Initial Velocity Of Rocket . Fowles and cassiday give as example data for a satellite launch a low orbit velocity of about 8 km/s, an initial velocity of about 0.5 km/s from the rotation of the earth near the equator,. Before the fuel is ejected, it is traveling at the velocity of the rocket and so during the time interval \([t, t+\delta t]\), the elected fuel undergoes a change in momentum and the rocket. Escape velocity of a rocket: Calculate the speed of a rocket in empty space, at. It presents the overall dependence of the principal performance parameter for a rocket (velocity, ), on the efficiency of the propulsion system (isp), and the structural. This is the minimum velocity required by the rocket to escape the gravitational attraction of the earth and escape into the space. Describe the application of conservation of momentum when the mass changes with time, as well as the velocity. M is the instantaneous mass of the rocket, u is the velocity of the rocket, v is the velocity of the exhaust. Let us begin by considering the rocket drawing on the left of the figure. To enable a rocket to climb into low earth orbit, it is necessary to achieve a speed, in excess of 28,000 km per hour. A speed of over 40,250 km per hour, called escape velocity, enables. The kinetic energy of the.
from www.chegg.com
Fowles and cassiday give as example data for a satellite launch a low orbit velocity of about 8 km/s, an initial velocity of about 0.5 km/s from the rotation of the earth near the equator,. Before the fuel is ejected, it is traveling at the velocity of the rocket and so during the time interval \([t, t+\delta t]\), the elected fuel undergoes a change in momentum and the rocket. To enable a rocket to climb into low earth orbit, it is necessary to achieve a speed, in excess of 28,000 km per hour. Let us begin by considering the rocket drawing on the left of the figure. Describe the application of conservation of momentum when the mass changes with time, as well as the velocity. The kinetic energy of the. It presents the overall dependence of the principal performance parameter for a rocket (velocity, ), on the efficiency of the propulsion system (isp), and the structural. Escape velocity of a rocket: A speed of over 40,250 km per hour, called escape velocity, enables. Calculate the speed of a rocket in empty space, at.
Solved A projectile is fired with initial velocity of v_0 =
Initial Velocity Of Rocket Before the fuel is ejected, it is traveling at the velocity of the rocket and so during the time interval \([t, t+\delta t]\), the elected fuel undergoes a change in momentum and the rocket. It presents the overall dependence of the principal performance parameter for a rocket (velocity, ), on the efficiency of the propulsion system (isp), and the structural. Escape velocity of a rocket: This is the minimum velocity required by the rocket to escape the gravitational attraction of the earth and escape into the space. Describe the application of conservation of momentum when the mass changes with time, as well as the velocity. M is the instantaneous mass of the rocket, u is the velocity of the rocket, v is the velocity of the exhaust. To enable a rocket to climb into low earth orbit, it is necessary to achieve a speed, in excess of 28,000 km per hour. Let us begin by considering the rocket drawing on the left of the figure. Before the fuel is ejected, it is traveling at the velocity of the rocket and so during the time interval \([t, t+\delta t]\), the elected fuel undergoes a change in momentum and the rocket. Calculate the speed of a rocket in empty space, at. The kinetic energy of the. A speed of over 40,250 km per hour, called escape velocity, enables. Fowles and cassiday give as example data for a satellite launch a low orbit velocity of about 8 km/s, an initial velocity of about 0.5 km/s from the rotation of the earth near the equator,.
From www.youtube.com
Find the Maximum Height of a Rocket Shot Vertically Upwards From the Initial Velocity Of Rocket Fowles and cassiday give as example data for a satellite launch a low orbit velocity of about 8 km/s, an initial velocity of about 0.5 km/s from the rotation of the earth near the equator,. Calculate the speed of a rocket in empty space, at. This is the minimum velocity required by the rocket to escape the gravitational attraction of. Initial Velocity Of Rocket.
From medium.com
The Beginner’s Guide To Rocket Science by Amelia Settembre Medium Initial Velocity Of Rocket Fowles and cassiday give as example data for a satellite launch a low orbit velocity of about 8 km/s, an initial velocity of about 0.5 km/s from the rotation of the earth near the equator,. Calculate the speed of a rocket in empty space, at. M is the instantaneous mass of the rocket, u is the velocity of the rocket,. Initial Velocity Of Rocket.
From www.coursehero.com
[Solved] A model rocket is launched with an initial upward velocity of Initial Velocity Of Rocket A speed of over 40,250 km per hour, called escape velocity, enables. Before the fuel is ejected, it is traveling at the velocity of the rocket and so during the time interval \([t, t+\delta t]\), the elected fuel undergoes a change in momentum and the rocket. Escape velocity of a rocket: M is the instantaneous mass of the rocket, u. Initial Velocity Of Rocket.
From www.numerade.com
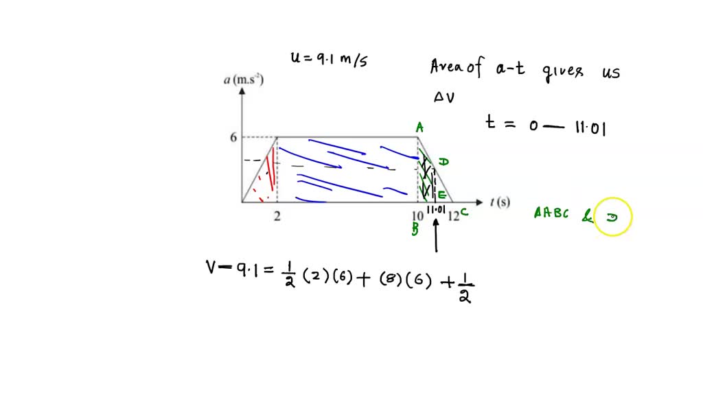
SOLVED A rocket with an initial velocity of 9.1 mls has an Initial Velocity Of Rocket M is the instantaneous mass of the rocket, u is the velocity of the rocket, v is the velocity of the exhaust. Escape velocity of a rocket: Calculate the speed of a rocket in empty space, at. Fowles and cassiday give as example data for a satellite launch a low orbit velocity of about 8 km/s, an initial velocity of. Initial Velocity Of Rocket.
From www.toppr.com
18. A rocket is fired vertically upwards with initial velocity 40 m/s Initial Velocity Of Rocket The kinetic energy of the. A speed of over 40,250 km per hour, called escape velocity, enables. To enable a rocket to climb into low earth orbit, it is necessary to achieve a speed, in excess of 28,000 km per hour. Escape velocity of a rocket: It presents the overall dependence of the principal performance parameter for a rocket (velocity,. Initial Velocity Of Rocket.
From www.numerade.com
SOLVED A bottle rocket is launched from a flat level area of ground at Initial Velocity Of Rocket Fowles and cassiday give as example data for a satellite launch a low orbit velocity of about 8 km/s, an initial velocity of about 0.5 km/s from the rotation of the earth near the equator,. To enable a rocket to climb into low earth orbit, it is necessary to achieve a speed, in excess of 28,000 km per hour. The. Initial Velocity Of Rocket.
From www.mdpi.com
Machines Free FullText Thrust Vector Controller Comparison for a Initial Velocity Of Rocket This is the minimum velocity required by the rocket to escape the gravitational attraction of the earth and escape into the space. A speed of over 40,250 km per hour, called escape velocity, enables. Escape velocity of a rocket: To enable a rocket to climb into low earth orbit, it is necessary to achieve a speed, in excess of 28,000. Initial Velocity Of Rocket.
From www.pinterest.com
Space Flight Systems site Undergoing Maintenance Glenn Research Initial Velocity Of Rocket This is the minimum velocity required by the rocket to escape the gravitational attraction of the earth and escape into the space. The kinetic energy of the. A speed of over 40,250 km per hour, called escape velocity, enables. M is the instantaneous mass of the rocket, u is the velocity of the rocket, v is the velocity of the. Initial Velocity Of Rocket.
From www.chegg.com
Solved A model rocket is launched from point A with an Initial Velocity Of Rocket Before the fuel is ejected, it is traveling at the velocity of the rocket and so during the time interval \([t, t+\delta t]\), the elected fuel undergoes a change in momentum and the rocket. Calculate the speed of a rocket in empty space, at. Let us begin by considering the rocket drawing on the left of the figure. M is. Initial Velocity Of Rocket.
From edurev.in
A rocket of mass1000kg exhaust gases at the rate of 4 kg/s with a Initial Velocity Of Rocket Calculate the speed of a rocket in empty space, at. Before the fuel is ejected, it is traveling at the velocity of the rocket and so during the time interval \([t, t+\delta t]\), the elected fuel undergoes a change in momentum and the rocket. Let us begin by considering the rocket drawing on the left of the figure. M is. Initial Velocity Of Rocket.
From www.numerade.com
SOLVED Two rockets are flying in the same direction and are side by Initial Velocity Of Rocket Calculate the speed of a rocket in empty space, at. Fowles and cassiday give as example data for a satellite launch a low orbit velocity of about 8 km/s, an initial velocity of about 0.5 km/s from the rotation of the earth near the equator,. Describe the application of conservation of momentum when the mass changes with time, as well. Initial Velocity Of Rocket.
From www.toppr.com
The maximum range of a gun on horizontal surface is 16 km . If g = 10 Initial Velocity Of Rocket Fowles and cassiday give as example data for a satellite launch a low orbit velocity of about 8 km/s, an initial velocity of about 0.5 km/s from the rotation of the earth near the equator,. This is the minimum velocity required by the rocket to escape the gravitational attraction of the earth and escape into the space. It presents the. Initial Velocity Of Rocket.
From www.chegg.com
Solved 74. A Rocket Equation A rocket accelerates by burning Initial Velocity Of Rocket This is the minimum velocity required by the rocket to escape the gravitational attraction of the earth and escape into the space. Before the fuel is ejected, it is traveling at the velocity of the rocket and so during the time interval \([t, t+\delta t]\), the elected fuel undergoes a change in momentum and the rocket. Describe the application of. Initial Velocity Of Rocket.
From www.toppr.com
You are to launch a rocket, from just above the ground, with one of the Initial Velocity Of Rocket Calculate the speed of a rocket in empty space, at. Describe the application of conservation of momentum when the mass changes with time, as well as the velocity. A speed of over 40,250 km per hour, called escape velocity, enables. The kinetic energy of the. M is the instantaneous mass of the rocket, u is the velocity of the rocket,. Initial Velocity Of Rocket.
From www.chegg.com
Solved A model rocket is launched from point A with an Initial Velocity Of Rocket Fowles and cassiday give as example data for a satellite launch a low orbit velocity of about 8 km/s, an initial velocity of about 0.5 km/s from the rotation of the earth near the equator,. Before the fuel is ejected, it is traveling at the velocity of the rocket and so during the time interval \([t, t+\delta t]\), the elected. Initial Velocity Of Rocket.
From www.tessshebaylo.com
Equation For Velocity Tessshebaylo Initial Velocity Of Rocket Calculate the speed of a rocket in empty space, at. Before the fuel is ejected, it is traveling at the velocity of the rocket and so during the time interval \([t, t+\delta t]\), the elected fuel undergoes a change in momentum and the rocket. A speed of over 40,250 km per hour, called escape velocity, enables. The kinetic energy of. Initial Velocity Of Rocket.
From www.gauthmath.com
A rocketry club is launching model rockets. The launching pad is 30 Initial Velocity Of Rocket Before the fuel is ejected, it is traveling at the velocity of the rocket and so during the time interval \([t, t+\delta t]\), the elected fuel undergoes a change in momentum and the rocket. Let us begin by considering the rocket drawing on the left of the figure. Fowles and cassiday give as example data for a satellite launch a. Initial Velocity Of Rocket.
From byjus.com
A rocket is launched with velocity 10 km/s. If radius of earth is R Initial Velocity Of Rocket To enable a rocket to climb into low earth orbit, it is necessary to achieve a speed, in excess of 28,000 km per hour. It presents the overall dependence of the principal performance parameter for a rocket (velocity, ), on the efficiency of the propulsion system (isp), and the structural. The kinetic energy of the. Calculate the speed of a. Initial Velocity Of Rocket.
From quizlet.com
Suppose that a rocket is launched straight up from the surfa Quizlet Initial Velocity Of Rocket Let us begin by considering the rocket drawing on the left of the figure. Fowles and cassiday give as example data for a satellite launch a low orbit velocity of about 8 km/s, an initial velocity of about 0.5 km/s from the rotation of the earth near the equator,. Calculate the speed of a rocket in empty space, at. M. Initial Velocity Of Rocket.
From jeremy-has-pham.blogspot.com
What Is the Velocity of a Rocket JeremyhasPham Initial Velocity Of Rocket M is the instantaneous mass of the rocket, u is the velocity of the rocket, v is the velocity of the exhaust. Calculate the speed of a rocket in empty space, at. Let us begin by considering the rocket drawing on the left of the figure. The kinetic energy of the. A speed of over 40,250 km per hour, called. Initial Velocity Of Rocket.
From www.chegg.com
Solved A model rocket is launched with an initial upward Initial Velocity Of Rocket Calculate the speed of a rocket in empty space, at. Let us begin by considering the rocket drawing on the left of the figure. Describe the application of conservation of momentum when the mass changes with time, as well as the velocity. A speed of over 40,250 km per hour, called escape velocity, enables. It presents the overall dependence of. Initial Velocity Of Rocket.
From phys207-project.physics.wisc.edu
Rocket Acceleration Rocket Propulsion UWMadison Initial Velocity Of Rocket A speed of over 40,250 km per hour, called escape velocity, enables. It presents the overall dependence of the principal performance parameter for a rocket (velocity, ), on the efficiency of the propulsion system (isp), and the structural. Let us begin by considering the rocket drawing on the left of the figure. This is the minimum velocity required by the. Initial Velocity Of Rocket.
From www.atlearner.com
What is Escape Velocity? Gravitation Physics Initial Velocity Of Rocket It presents the overall dependence of the principal performance parameter for a rocket (velocity, ), on the efficiency of the propulsion system (isp), and the structural. Let us begin by considering the rocket drawing on the left of the figure. This is the minimum velocity required by the rocket to escape the gravitational attraction of the earth and escape into. Initial Velocity Of Rocket.
From cameramath.com
1. The initial velocity of a rocket shot straight CameraMath Initial Velocity Of Rocket Fowles and cassiday give as example data for a satellite launch a low orbit velocity of about 8 km/s, an initial velocity of about 0.5 km/s from the rotation of the earth near the equator,. Escape velocity of a rocket: To enable a rocket to climb into low earth orbit, it is necessary to achieve a speed, in excess of. Initial Velocity Of Rocket.
From byjus.com
A 5000 kg rocket is set for vertical firing. The exhaust speed is 800ms Initial Velocity Of Rocket To enable a rocket to climb into low earth orbit, it is necessary to achieve a speed, in excess of 28,000 km per hour. Describe the application of conservation of momentum when the mass changes with time, as well as the velocity. Before the fuel is ejected, it is traveling at the velocity of the rocket and so during the. Initial Velocity Of Rocket.
From www.numerade.com
SOLVEDA rocket is fired upward from ground level with an initial Initial Velocity Of Rocket Calculate the speed of a rocket in empty space, at. Describe the application of conservation of momentum when the mass changes with time, as well as the velocity. This is the minimum velocity required by the rocket to escape the gravitational attraction of the earth and escape into the space. It presents the overall dependence of the principal performance parameter. Initial Velocity Of Rocket.
From www.chegg.com
Solved Two rockets are launched at a fireworks performance. Initial Velocity Of Rocket Calculate the speed of a rocket in empty space, at. This is the minimum velocity required by the rocket to escape the gravitational attraction of the earth and escape into the space. M is the instantaneous mass of the rocket, u is the velocity of the rocket, v is the velocity of the exhaust. Describe the application of conservation of. Initial Velocity Of Rocket.
From www.youtube.com
A model rocket is launched straight upward with an initial speed of 50. Initial Velocity Of Rocket This is the minimum velocity required by the rocket to escape the gravitational attraction of the earth and escape into the space. A speed of over 40,250 km per hour, called escape velocity, enables. M is the instantaneous mass of the rocket, u is the velocity of the rocket, v is the velocity of the exhaust. Before the fuel is. Initial Velocity Of Rocket.
From www.chegg.com
Solved The upward velocity of a rocket can be computed by Initial Velocity Of Rocket The kinetic energy of the. Describe the application of conservation of momentum when the mass changes with time, as well as the velocity. Fowles and cassiday give as example data for a satellite launch a low orbit velocity of about 8 km/s, an initial velocity of about 0.5 km/s from the rotation of the earth near the equator,. M is. Initial Velocity Of Rocket.
From www.tessshebaylo.com
Equation To Find Initial Velocity Tessshebaylo Initial Velocity Of Rocket This is the minimum velocity required by the rocket to escape the gravitational attraction of the earth and escape into the space. Let us begin by considering the rocket drawing on the left of the figure. The kinetic energy of the. Fowles and cassiday give as example data for a satellite launch a low orbit velocity of about 8 km/s,. Initial Velocity Of Rocket.
From www.youtube.com
Ideal Rocket Equation (Calculus To Find Velocity Of Rocket) Assuming No Initial Velocity Of Rocket This is the minimum velocity required by the rocket to escape the gravitational attraction of the earth and escape into the space. Escape velocity of a rocket: The kinetic energy of the. Let us begin by considering the rocket drawing on the left of the figure. It presents the overall dependence of the principal performance parameter for a rocket (velocity,. Initial Velocity Of Rocket.
From www.chegg.com
Solved (Question Total = 20 marks) A rocket is launched Initial Velocity Of Rocket Calculate the speed of a rocket in empty space, at. M is the instantaneous mass of the rocket, u is the velocity of the rocket, v is the velocity of the exhaust. A speed of over 40,250 km per hour, called escape velocity, enables. Escape velocity of a rocket: Let us begin by considering the rocket drawing on the left. Initial Velocity Of Rocket.
From www.numerade.com
SOLVEDTwo rockets are launched at a fireworks display. Rocket A is Initial Velocity Of Rocket To enable a rocket to climb into low earth orbit, it is necessary to achieve a speed, in excess of 28,000 km per hour. A speed of over 40,250 km per hour, called escape velocity, enables. The kinetic energy of the. Fowles and cassiday give as example data for a satellite launch a low orbit velocity of about 8 km/s,. Initial Velocity Of Rocket.
From www.numerade.com
SOLVEDA rocket is launched from the top of an 8 ft platform. Its Initial Velocity Of Rocket Fowles and cassiday give as example data for a satellite launch a low orbit velocity of about 8 km/s, an initial velocity of about 0.5 km/s from the rotation of the earth near the equator,. Describe the application of conservation of momentum when the mass changes with time, as well as the velocity. Escape velocity of a rocket: This is. Initial Velocity Of Rocket.
From www.chegg.com
Solved A projectile is fired with initial velocity of v_0 = Initial Velocity Of Rocket M is the instantaneous mass of the rocket, u is the velocity of the rocket, v is the velocity of the exhaust. This is the minimum velocity required by the rocket to escape the gravitational attraction of the earth and escape into the space. The kinetic energy of the. It presents the overall dependence of the principal performance parameter for. Initial Velocity Of Rocket.