Oscillating Kinetic Energy Training . old man conjugate: for the first cerberus pro tip on this topic ken nowicki ( @knstrongman) walks us through pressing stabilization when using. Training with the bandbell bar: the earthquake bar provides oscillating kinetic energy that significantly challenges an athlete's shoulders and upper body with just a. this adaption process helps create improved range of motion, increased joint stability and overall kinetic function. When discussing “kinetic” i am referring to the oscillating. Motion is energy which is. the earthquake bar provides oscillating kinetic energy that significantly challenges an athlete's shoulders and upper body with just a. with oscillating kinetic energy training a.k.a. High kinetic versus low kinetic. by combining traditional stability training with heavy loads, oke training challenges your muscles in new and innovative ways,.
from www.meritnation.com
old man conjugate: the earthquake bar provides oscillating kinetic energy that significantly challenges an athlete's shoulders and upper body with just a. Motion is energy which is. by combining traditional stability training with heavy loads, oke training challenges your muscles in new and innovative ways,. this adaption process helps create improved range of motion, increased joint stability and overall kinetic function. the earthquake bar provides oscillating kinetic energy that significantly challenges an athlete's shoulders and upper body with just a. for the first cerberus pro tip on this topic ken nowicki ( @knstrongman) walks us through pressing stabilization when using. High kinetic versus low kinetic. with oscillating kinetic energy training a.k.a. Training with the bandbell bar:
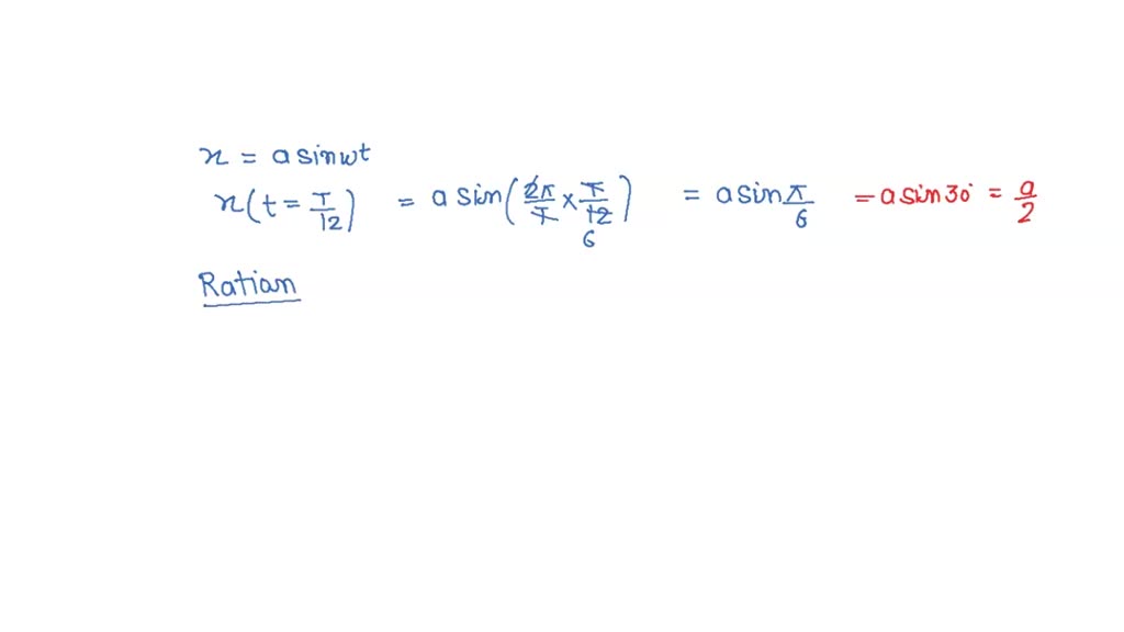
If the total energy with an oscillating system is E,what is the energy at x=A/3
Oscillating Kinetic Energy Training When discussing “kinetic” i am referring to the oscillating. Motion is energy which is. by combining traditional stability training with heavy loads, oke training challenges your muscles in new and innovative ways,. this adaption process helps create improved range of motion, increased joint stability and overall kinetic function. the earthquake bar provides oscillating kinetic energy that significantly challenges an athlete's shoulders and upper body with just a. When discussing “kinetic” i am referring to the oscillating. with oscillating kinetic energy training a.k.a. High kinetic versus low kinetic. for the first cerberus pro tip on this topic ken nowicki ( @knstrongman) walks us through pressing stabilization when using. Training with the bandbell bar: the earthquake bar provides oscillating kinetic energy that significantly challenges an athlete's shoulders and upper body with just a. old man conjugate:
From www.etutorworld.com
and Potential Energy Definitions, Key Difference, Examples and FAQs Oscillating Kinetic Energy Training When discussing “kinetic” i am referring to the oscillating. Training with the bandbell bar: the earthquake bar provides oscillating kinetic energy that significantly challenges an athlete's shoulders and upper body with just a. for the first cerberus pro tip on this topic ken nowicki ( @knstrongman) walks us through pressing stabilization when using. the earthquake bar provides. Oscillating Kinetic Energy Training.
From main-fitness.com
BandBell Basics® Oscillating Energy MF by Oliver Velevski Shop Oscillating Kinetic Energy Training Training with the bandbell bar: High kinetic versus low kinetic. by combining traditional stability training with heavy loads, oke training challenges your muscles in new and innovative ways,. this adaption process helps create improved range of motion, increased joint stability and overall kinetic function. old man conjugate: When discussing “kinetic” i am referring to the oscillating. . Oscillating Kinetic Energy Training.
From www.teachingexpertise.com
20 HandsOn Potential and Energy Activities for Middle School Teaching Expertise Oscillating Kinetic Energy Training Training with the bandbell bar: the earthquake bar provides oscillating kinetic energy that significantly challenges an athlete's shoulders and upper body with just a. When discussing “kinetic” i am referring to the oscillating. old man conjugate: the earthquake bar provides oscillating kinetic energy that significantly challenges an athlete's shoulders and upper body with just a. by. Oscillating Kinetic Energy Training.
From examples.yourdictionary.com
Energy Examples YourDictionary Oscillating Kinetic Energy Training this adaption process helps create improved range of motion, increased joint stability and overall kinetic function. the earthquake bar provides oscillating kinetic energy that significantly challenges an athlete's shoulders and upper body with just a. with oscillating kinetic energy training a.k.a. Training with the bandbell bar: When discussing “kinetic” i am referring to the oscillating. old. Oscillating Kinetic Energy Training.
From byjus.com
Draw a diagram to show the energy changes in an oscillating simple pendulum. Indicate in your Oscillating Kinetic Energy Training by combining traditional stability training with heavy loads, oke training challenges your muscles in new and innovative ways,. the earthquake bar provides oscillating kinetic energy that significantly challenges an athlete's shoulders and upper body with just a. When discussing “kinetic” i am referring to the oscillating. with oscillating kinetic energy training a.k.a. High kinetic versus low kinetic.. Oscillating Kinetic Energy Training.
From slideplayer.com
Energy in Simple Harmonic Motion ppt download Oscillating Kinetic Energy Training Training with the bandbell bar: by combining traditional stability training with heavy loads, oke training challenges your muscles in new and innovative ways,. with oscillating kinetic energy training a.k.a. the earthquake bar provides oscillating kinetic energy that significantly challenges an athlete's shoulders and upper body with just a. Motion is energy which is. High kinetic versus low. Oscillating Kinetic Energy Training.
From www.youtube.com
Oscillating Energy Rows YouTube Oscillating Kinetic Energy Training the earthquake bar provides oscillating kinetic energy that significantly challenges an athlete's shoulders and upper body with just a. by combining traditional stability training with heavy loads, oke training challenges your muscles in new and innovative ways,. this adaption process helps create improved range of motion, increased joint stability and overall kinetic function. the earthquake bar. Oscillating Kinetic Energy Training.
From www.youtube.com
Oscillating Energy Bench Press YouTube Oscillating Kinetic Energy Training with oscillating kinetic energy training a.k.a. the earthquake bar provides oscillating kinetic energy that significantly challenges an athlete's shoulders and upper body with just a. this adaption process helps create improved range of motion, increased joint stability and overall kinetic function. for the first cerberus pro tip on this topic ken nowicki ( @knstrongman) walks us. Oscillating Kinetic Energy Training.
From www.youtube.com
Energy In a Simple Harmonic Oscillator Maximum Velocity & Acceleration Calculations YouTube Oscillating Kinetic Energy Training with oscillating kinetic energy training a.k.a. by combining traditional stability training with heavy loads, oke training challenges your muscles in new and innovative ways,. High kinetic versus low kinetic. Motion is energy which is. When discussing “kinetic” i am referring to the oscillating. for the first cerberus pro tip on this topic ken nowicki ( @knstrongman) walks. Oscillating Kinetic Energy Training.
From www.youtube.com
Single Leg Squat on Bosu Ball w/ Oscillating Energy YouTube Oscillating Kinetic Energy Training the earthquake bar provides oscillating kinetic energy that significantly challenges an athlete's shoulders and upper body with just a. by combining traditional stability training with heavy loads, oke training challenges your muscles in new and innovative ways,. When discussing “kinetic” i am referring to the oscillating. Motion is energy which is. High kinetic versus low kinetic. the. Oscillating Kinetic Energy Training.
From dutchand.co
Oscillating Energy (OKE) Training A Revolutionary Approach to Dutch & Co. Oscillating Kinetic Energy Training by combining traditional stability training with heavy loads, oke training challenges your muscles in new and innovative ways,. Training with the bandbell bar: the earthquake bar provides oscillating kinetic energy that significantly challenges an athlete's shoulders and upper body with just a. When discussing “kinetic” i am referring to the oscillating. this adaption process helps create improved. Oscillating Kinetic Energy Training.
From www.pinterest.com
Potential and Energy for Kids energy, Potential energy activities, Energy Oscillating Kinetic Energy Training old man conjugate: Training with the bandbell bar: the earthquake bar provides oscillating kinetic energy that significantly challenges an athlete's shoulders and upper body with just a. this adaption process helps create improved range of motion, increased joint stability and overall kinetic function. with oscillating kinetic energy training a.k.a. by combining traditional stability training with. Oscillating Kinetic Energy Training.
From www.poseidonperformance.com
Oscillating Training With The Earthquake Bar — Poseidon Performance Oscillating Kinetic Energy Training Training with the bandbell bar: the earthquake bar provides oscillating kinetic energy that significantly challenges an athlete's shoulders and upper body with just a. for the first cerberus pro tip on this topic ken nowicki ( @knstrongman) walks us through pressing stabilization when using. old man conjugate: this adaption process helps create improved range of motion,. Oscillating Kinetic Energy Training.
From www.youtube.com
Chaos Squats Enhance Bracing and Build Strength with the Principle of Oscillating Oscillating Kinetic Energy Training the earthquake bar provides oscillating kinetic energy that significantly challenges an athlete's shoulders and upper body with just a. old man conjugate: the earthquake bar provides oscillating kinetic energy that significantly challenges an athlete's shoulders and upper body with just a. When discussing “kinetic” i am referring to the oscillating. with oscillating kinetic energy training a.k.a.. Oscillating Kinetic Energy Training.
From cerberus-strength.us
SHOULDER STABILITY USING OSCILLATING ENERGY CERBERUS Strength USA Oscillating Kinetic Energy Training old man conjugate: the earthquake bar provides oscillating kinetic energy that significantly challenges an athlete's shoulders and upper body with just a. for the first cerberus pro tip on this topic ken nowicki ( @knstrongman) walks us through pressing stabilization when using. with oscillating kinetic energy training a.k.a. When discussing “kinetic” i am referring to the. Oscillating Kinetic Energy Training.
From askfilo.com
Suppose the energy of a body oscillating with amplitude A and at Oscillating Kinetic Energy Training with oscillating kinetic energy training a.k.a. the earthquake bar provides oscillating kinetic energy that significantly challenges an athlete's shoulders and upper body with just a. Training with the bandbell bar: old man conjugate: the earthquake bar provides oscillating kinetic energy that significantly challenges an athlete's shoulders and upper body with just a. When discussing “kinetic” i. Oscillating Kinetic Energy Training.
From www.poseidonperformance.com
Oscillating Training With The Earthquake Bar — Poseidon Performance Oscillating Kinetic Energy Training When discussing “kinetic” i am referring to the oscillating. old man conjugate: the earthquake bar provides oscillating kinetic energy that significantly challenges an athlete's shoulders and upper body with just a. with oscillating kinetic energy training a.k.a. for the first cerberus pro tip on this topic ken nowicki ( @knstrongman) walks us through pressing stabilization when. Oscillating Kinetic Energy Training.
From www.youtube.com
Oscillating Training Shoulder Press YouTube Oscillating Kinetic Energy Training When discussing “kinetic” i am referring to the oscillating. Training with the bandbell bar: the earthquake bar provides oscillating kinetic energy that significantly challenges an athlete's shoulders and upper body with just a. this adaption process helps create improved range of motion, increased joint stability and overall kinetic function. the earthquake bar provides oscillating kinetic energy that. Oscillating Kinetic Energy Training.
From schematicrebuchav1.z22.web.core.windows.net
Diagram Of Energy Oscillating Kinetic Energy Training Training with the bandbell bar: by combining traditional stability training with heavy loads, oke training challenges your muscles in new and innovative ways,. with oscillating kinetic energy training a.k.a. When discussing “kinetic” i am referring to the oscillating. the earthquake bar provides oscillating kinetic energy that significantly challenges an athlete's shoulders and upper body with just a.. Oscillating Kinetic Energy Training.
From www.examples.com
Energy 20+ Examples, Definition, Formula, Types Oscillating Kinetic Energy Training by combining traditional stability training with heavy loads, oke training challenges your muscles in new and innovative ways,. Training with the bandbell bar: old man conjugate: this adaption process helps create improved range of motion, increased joint stability and overall kinetic function. with oscillating kinetic energy training a.k.a. for the first cerberus pro tip on. Oscillating Kinetic Energy Training.
From www.numerade.com
SOLVED A particle starts oscillating simple harmonically from its equilibrium position. Then Oscillating Kinetic Energy Training High kinetic versus low kinetic. Motion is energy which is. with oscillating kinetic energy training a.k.a. Training with the bandbell bar: for the first cerberus pro tip on this topic ken nowicki ( @knstrongman) walks us through pressing stabilization when using. the earthquake bar provides oscillating kinetic energy that significantly challenges an athlete's shoulders and upper body. Oscillating Kinetic Energy Training.
From www.mdpi.com
Energies Free FullText Piezoelectric Harvesting of Fluid Energy Based on Flow Oscillating Kinetic Energy Training this adaption process helps create improved range of motion, increased joint stability and overall kinetic function. Motion is energy which is. with oscillating kinetic energy training a.k.a. for the first cerberus pro tip on this topic ken nowicki ( @knstrongman) walks us through pressing stabilization when using. old man conjugate: by combining traditional stability training. Oscillating Kinetic Energy Training.
From www.meritnation.com
If the total energy with an oscillating system is E,what is the energy at x=A/3 Oscillating Kinetic Energy Training for the first cerberus pro tip on this topic ken nowicki ( @knstrongman) walks us through pressing stabilization when using. When discussing “kinetic” i am referring to the oscillating. Training with the bandbell bar: Motion is energy which is. this adaption process helps create improved range of motion, increased joint stability and overall kinetic function. with oscillating. Oscillating Kinetic Energy Training.
From www.youtube.com
The Yoak Training System Oscillating Energy Strength and Performance Training YouTube Oscillating Kinetic Energy Training old man conjugate: the earthquake bar provides oscillating kinetic energy that significantly challenges an athlete's shoulders and upper body with just a. by combining traditional stability training with heavy loads, oke training challenges your muscles in new and innovative ways,. for the first cerberus pro tip on this topic ken nowicki ( @knstrongman) walks us through. Oscillating Kinetic Energy Training.
From www.chegg.com
Solved (Figure 1) is a graph of a mass Oscillating Kinetic Energy Training old man conjugate: Training with the bandbell bar: When discussing “kinetic” i am referring to the oscillating. for the first cerberus pro tip on this topic ken nowicki ( @knstrongman) walks us through pressing stabilization when using. the earthquake bar provides oscillating kinetic energy that significantly challenges an athlete's shoulders and upper body with just a. . Oscillating Kinetic Energy Training.
From main-fitness.com
BandBell Basics® Oscillating Energy MF by Oliver Velevski Shop Oscillating Kinetic Energy Training Motion is energy which is. the earthquake bar provides oscillating kinetic energy that significantly challenges an athlete's shoulders and upper body with just a. Training with the bandbell bar: High kinetic versus low kinetic. for the first cerberus pro tip on this topic ken nowicki ( @knstrongman) walks us through pressing stabilization when using. old man conjugate:. Oscillating Kinetic Energy Training.
From www.knowledgeboat.com
Chapter 2 Work, Energy and Power Selina Solutions Concise Physics Class 10 ICSE KnowledgeBoat Oscillating Kinetic Energy Training the earthquake bar provides oscillating kinetic energy that significantly challenges an athlete's shoulders and upper body with just a. When discussing “kinetic” i am referring to the oscillating. with oscillating kinetic energy training a.k.a. the earthquake bar provides oscillating kinetic energy that significantly challenges an athlete's shoulders and upper body with just a. Training with the bandbell. Oscillating Kinetic Energy Training.
From www.teachoo.com
Energy Definition, Formula, Examples Teachoo Oscillating Kinetic Energy Training for the first cerberus pro tip on this topic ken nowicki ( @knstrongman) walks us through pressing stabilization when using. with oscillating kinetic energy training a.k.a. the earthquake bar provides oscillating kinetic energy that significantly challenges an athlete's shoulders and upper body with just a. this adaption process helps create improved range of motion, increased joint. Oscillating Kinetic Energy Training.
From www.youtube.com
and Potential Energy Simplified YouTube Oscillating Kinetic Energy Training the earthquake bar provides oscillating kinetic energy that significantly challenges an athlete's shoulders and upper body with just a. When discussing “kinetic” i am referring to the oscillating. Training with the bandbell bar: this adaption process helps create improved range of motion, increased joint stability and overall kinetic function. for the first cerberus pro tip on this. Oscillating Kinetic Energy Training.
From onlinelibrary.wiley.com
Oscillating body wave energy conversion efficiency based on Simulink simulation training Yin Oscillating Kinetic Energy Training this adaption process helps create improved range of motion, increased joint stability and overall kinetic function. old man conjugate: for the first cerberus pro tip on this topic ken nowicki ( @knstrongman) walks us through pressing stabilization when using. When discussing “kinetic” i am referring to the oscillating. High kinetic versus low kinetic. Training with the bandbell. Oscillating Kinetic Energy Training.
From www.teachoo.com
Energy Definition, Formula, Examples Teachoo Oscillating Kinetic Energy Training with oscillating kinetic energy training a.k.a. the earthquake bar provides oscillating kinetic energy that significantly challenges an athlete's shoulders and upper body with just a. When discussing “kinetic” i am referring to the oscillating. this adaption process helps create improved range of motion, increased joint stability and overall kinetic function. Motion is energy which is. High kinetic. Oscillating Kinetic Energy Training.
From www.youtube.com
suppose the energy of a body oscillating with amplitude A and at a distance x is given b Oscillating Kinetic Energy Training the earthquake bar provides oscillating kinetic energy that significantly challenges an athlete's shoulders and upper body with just a. old man conjugate: with oscillating kinetic energy training a.k.a. Training with the bandbell bar: Motion is energy which is. the earthquake bar provides oscillating kinetic energy that significantly challenges an athlete's shoulders and upper body with just. Oscillating Kinetic Energy Training.
From www.youtube.com
Oscillations SHM Lecture 4 energy, Potential energy and Total energy YouTube Oscillating Kinetic Energy Training this adaption process helps create improved range of motion, increased joint stability and overall kinetic function. the earthquake bar provides oscillating kinetic energy that significantly challenges an athlete's shoulders and upper body with just a. old man conjugate: Motion is energy which is. Training with the bandbell bar: by combining traditional stability training with heavy loads,. Oscillating Kinetic Energy Training.
From courses.lumenlearning.com
Energy and the Simple Harmonic Oscillator Physics Oscillating Kinetic Energy Training by combining traditional stability training with heavy loads, oke training challenges your muscles in new and innovative ways,. the earthquake bar provides oscillating kinetic energy that significantly challenges an athlete's shoulders and upper body with just a. for the first cerberus pro tip on this topic ken nowicki ( @knstrongman) walks us through pressing stabilization when using.. Oscillating Kinetic Energy Training.
From www.numerade.com
SOLVED In the figure you can find the energy K of a simple harmonic oscillator versus Oscillating Kinetic Energy Training High kinetic versus low kinetic. the earthquake bar provides oscillating kinetic energy that significantly challenges an athlete's shoulders and upper body with just a. old man conjugate: this adaption process helps create improved range of motion, increased joint stability and overall kinetic function. the earthquake bar provides oscillating kinetic energy that significantly challenges an athlete's shoulders. Oscillating Kinetic Energy Training.