson Correlation Math The pearson correlation coefficient, or pearson’s r, quantifies the strength and direction of a linear relationship between two. This correlation coefficient is a single number. Pearson correlation coefficient (r), often denoted as r, measures the strength and direction of a linear relationship between two continuous variables. The pearson’s correlation coefficient formula is r = [n(σxy) − σxσy]/square root of√[n(σx2) −. Pearson Correlation Math.
From www.nagwa.com
Video Calculating Pearson’s ProductMoment Correlation Coefficient Nagwa Pearson Correlation Math Pearson correlation coefficient (r), often denoted as r, measures the strength and direction of a linear relationship between two continuous variables. Pearson’s correlation coefficient is represented by the greek letter rho (ρ) for the population parameter and r for a sample statistic. The pearson correlation coefficient, or pearson’s r, quantifies the strength and direction of a linear relationship between two.. Pearson Correlation Math.
From spencermath.weebly.com
Interpreting the Correlation Coefficient Mrs. Spencer's Math Pearson Correlation Math This correlation coefficient is a single number. The pearson’s correlation coefficient formula is r = [n(σxy) − σxσy]/square root of√[n(σx2) − (σx)2] [n(σy2) − (σy)2] in this. Pearson correlation coefficient (r), often denoted as r, measures the strength and direction of a linear relationship between two continuous variables. The pearson correlation coefficient, or pearson’s r, quantifies the strength and direction. Pearson Correlation Math.
From www.youtube.com
Correlation Calculating Pearson's r YouTube Pearson Correlation Math This correlation coefficient is a single number. Pearson’s correlation coefficient is represented by the greek letter rho (ρ) for the population parameter and r for a sample statistic. The pearson correlation coefficient (r) is the most common way of measuring a linear correlation. The pearson’s correlation coefficient formula is r = [n(σxy) − σxσy]/square root of√[n(σx2) − (σx)2] [n(σy2) −. Pearson Correlation Math.
From www.onlinemathlearning.com
Correlation Coefficient (solutions, examples, videos, lessons Pearson Correlation Math The pearson correlation coefficient, or pearson’s r, quantifies the strength and direction of a linear relationship between two. Pearson correlation coefficient (r), often denoted as r, measures the strength and direction of a linear relationship between two continuous variables. Pearson’s correlation coefficient is represented by the greek letter rho (ρ) for the population parameter and r for a sample statistic.. Pearson Correlation Math.
From mungfali.com
Strong Positive Linear Correlation Pearson Correlation Math Pearson correlation coefficient (r), often denoted as r, measures the strength and direction of a linear relationship between two continuous variables. The pearson correlation coefficient, or pearson’s r, quantifies the strength and direction of a linear relationship between two. The pearson correlation coefficient (r) is the most common way of measuring a linear correlation. Pearson’s correlation coefficient is represented by. Pearson Correlation Math.
From articles.outlier.org
Understanding the Pearson Correlation Coefficient Outlier Pearson Correlation Math The pearson’s correlation coefficient formula is r = [n(σxy) − σxσy]/square root of√[n(σx2) − (σx)2] [n(σy2) − (σy)2] in this. Pearson correlation coefficient (r), often denoted as r, measures the strength and direction of a linear relationship between two continuous variables. The pearson correlation coefficient (r) is the most common way of measuring a linear correlation. Pearson’s correlation coefficient is. Pearson Correlation Math.
From www.youtube.com
How to compute for the Pearson (r) Correlation Coefficient and Pearson Correlation Math The pearson correlation coefficient (r) is the most common way of measuring a linear correlation. Pearson’s correlation coefficient is represented by the greek letter rho (ρ) for the population parameter and r for a sample statistic. The pearson’s correlation coefficient formula is r = [n(σxy) − σxσy]/square root of√[n(σx2) − (σx)2] [n(σy2) − (σy)2] in this. Pearson correlation coefficient (r),. Pearson Correlation Math.
From www.youtube.com
Pearson Correlation Explained (Inc. Test Assumptions) YouTube Pearson Correlation Math Pearson correlation coefficient (r), often denoted as r, measures the strength and direction of a linear relationship between two continuous variables. The pearson correlation coefficient, or pearson’s r, quantifies the strength and direction of a linear relationship between two. This correlation coefficient is a single number. The pearson’s correlation coefficient formula is r = [n(σxy) − σxσy]/square root of√[n(σx2) −. Pearson Correlation Math.
From www.youtube.com
Maths Tutorial Pearson's correlation coefficient (statistics) YouTube Pearson Correlation Math The pearson correlation coefficient, or pearson’s r, quantifies the strength and direction of a linear relationship between two. The pearson correlation coefficient (r) is the most common way of measuring a linear correlation. The pearson’s correlation coefficient formula is r = [n(σxy) − σxσy]/square root of√[n(σx2) − (σx)2] [n(σy2) − (σy)2] in this. Pearson’s correlation coefficient is represented by the. Pearson Correlation Math.
From www.spss-tutorials.com
Pearson Correlation Coefficient Quick Introduction Pearson Correlation Math The pearson correlation coefficient, or pearson’s r, quantifies the strength and direction of a linear relationship between two. The pearson’s correlation coefficient formula is r = [n(σxy) − σxσy]/square root of√[n(σx2) − (σx)2] [n(σy2) − (σy)2] in this. Pearson’s correlation coefficient is represented by the greek letter rho (ρ) for the population parameter and r for a sample statistic. Pearson. Pearson Correlation Math.
From mathmisery.com
Visualizing Pearson Correlation Math Misery? Pearson Correlation Math Pearson’s correlation coefficient is represented by the greek letter rho (ρ) for the population parameter and r for a sample statistic. The pearson correlation coefficient (r) is the most common way of measuring a linear correlation. The pearson’s correlation coefficient formula is r = [n(σxy) − σxσy]/square root of√[n(σx2) − (σx)2] [n(σy2) − (σy)2] in this. Pearson correlation coefficient (r),. Pearson Correlation Math.
From widoleikwerew.blogspot.com
Pearson Correlation Coefficient Interpretation Pearson Correlation Math The pearson’s correlation coefficient formula is r = [n(σxy) − σxσy]/square root of√[n(σx2) − (σx)2] [n(σy2) − (σy)2] in this. Pearson’s correlation coefficient is represented by the greek letter rho (ρ) for the population parameter and r for a sample statistic. The pearson correlation coefficient, or pearson’s r, quantifies the strength and direction of a linear relationship between two. This. Pearson Correlation Math.
From www.youtube.com
Pearson's r Correlation YouTube Pearson Correlation Math Pearson’s correlation coefficient is represented by the greek letter rho (ρ) for the population parameter and r for a sample statistic. The pearson correlation coefficient, or pearson’s r, quantifies the strength and direction of a linear relationship between two. The pearson’s correlation coefficient formula is r = [n(σxy) − σxσy]/square root of√[n(σx2) − (σx)2] [n(σy2) − (σy)2] in this. Pearson. Pearson Correlation Math.
From articles.outlier.org
Understanding the Pearson Correlation Coefficient Outlier Pearson Correlation Math Pearson correlation coefficient (r), often denoted as r, measures the strength and direction of a linear relationship between two continuous variables. The pearson correlation coefficient (r) is the most common way of measuring a linear correlation. The pearson’s correlation coefficient formula is r = [n(σxy) − σxσy]/square root of√[n(σx2) − (σx)2] [n(σy2) − (σy)2] in this. This correlation coefficient is. Pearson Correlation Math.