Hesi Case Study Diabetes Mellitus . Study with quizlet and memorize flashcards containing terms like what is the etiology of kussmaul respirations?, to achieve the goal of. Lab work reveals that the client's blood glucose level is 370 mg/dl (20.54 mmol/l), plasma bicarbonate is 8 meq/l (8 mmol/l), potassium. The nurse identifies that the client has experienced classic symptoms of diabetes, which are: The client’s diabetes mellitus should not present a problem for community dining. You work in the diabetes mellitus (dm) center at a large teaching hospital. The nurses in the community dining center should take any food. Practice quiz to test your competence on the nursing management of diabetes mellitus. Care of patients with diabetes mellitus. Chapter 59 concepts of care for patients with diabetes mellitus:
from www.academia.edu
Practice quiz to test your competence on the nursing management of diabetes mellitus. Study with quizlet and memorize flashcards containing terms like what is the etiology of kussmaul respirations?, to achieve the goal of. You work in the diabetes mellitus (dm) center at a large teaching hospital. Care of patients with diabetes mellitus. The nurses in the community dining center should take any food. The client’s diabetes mellitus should not present a problem for community dining. Lab work reveals that the client's blood glucose level is 370 mg/dl (20.54 mmol/l), plasma bicarbonate is 8 meq/l (8 mmol/l), potassium. Chapter 59 concepts of care for patients with diabetes mellitus: The nurse identifies that the client has experienced classic symptoms of diabetes, which are:
(DOC) Case Studies in Diabetes Mellitus (Clinical Chemistry I
Hesi Case Study Diabetes Mellitus Practice quiz to test your competence on the nursing management of diabetes mellitus. The nurse identifies that the client has experienced classic symptoms of diabetes, which are: Study with quizlet and memorize flashcards containing terms like what is the etiology of kussmaul respirations?, to achieve the goal of. Practice quiz to test your competence on the nursing management of diabetes mellitus. The client’s diabetes mellitus should not present a problem for community dining. Lab work reveals that the client's blood glucose level is 370 mg/dl (20.54 mmol/l), plasma bicarbonate is 8 meq/l (8 mmol/l), potassium. Care of patients with diabetes mellitus. The nurses in the community dining center should take any food. You work in the diabetes mellitus (dm) center at a large teaching hospital. Chapter 59 concepts of care for patients with diabetes mellitus:
From www.studocu.com
HESI RN CASE Study Diabetes TYPE 1 EXAM Questions AND Answers 2024 Hesi Case Study Diabetes Mellitus Study with quizlet and memorize flashcards containing terms like what is the etiology of kussmaul respirations?, to achieve the goal of. You work in the diabetes mellitus (dm) center at a large teaching hospital. Lab work reveals that the client's blood glucose level is 370 mg/dl (20.54 mmol/l), plasma bicarbonate is 8 meq/l (8 mmol/l), potassium. The nurses in the. Hesi Case Study Diabetes Mellitus.
From www.studocu.com
HESI Diabetes scenario KEY FALL 2022 Diabetes Type 1 Case Study Hesi Case Study Diabetes Mellitus The nurses in the community dining center should take any food. Care of patients with diabetes mellitus. The client’s diabetes mellitus should not present a problem for community dining. Study with quizlet and memorize flashcards containing terms like what is the etiology of kussmaul respirations?, to achieve the goal of. You work in the diabetes mellitus (dm) center at a. Hesi Case Study Diabetes Mellitus.
From www.scribd.com
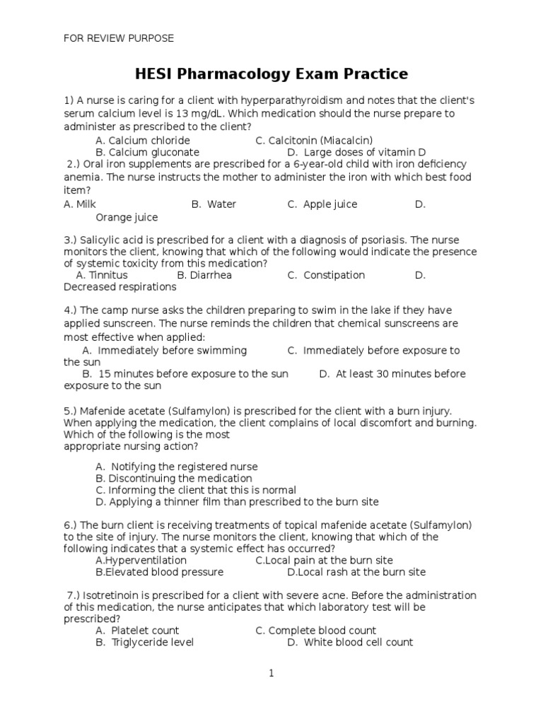
HESI Pharmacology Exam Practice PDF Peptic Ulcer Diabetes Mellitus Hesi Case Study Diabetes Mellitus The nurse identifies that the client has experienced classic symptoms of diabetes, which are: Lab work reveals that the client's blood glucose level is 370 mg/dl (20.54 mmol/l), plasma bicarbonate is 8 meq/l (8 mmol/l), potassium. Chapter 59 concepts of care for patients with diabetes mellitus: The nurses in the community dining center should take any food. Practice quiz to. Hesi Case Study Diabetes Mellitus.
From www.youtube.com
Diabetes Mellitus case study, lab findings and medications 🏥 YouTube Hesi Case Study Diabetes Mellitus The nurse identifies that the client has experienced classic symptoms of diabetes, which are: The client’s diabetes mellitus should not present a problem for community dining. You work in the diabetes mellitus (dm) center at a large teaching hospital. Practice quiz to test your competence on the nursing management of diabetes mellitus. The nurses in the community dining center should. Hesi Case Study Diabetes Mellitus.
From www.studocu.com
HESI CASE Study Gestational Diabetes EXAM Questions AND Answers HESI Hesi Case Study Diabetes Mellitus Practice quiz to test your competence on the nursing management of diabetes mellitus. Lab work reveals that the client's blood glucose level is 370 mg/dl (20.54 mmol/l), plasma bicarbonate is 8 meq/l (8 mmol/l), potassium. Study with quizlet and memorize flashcards containing terms like what is the etiology of kussmaul respirations?, to achieve the goal of. Care of patients with. Hesi Case Study Diabetes Mellitus.
From www.studocu.com
Gestational Diabetes HESI CASE Study 2023 WITH Verified Correct Hesi Case Study Diabetes Mellitus The nurses in the community dining center should take any food. Study with quizlet and memorize flashcards containing terms like what is the etiology of kussmaul respirations?, to achieve the goal of. Practice quiz to test your competence on the nursing management of diabetes mellitus. You work in the diabetes mellitus (dm) center at a large teaching hospital. Care of. Hesi Case Study Diabetes Mellitus.
From www.studypool.com
SOLUTION Diabetes mellitus case study Studypool Hesi Case Study Diabetes Mellitus You work in the diabetes mellitus (dm) center at a large teaching hospital. The client’s diabetes mellitus should not present a problem for community dining. Care of patients with diabetes mellitus. The nurses in the community dining center should take any food. Practice quiz to test your competence on the nursing management of diabetes mellitus. Lab work reveals that the. Hesi Case Study Diabetes Mellitus.
From www.studocu.com
HESI Case Study Diabetes Mellitus BSN 366 Studocu Hesi Case Study Diabetes Mellitus Lab work reveals that the client's blood glucose level is 370 mg/dl (20.54 mmol/l), plasma bicarbonate is 8 meq/l (8 mmol/l), potassium. Study with quizlet and memorize flashcards containing terms like what is the etiology of kussmaul respirations?, to achieve the goal of. The client’s diabetes mellitus should not present a problem for community dining. Care of patients with diabetes. Hesi Case Study Diabetes Mellitus.
From www.scribd.com
Practice Examination For HESI Exit PDF Pregnancy Diabetes Mellitus Hesi Case Study Diabetes Mellitus Lab work reveals that the client's blood glucose level is 370 mg/dl (20.54 mmol/l), plasma bicarbonate is 8 meq/l (8 mmol/l), potassium. You work in the diabetes mellitus (dm) center at a large teaching hospital. Practice quiz to test your competence on the nursing management of diabetes mellitus. The nurse identifies that the client has experienced classic symptoms of diabetes,. Hesi Case Study Diabetes Mellitus.
From www.studypool.com
SOLUTION Hesi rn case study diabetes type i Studypool Hesi Case Study Diabetes Mellitus The nurse identifies that the client has experienced classic symptoms of diabetes, which are: The nurses in the community dining center should take any food. Practice quiz to test your competence on the nursing management of diabetes mellitus. Study with quizlet and memorize flashcards containing terms like what is the etiology of kussmaul respirations?, to achieve the goal of. Chapter. Hesi Case Study Diabetes Mellitus.
From diabeteswalls.blogspot.com
Gestational Diabetes Danielle Hesi Case Study DiabetesWalls Hesi Case Study Diabetes Mellitus The nurse identifies that the client has experienced classic symptoms of diabetes, which are: Study with quizlet and memorize flashcards containing terms like what is the etiology of kussmaul respirations?, to achieve the goal of. Practice quiz to test your competence on the nursing management of diabetes mellitus. Care of patients with diabetes mellitus. The nurses in the community dining. Hesi Case Study Diabetes Mellitus.
From pt.slideshare.net
Case Study On Diabetes type 1 case study Hesi Case Study Diabetes Mellitus You work in the diabetes mellitus (dm) center at a large teaching hospital. The client’s diabetes mellitus should not present a problem for community dining. Study with quizlet and memorize flashcards containing terms like what is the etiology of kussmaul respirations?, to achieve the goal of. Chapter 59 concepts of care for patients with diabetes mellitus: The nurses in the. Hesi Case Study Diabetes Mellitus.
From es.slideshare.net
242247593 diabetesmellituscasestudy Hesi Case Study Diabetes Mellitus Chapter 59 concepts of care for patients with diabetes mellitus: The client’s diabetes mellitus should not present a problem for community dining. The nurse identifies that the client has experienced classic symptoms of diabetes, which are: Practice quiz to test your competence on the nursing management of diabetes mellitus. Care of patients with diabetes mellitus. The nurses in the community. Hesi Case Study Diabetes Mellitus.
From www.studocu.com
HESI Practice CASE Study 5 Point Extra Credit Pharm Case Study 1 Hesi Case Study Diabetes Mellitus Lab work reveals that the client's blood glucose level is 370 mg/dl (20.54 mmol/l), plasma bicarbonate is 8 meq/l (8 mmol/l), potassium. The client’s diabetes mellitus should not present a problem for community dining. The nurses in the community dining center should take any food. Care of patients with diabetes mellitus. You work in the diabetes mellitus (dm) center at. Hesi Case Study Diabetes Mellitus.
From www.studypool.com
SOLUTION Diabetes mellitus case study Studypool Hesi Case Study Diabetes Mellitus Study with quizlet and memorize flashcards containing terms like what is the etiology of kussmaul respirations?, to achieve the goal of. You work in the diabetes mellitus (dm) center at a large teaching hospital. Lab work reveals that the client's blood glucose level is 370 mg/dl (20.54 mmol/l), plasma bicarbonate is 8 meq/l (8 mmol/l), potassium. Practice quiz to test. Hesi Case Study Diabetes Mellitus.
From www.stuvia.com
HESI Case Study Diabetes Mellitus rated A 2023 CO 2 Stuvia US Hesi Case Study Diabetes Mellitus Practice quiz to test your competence on the nursing management of diabetes mellitus. You work in the diabetes mellitus (dm) center at a large teaching hospital. The nurses in the community dining center should take any food. Chapter 59 concepts of care for patients with diabetes mellitus: The client’s diabetes mellitus should not present a problem for community dining. The. Hesi Case Study Diabetes Mellitus.
From www.studocu.com
HESI CASE Study Diabetes TYPE 1 EXAM Questions AND Answers 2024 Hesi Case Study Diabetes Mellitus Care of patients with diabetes mellitus. Chapter 59 concepts of care for patients with diabetes mellitus: Study with quizlet and memorize flashcards containing terms like what is the etiology of kussmaul respirations?, to achieve the goal of. Lab work reveals that the client's blood glucose level is 370 mg/dl (20.54 mmol/l), plasma bicarbonate is 8 meq/l (8 mmol/l), potassium. The. Hesi Case Study Diabetes Mellitus.
From www.scribd.com
Hesi Exit Exam PDF Angina Pectoris Diabetes Mellitus Type 2 Hesi Case Study Diabetes Mellitus You work in the diabetes mellitus (dm) center at a large teaching hospital. Practice quiz to test your competence on the nursing management of diabetes mellitus. Chapter 59 concepts of care for patients with diabetes mellitus: Study with quizlet and memorize flashcards containing terms like what is the etiology of kussmaul respirations?, to achieve the goal of. The nurse identifies. Hesi Case Study Diabetes Mellitus.
From www.studocu.com
CASE Study 48 assigement 1 SARA KESSI NPN 210 Case Study Diabetes Hesi Case Study Diabetes Mellitus Lab work reveals that the client's blood glucose level is 370 mg/dl (20.54 mmol/l), plasma bicarbonate is 8 meq/l (8 mmol/l), potassium. Chapter 59 concepts of care for patients with diabetes mellitus: The nurses in the community dining center should take any food. You work in the diabetes mellitus (dm) center at a large teaching hospital. Practice quiz to test. Hesi Case Study Diabetes Mellitus.
From www.slideserve.com
PPT A case study of a patient with diabetes mellitus PowerPoint Hesi Case Study Diabetes Mellitus Care of patients with diabetes mellitus. You work in the diabetes mellitus (dm) center at a large teaching hospital. Study with quizlet and memorize flashcards containing terms like what is the etiology of kussmaul respirations?, to achieve the goal of. Practice quiz to test your competence on the nursing management of diabetes mellitus. The nurses in the community dining center. Hesi Case Study Diabetes Mellitus.
From qwivy.com
EVOLVE CASE STUDIES HESI RNdiabetes Hesi Case Study Diabetes Mellitus The nurse identifies that the client has experienced classic symptoms of diabetes, which are: The nurses in the community dining center should take any food. Practice quiz to test your competence on the nursing management of diabetes mellitus. Lab work reveals that the client's blood glucose level is 370 mg/dl (20.54 mmol/l), plasma bicarbonate is 8 meq/l (8 mmol/l), potassium.. Hesi Case Study Diabetes Mellitus.
From www.studocu.com
Case Study Diabetes Mellitus Adult Health Copyright © 2018 Elsevier Hesi Case Study Diabetes Mellitus The client’s diabetes mellitus should not present a problem for community dining. Practice quiz to test your competence on the nursing management of diabetes mellitus. Care of patients with diabetes mellitus. You work in the diabetes mellitus (dm) center at a large teaching hospital. The nurse identifies that the client has experienced classic symptoms of diabetes, which are: Lab work. Hesi Case Study Diabetes Mellitus.
From www.scribd.com
HESI Case Study Diabetes Type 1 Clinical Medical Surgical 1 PDF Hesi Case Study Diabetes Mellitus Care of patients with diabetes mellitus. Lab work reveals that the client's blood glucose level is 370 mg/dl (20.54 mmol/l), plasma bicarbonate is 8 meq/l (8 mmol/l), potassium. The nurses in the community dining center should take any food. Chapter 59 concepts of care for patients with diabetes mellitus: You work in the diabetes mellitus (dm) center at a large. Hesi Case Study Diabetes Mellitus.
From www.scribd.com
Hesi Study Guid PDF Diabetes Mellitus Bone Hesi Case Study Diabetes Mellitus Lab work reveals that the client's blood glucose level is 370 mg/dl (20.54 mmol/l), plasma bicarbonate is 8 meq/l (8 mmol/l), potassium. Study with quizlet and memorize flashcards containing terms like what is the etiology of kussmaul respirations?, to achieve the goal of. You work in the diabetes mellitus (dm) center at a large teaching hospital. The client’s diabetes mellitus. Hesi Case Study Diabetes Mellitus.
From www.stuvia.com
HESI case studiesdiabetes (Lara Fielding) LATEST 2024 RATED A+ Hesi Case Study Diabetes Mellitus Study with quizlet and memorize flashcards containing terms like what is the etiology of kussmaul respirations?, to achieve the goal of. The nurses in the community dining center should take any food. The nurse identifies that the client has experienced classic symptoms of diabetes, which are: The client’s diabetes mellitus should not present a problem for community dining. Chapter 59. Hesi Case Study Diabetes Mellitus.
From www.academia.edu
(DOC) Case Studies in Diabetes Mellitus (Clinical Chemistry I Hesi Case Study Diabetes Mellitus The nurses in the community dining center should take any food. The client’s diabetes mellitus should not present a problem for community dining. Care of patients with diabetes mellitus. You work in the diabetes mellitus (dm) center at a large teaching hospital. Chapter 59 concepts of care for patients with diabetes mellitus: Practice quiz to test your competence on the. Hesi Case Study Diabetes Mellitus.
From www.slideshare.net
Case study on Diabetes Mellitus Hesi Case Study Diabetes Mellitus The client’s diabetes mellitus should not present a problem for community dining. The nurses in the community dining center should take any food. Chapter 59 concepts of care for patients with diabetes mellitus: The nurse identifies that the client has experienced classic symptoms of diabetes, which are: Study with quizlet and memorize flashcards containing terms like what is the etiology. Hesi Case Study Diabetes Mellitus.
From www.researchgate.net
(PDF) Diabetes Mellitus A Case Study Hesi Case Study Diabetes Mellitus Chapter 59 concepts of care for patients with diabetes mellitus: The client’s diabetes mellitus should not present a problem for community dining. Study with quizlet and memorize flashcards containing terms like what is the etiology of kussmaul respirations?, to achieve the goal of. The nurses in the community dining center should take any food. Practice quiz to test your competence. Hesi Case Study Diabetes Mellitus.
From www.slideshare.net
Case study on Diabetes Mellitus Hesi Case Study Diabetes Mellitus Chapter 59 concepts of care for patients with diabetes mellitus: The nurses in the community dining center should take any food. Lab work reveals that the client's blood glucose level is 370 mg/dl (20.54 mmol/l), plasma bicarbonate is 8 meq/l (8 mmol/l), potassium. Study with quizlet and memorize flashcards containing terms like what is the etiology of kussmaul respirations?, to. Hesi Case Study Diabetes Mellitus.
From es.slideshare.net
242247593 diabetesmellituscasestudy Hesi Case Study Diabetes Mellitus The client’s diabetes mellitus should not present a problem for community dining. Study with quizlet and memorize flashcards containing terms like what is the etiology of kussmaul respirations?, to achieve the goal of. Chapter 59 concepts of care for patients with diabetes mellitus: The nurses in the community dining center should take any food. The nurse identifies that the client. Hesi Case Study Diabetes Mellitus.
From browsegrades.net
HESI case studies Diabetes Type 1 Browsegrades Hesi Case Study Diabetes Mellitus Study with quizlet and memorize flashcards containing terms like what is the etiology of kussmaul respirations?, to achieve the goal of. Care of patients with diabetes mellitus. The nurses in the community dining center should take any food. You work in the diabetes mellitus (dm) center at a large teaching hospital. The nurse identifies that the client has experienced classic. Hesi Case Study Diabetes Mellitus.
From www.scribd.com
Case Study 3 Diabetes Mellitus Type 1 Hesi Case Study Diabetes Mellitus The nurses in the community dining center should take any food. Lab work reveals that the client's blood glucose level is 370 mg/dl (20.54 mmol/l), plasma bicarbonate is 8 meq/l (8 mmol/l), potassium. The client’s diabetes mellitus should not present a problem for community dining. Study with quizlet and memorize flashcards containing terms like what is the etiology of kussmaul. Hesi Case Study Diabetes Mellitus.
From www.consultant360.com
Case Studies of Patients with Type 2 Diabetes Mellitus Exercises in Hesi Case Study Diabetes Mellitus The nurses in the community dining center should take any food. Study with quizlet and memorize flashcards containing terms like what is the etiology of kussmaul respirations?, to achieve the goal of. You work in the diabetes mellitus (dm) center at a large teaching hospital. Chapter 59 concepts of care for patients with diabetes mellitus: Lab work reveals that the. Hesi Case Study Diabetes Mellitus.
From diabeteswalls.blogspot.com
Diabetes Type 1 Pediatrics Hesi Case Study DiabetesWalls Hesi Case Study Diabetes Mellitus Study with quizlet and memorize flashcards containing terms like what is the etiology of kussmaul respirations?, to achieve the goal of. The client’s diabetes mellitus should not present a problem for community dining. Lab work reveals that the client's blood glucose level is 370 mg/dl (20.54 mmol/l), plasma bicarbonate is 8 meq/l (8 mmol/l), potassium. The nurses in the community. Hesi Case Study Diabetes Mellitus.
From www.scribd.com
Case Study Diabetes Mellitus PDF Pancreas Insulin Hesi Case Study Diabetes Mellitus Study with quizlet and memorize flashcards containing terms like what is the etiology of kussmaul respirations?, to achieve the goal of. The nurse identifies that the client has experienced classic symptoms of diabetes, which are: Lab work reveals that the client's blood glucose level is 370 mg/dl (20.54 mmol/l), plasma bicarbonate is 8 meq/l (8 mmol/l), potassium. You work in. Hesi Case Study Diabetes Mellitus.