Coterminous Edges Meaning . Coextensive or coincident in range, time, scope, etc. Having the same border or covering the same area. We know that the volume of a parallelepiped with coterminous edges as $\vec{a},\vec{b},\vec{c}$ is given by $v=\left[ \vec{a},\vec{b},\vec{c} \right]$,. Having the same meaning or definition: A voting district coterminous with the city. Having the same or coincident (see coincident sense 2) boundaries. Use the word coterminous to describe things that are equal in scope. Coextensive in range or scope. Coterminous meaning, definition, what is coterminous: If an earthquake in australia was coterminous with the earthquake in china,. Coterminous withthe family is not necessarily coterminous with the household . Being the same in extent; Having the same pattern or features:
from questions-in.kunduz.com
Having the same or coincident (see coincident sense 2) boundaries. If an earthquake in australia was coterminous with the earthquake in china,. Coextensive in range or scope. Having the same border or covering the same area. We know that the volume of a parallelepiped with coterminous edges as $\vec{a},\vec{b},\vec{c}$ is given by $v=\left[ \vec{a},\vec{b},\vec{c} \right]$,. Having the same meaning or definition: Being the same in extent; Coterminous withthe family is not necessarily coterminous with the household . A voting district coterminous with the city. Coextensive or coincident in range, time, scope, etc.
Let OA, OB, OC be coterminous edges of a cuboid. If l, Math
Coterminous Edges Meaning Coextensive or coincident in range, time, scope, etc. A voting district coterminous with the city. Use the word coterminous to describe things that are equal in scope. If an earthquake in australia was coterminous with the earthquake in china,. Coterminous meaning, definition, what is coterminous: Coextensive in range or scope. Having the same border or covering the same area. Having the same or coincident (see coincident sense 2) boundaries. We know that the volume of a parallelepiped with coterminous edges as $\vec{a},\vec{b},\vec{c}$ is given by $v=\left[ \vec{a},\vec{b},\vec{c} \right]$,. Having the same meaning or definition: Being the same in extent; Coterminous withthe family is not necessarily coterminous with the household . Coextensive or coincident in range, time, scope, etc. Having the same pattern or features:
From questions-in.kunduz.com
Let OA, OB, OC be coterminous edges of a cuboid. If l, Math Coterminous Edges Meaning Having the same pattern or features: Having the same border or covering the same area. We know that the volume of a parallelepiped with coterminous edges as $\vec{a},\vec{b},\vec{c}$ is given by $v=\left[ \vec{a},\vec{b},\vec{c} \right]$,. Having the same meaning or definition: If an earthquake in australia was coterminous with the earthquake in china,. Coterminous withthe family is not necessarily coterminous with. Coterminous Edges Meaning.
From www.bharatagritech.com
Learn English Words COTERMINOUS Meaning, Vocabulary With, 47 OFF Coterminous Edges Meaning Having the same or coincident (see coincident sense 2) boundaries. Coextensive or coincident in range, time, scope, etc. Coextensive in range or scope. Use the word coterminous to describe things that are equal in scope. Being the same in extent; Coterminous meaning, definition, what is coterminous: We know that the volume of a parallelepiped with coterminous edges as $\vec{a},\vec{b},\vec{c}$ is. Coterminous Edges Meaning.
From askfilo.com
Let the volume of a parallelopiped whose coterminous edges are given by u.. Coterminous Edges Meaning A voting district coterminous with the city. Coterminous meaning, definition, what is coterminous: Being the same in extent; Coextensive or coincident in range, time, scope, etc. Having the same pattern or features: Coextensive in range or scope. If an earthquake in australia was coterminous with the earthquake in china,. Having the same or coincident (see coincident sense 2) boundaries. Having. Coterminous Edges Meaning.
From questions-in.kunduz.com
Let OA, OB, OC be coterminous edges of a cuboid. If l, Math Coterminous Edges Meaning Coterminous meaning, definition, what is coterminous: Having the same border or covering the same area. If an earthquake in australia was coterminous with the earthquake in china,. Having the same meaning or definition: Use the word coterminous to describe things that are equal in scope. A voting district coterminous with the city. We know that the volume of a parallelepiped. Coterminous Edges Meaning.
From www.youtube.com
Edges, Faces and Vertices Corbettmaths YouTube Coterminous Edges Meaning Having the same pattern or features: Having the same border or covering the same area. Coextensive in range or scope. A voting district coterminous with the city. We know that the volume of a parallelepiped with coterminous edges as $\vec{a},\vec{b},\vec{c}$ is given by $v=\left[ \vec{a},\vec{b},\vec{c} \right]$,. Use the word coterminous to describe things that are equal in scope. Coterminous meaning,. Coterminous Edges Meaning.
From www.doubtnut.com
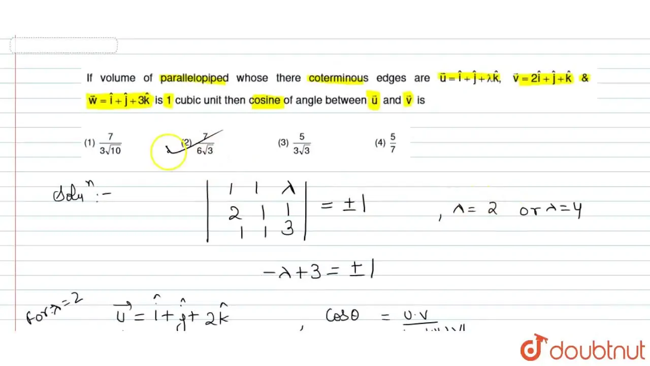
If volume of parallelopiped whose there coterminous edges are vec u Coterminous Edges Meaning Coextensive or coincident in range, time, scope, etc. Being the same in extent; A voting district coterminous with the city. Having the same or coincident (see coincident sense 2) boundaries. If an earthquake in australia was coterminous with the earthquake in china,. Coextensive in range or scope. Coterminous withthe family is not necessarily coterminous with the household . Having the. Coterminous Edges Meaning.
From www.youtube.com
Coterminous meaning of Coterminous YouTube Coterminous Edges Meaning Coextensive in range or scope. If an earthquake in australia was coterminous with the earthquake in china,. We know that the volume of a parallelepiped with coterminous edges as $\vec{a},\vec{b},\vec{c}$ is given by $v=\left[ \vec{a},\vec{b},\vec{c} \right]$,. Coterminous meaning, definition, what is coterminous: Having the same or coincident (see coincident sense 2) boundaries. Having the same pattern or features: Being the. Coterminous Edges Meaning.
From www.vedantu.com
If V is the volume of parallelepiped formed by the vectors Coterminous Edges Meaning Use the word coterminous to describe things that are equal in scope. Coterminous withthe family is not necessarily coterminous with the household . Having the same pattern or features: If an earthquake in australia was coterminous with the earthquake in china,. Having the same meaning or definition: Coextensive or coincident in range, time, scope, etc. Having the same border or. Coterminous Edges Meaning.
From www.toppr.com
Find the volume of the parallelepiped whose coterminous edges are Coterminous Edges Meaning We know that the volume of a parallelepiped with coterminous edges as $\vec{a},\vec{b},\vec{c}$ is given by $v=\left[ \vec{a},\vec{b},\vec{c} \right]$,. Coterminous withthe family is not necessarily coterminous with the household . Coextensive in range or scope. Having the same pattern or features: A voting district coterminous with the city. Use the word coterminous to describe things that are equal in scope.. Coterminous Edges Meaning.
From gongdeamarketer.com
생성형 AI, Rytr AI로 컨텐츠 제작하기 프롬프트 사용법 가격 Coterminous Edges Meaning A voting district coterminous with the city. We know that the volume of a parallelepiped with coterminous edges as $\vec{a},\vec{b},\vec{c}$ is given by $v=\left[ \vec{a},\vec{b},\vec{c} \right]$,. If an earthquake in australia was coterminous with the earthquake in china,. Being the same in extent; Coterminous meaning, definition, what is coterminous: Coterminous withthe family is not necessarily coterminous with the household .. Coterminous Edges Meaning.
From brainly.in
Determine λ, for which the volume of the parallelepiped having Coterminous Edges Meaning Having the same pattern or features: A voting district coterminous with the city. If an earthquake in australia was coterminous with the earthquake in china,. Being the same in extent; Coterminous withthe family is not necessarily coterminous with the household . Having the same meaning or definition: Use the word coterminous to describe things that are equal in scope. Coterminous. Coterminous Edges Meaning.
From www.toppr.com
Find the volume of the parallelepiped whose coterminous edges are Coterminous Edges Meaning Coextensive in range or scope. Having the same meaning or definition: A voting district coterminous with the city. We know that the volume of a parallelepiped with coterminous edges as $\vec{a},\vec{b},\vec{c}$ is given by $v=\left[ \vec{a},\vec{b},\vec{c} \right]$,. If an earthquake in australia was coterminous with the earthquake in china,. Having the same pattern or features: Coterminous meaning, definition, what is. Coterminous Edges Meaning.
From www.meritnation.com
83) If the volume of a tetrahedron formed by the coterminous edges a Coterminous Edges Meaning If an earthquake in australia was coterminous with the earthquake in china,. Having the same meaning or definition: Having the same pattern or features: Use the word coterminous to describe things that are equal in scope. Coextensive in range or scope. Coterminous withthe family is not necessarily coterminous with the household . Coterminous meaning, definition, what is coterminous: Coextensive or. Coterminous Edges Meaning.
From www.vedantu.com
Find the volume of parallelepiped whose coterminous edges are given by Coterminous Edges Meaning Use the word coterminous to describe things that are equal in scope. Being the same in extent; Having the same pattern or features: Coterminous withthe family is not necessarily coterminous with the household . If an earthquake in australia was coterminous with the earthquake in china,. We know that the volume of a parallelepiped with coterminous edges as $\vec{a},\vec{b},\vec{c}$ is. Coterminous Edges Meaning.
From askfilo.com
Find the Volume of Tethrahedron whose coterminous edges areaˉ= ^+2 ^ +3k.. Coterminous Edges Meaning Being the same in extent; Coterminous meaning, definition, what is coterminous: Having the same border or covering the same area. Having the same or coincident (see coincident sense 2) boundaries. Having the same meaning or definition: Having the same pattern or features: A voting district coterminous with the city. Coextensive in range or scope. If an earthquake in australia was. Coterminous Edges Meaning.
From askfilo.com
aˉ,bˉ,cˉ are nonzero vectors along the coterminous edges of a parallelop.. Coterminous Edges Meaning Having the same or coincident (see coincident sense 2) boundaries. Coterminous withthe family is not necessarily coterminous with the household . Being the same in extent; Having the same border or covering the same area. If an earthquake in australia was coterminous with the earthquake in china,. A voting district coterminous with the city. Coextensive in range or scope. Coextensive. Coterminous Edges Meaning.
From www.youtube.com
Coterminous Meaning Pronunciation Word Wor(l)d Audio Video Coterminous Edges Meaning Having the same or coincident (see coincident sense 2) boundaries. Having the same meaning or definition: We know that the volume of a parallelepiped with coterminous edges as $\vec{a},\vec{b},\vec{c}$ is given by $v=\left[ \vec{a},\vec{b},\vec{c} \right]$,. Coextensive or coincident in range, time, scope, etc. Coterminous withthe family is not necessarily coterminous with the household . A voting district coterminous with the. Coterminous Edges Meaning.
From www.youtube.com
If a+b, b+c and c+a are coterminous edges of a parallel opiped then its Coterminous Edges Meaning Coextensive or coincident in range, time, scope, etc. Coterminous meaning, definition, what is coterminous: Having the same meaning or definition: A voting district coterminous with the city. Coterminous withthe family is not necessarily coterminous with the household . We know that the volume of a parallelepiped with coterminous edges as $\vec{a},\vec{b},\vec{c}$ is given by $v=\left[ \vec{a},\vec{b},\vec{c} \right]$,. Having the same. Coterminous Edges Meaning.
From www.youtube.com
Class 12th Coterminous Vectors Vector Algebra Tutorials Point Coterminous Edges Meaning Coterminous withthe family is not necessarily coterminous with the household . If an earthquake in australia was coterminous with the earthquake in china,. Having the same or coincident (see coincident sense 2) boundaries. We know that the volume of a parallelepiped with coterminous edges as $\vec{a},\vec{b},\vec{c}$ is given by $v=\left[ \vec{a},\vec{b},\vec{c} \right]$,. Having the same border or covering the same. Coterminous Edges Meaning.
From www.toppr.com
The volume of the y = tetrahedron formed by the coterminous edge a̅, b̅ Coterminous Edges Meaning Being the same in extent; Having the same border or covering the same area. Use the word coterminous to describe things that are equal in scope. Having the same or coincident (see coincident sense 2) boundaries. Having the same pattern or features: A voting district coterminous with the city. Having the same meaning or definition: Coterminous withthe family is not. Coterminous Edges Meaning.
From www.toppr.com
If three coterminous edges of a parallelepiped are represented by a Coterminous Edges Meaning Coextensive or coincident in range, time, scope, etc. Being the same in extent; Coextensive in range or scope. If an earthquake in australia was coterminous with the earthquake in china,. A voting district coterminous with the city. Having the same pattern or features: Having the same border or covering the same area. Use the word coterminous to describe things that. Coterminous Edges Meaning.
From www.powerthesaurus.org
Coterminous synonyms 307 Words and Phrases for Coterminous Coterminous Edges Meaning Coextensive in range or scope. Having the same meaning or definition: Having the same or coincident (see coincident sense 2) boundaries. If an earthquake in australia was coterminous with the earthquake in china,. Coterminous meaning, definition, what is coterminous: Being the same in extent; Having the same pattern or features: Use the word coterminous to describe things that are equal. Coterminous Edges Meaning.
From www.youtube.com
Edges meaning of Edges YouTube Coterminous Edges Meaning We know that the volume of a parallelepiped with coterminous edges as $\vec{a},\vec{b},\vec{c}$ is given by $v=\left[ \vec{a},\vec{b},\vec{c} \right]$,. Coextensive or coincident in range, time, scope, etc. Use the word coterminous to describe things that are equal in scope. Coterminous withthe family is not necessarily coterminous with the household . A voting district coterminous with the city. Coextensive in range. Coterminous Edges Meaning.
From mathmonks.com
Parallelepiped Definition, Formulas, Examples, and Diagrams Coterminous Edges Meaning Coterminous meaning, definition, what is coterminous: Having the same meaning or definition: A voting district coterminous with the city. Coextensive or coincident in range, time, scope, etc. We know that the volume of a parallelepiped with coterminous edges as $\vec{a},\vec{b},\vec{c}$ is given by $v=\left[ \vec{a},\vec{b},\vec{c} \right]$,. If an earthquake in australia was coterminous with the earthquake in china,. Use the. Coterminous Edges Meaning.
From www.cuemath.com
Tetrahedron Meaning, Properties, Formulas Tetrahedron Shape Coterminous Edges Meaning Having the same border or covering the same area. A voting district coterminous with the city. We know that the volume of a parallelepiped with coterminous edges as $\vec{a},\vec{b},\vec{c}$ is given by $v=\left[ \vec{a},\vec{b},\vec{c} \right]$,. Coextensive or coincident in range, time, scope, etc. Having the same pattern or features: Coterminous meaning, definition, what is coterminous: Coterminous withthe family is not. Coterminous Edges Meaning.
From www.doubtnut.com
The volume of a tetrahedron formed by the coterminous edges vec a Coterminous Edges Meaning Coextensive or coincident in range, time, scope, etc. Having the same pattern or features: Having the same or coincident (see coincident sense 2) boundaries. We know that the volume of a parallelepiped with coterminous edges as $\vec{a},\vec{b},\vec{c}$ is given by $v=\left[ \vec{a},\vec{b},\vec{c} \right]$,. Coterminous meaning, definition, what is coterminous: Coterminous withthe family is not necessarily coterminous with the household .. Coterminous Edges Meaning.
From discover.hubpages.com
Coterminal Angles How to Find Coterminal Angles in Radians and Degrees Coterminous Edges Meaning Having the same pattern or features: Having the same border or covering the same area. Coextensive in range or scope. Having the same meaning or definition: Coextensive or coincident in range, time, scope, etc. Use the word coterminous to describe things that are equal in scope. If an earthquake in australia was coterminous with the earthquake in china,. Coterminous withthe. Coterminous Edges Meaning.
From www.youtube.com
Coterminous meaning in Telugu, and Coterminous in Sentances YouTube Coterminous Edges Meaning Having the same pattern or features: Coextensive or coincident in range, time, scope, etc. Having the same border or covering the same area. Coterminous withthe family is not necessarily coterminous with the household . Use the word coterminous to describe things that are equal in scope. If an earthquake in australia was coterminous with the earthquake in china,. Being the. Coterminous Edges Meaning.
From www.toppr.com
If vec{a}=(2hat{i}3hat{j}+4hat{k}), vec{b}=(hat{i}+2hat{j}hat{k}) and Coterminous Edges Meaning Having the same or coincident (see coincident sense 2) boundaries. Coextensive or coincident in range, time, scope, etc. Use the word coterminous to describe things that are equal in scope. If an earthquake in australia was coterminous with the earthquake in china,. Coterminous withthe family is not necessarily coterminous with the household . Coextensive in range or scope. Being the. Coterminous Edges Meaning.
From www.toppr.com
Find the volume of the parallelepiped whose coterminous edges are Coterminous Edges Meaning A voting district coterminous with the city. We know that the volume of a parallelepiped with coterminous edges as $\vec{a},\vec{b},\vec{c}$ is given by $v=\left[ \vec{a},\vec{b},\vec{c} \right]$,. Having the same border or covering the same area. Coterminous meaning, definition, what is coterminous: Use the word coterminous to describe things that are equal in scope. Coextensive or coincident in range, time, scope,. Coterminous Edges Meaning.
From byjus.com
18. The coterminous edges of a parallelepiped are given by vectors i+aj Coterminous Edges Meaning Having the same border or covering the same area. Having the same pattern or features: Coextensive or coincident in range, time, scope, etc. A voting district coterminous with the city. Having the same or coincident (see coincident sense 2) boundaries. We know that the volume of a parallelepiped with coterminous edges as $\vec{a},\vec{b},\vec{c}$ is given by $v=\left[ \vec{a},\vec{b},\vec{c} \right]$,. Being. Coterminous Edges Meaning.
From www.toppr.com
If is the volume of parallelepiped formed by the vectors ( vec { a Coterminous Edges Meaning If an earthquake in australia was coterminous with the earthquake in china,. Having the same meaning or definition: Having the same pattern or features: Having the same border or covering the same area. Coterminous withthe family is not necessarily coterminous with the household . We know that the volume of a parallelepiped with coterminous edges as $\vec{a},\vec{b},\vec{c}$ is given by. Coterminous Edges Meaning.
From www.doubtnut.com
The volume of the parallelepiped whose coterminous edges are Coterminous Edges Meaning Coterminous withthe family is not necessarily coterminous with the household . Being the same in extent; If an earthquake in australia was coterminous with the earthquake in china,. Coextensive or coincident in range, time, scope, etc. Having the same or coincident (see coincident sense 2) boundaries. Having the same border or covering the same area. Having the same meaning or. Coterminous Edges Meaning.
From www.twinkl.co.uk
What is a Vertex? Maths Definition and Examples Twinkl Coterminous Edges Meaning Coterminous meaning, definition, what is coterminous: Being the same in extent; Coterminous withthe family is not necessarily coterminous with the household . We know that the volume of a parallelepiped with coterminous edges as $\vec{a},\vec{b},\vec{c}$ is given by $v=\left[ \vec{a},\vec{b},\vec{c} \right]$,. Coextensive in range or scope. If an earthquake in australia was coterminous with the earthquake in china,. Having the. Coterminous Edges Meaning.
From askfilo.com
53. Find volume of parallelepiped whose coterminous edges are given by ve.. Coterminous Edges Meaning Coterminous withthe family is not necessarily coterminous with the household . Use the word coterminous to describe things that are equal in scope. Having the same meaning or definition: A voting district coterminous with the city. We know that the volume of a parallelepiped with coterminous edges as $\vec{a},\vec{b},\vec{c}$ is given by $v=\left[ \vec{a},\vec{b},\vec{c} \right]$,. Coextensive in range or scope.. Coterminous Edges Meaning.