Diabetes And Local Anesthesia . anesthesia providers should have an intimate knowledge of the comorbidities and complications that are. when patients with diabetes require anesthesia, associated comorbidities such as cardiovascular disease, obesity,. the aim of this review is to explore in detail the various potential advantages and disadvantages of regional. an understanding of the pathophysiology of diabetes and of the importance of recent research should improve the peri. the potential advantages of regional anaesthesia for patients with diabetes mellitus. diabetic patients undergoing surgery with neural blockade will usually resume oral intake earlier than after general. modern management of the surgical patient with diabetes focuses on:
from dimensionsofdentalhygiene.com
an understanding of the pathophysiology of diabetes and of the importance of recent research should improve the peri. the aim of this review is to explore in detail the various potential advantages and disadvantages of regional. diabetic patients undergoing surgery with neural blockade will usually resume oral intake earlier than after general. anesthesia providers should have an intimate knowledge of the comorbidities and complications that are. the potential advantages of regional anaesthesia for patients with diabetes mellitus. modern management of the surgical patient with diabetes focuses on: when patients with diabetes require anesthesia, associated comorbidities such as cardiovascular disease, obesity,.
Update on Maximum Dosages for Local Anesthesia Dimensions
Diabetes And Local Anesthesia when patients with diabetes require anesthesia, associated comorbidities such as cardiovascular disease, obesity,. an understanding of the pathophysiology of diabetes and of the importance of recent research should improve the peri. modern management of the surgical patient with diabetes focuses on: anesthesia providers should have an intimate knowledge of the comorbidities and complications that are. diabetic patients undergoing surgery with neural blockade will usually resume oral intake earlier than after general. the aim of this review is to explore in detail the various potential advantages and disadvantages of regional. the potential advantages of regional anaesthesia for patients with diabetes mellitus. when patients with diabetes require anesthesia, associated comorbidities such as cardiovascular disease, obesity,.
From www.slideserve.com
PPT Case Presentation Diabetes Mellitus PowerPoint Presentation Diabetes And Local Anesthesia diabetic patients undergoing surgery with neural blockade will usually resume oral intake earlier than after general. the aim of this review is to explore in detail the various potential advantages and disadvantages of regional. the potential advantages of regional anaesthesia for patients with diabetes mellitus. modern management of the surgical patient with diabetes focuses on: . Diabetes And Local Anesthesia.
From aneskey.com
Local Anesthetics and Adjuvant Analgesics Anesthesia Key Diabetes And Local Anesthesia the potential advantages of regional anaesthesia for patients with diabetes mellitus. an understanding of the pathophysiology of diabetes and of the importance of recent research should improve the peri. when patients with diabetes require anesthesia, associated comorbidities such as cardiovascular disease, obesity,. the aim of this review is to explore in detail the various potential advantages. Diabetes And Local Anesthesia.
From www.medicalnewstoday.com
Local anesthesia Uses, types, and risks Diabetes And Local Anesthesia an understanding of the pathophysiology of diabetes and of the importance of recent research should improve the peri. the aim of this review is to explore in detail the various potential advantages and disadvantages of regional. modern management of the surgical patient with diabetes focuses on: the potential advantages of regional anaesthesia for patients with diabetes. Diabetes And Local Anesthesia.
From www.prepladder.com
Local Anesthesia Types, Administration And Complications Diabetes And Local Anesthesia an understanding of the pathophysiology of diabetes and of the importance of recent research should improve the peri. when patients with diabetes require anesthesia, associated comorbidities such as cardiovascular disease, obesity,. modern management of the surgical patient with diabetes focuses on: the aim of this review is to explore in detail the various potential advantages and. Diabetes And Local Anesthesia.
From www.etsy.com
Local Anesthesia Reference Guide digital Download Local Anesthesia Diabetes And Local Anesthesia the potential advantages of regional anaesthesia for patients with diabetes mellitus. an understanding of the pathophysiology of diabetes and of the importance of recent research should improve the peri. when patients with diabetes require anesthesia, associated comorbidities such as cardiovascular disease, obesity,. anesthesia providers should have an intimate knowledge of the comorbidities and complications that are.. Diabetes And Local Anesthesia.
From dimensionsofdentalhygiene.com
Decision Making and Local Anesthesia Dimensions of Dental Hygiene Diabetes And Local Anesthesia when patients with diabetes require anesthesia, associated comorbidities such as cardiovascular disease, obesity,. anesthesia providers should have an intimate knowledge of the comorbidities and complications that are. the potential advantages of regional anaesthesia for patients with diabetes mellitus. diabetic patients undergoing surgery with neural blockade will usually resume oral intake earlier than after general. modern. Diabetes And Local Anesthesia.
From www.justbabyteeth.com
Calculating local anesthesia dosage — justbabyteeth Diabetes And Local Anesthesia modern management of the surgical patient with diabetes focuses on: when patients with diabetes require anesthesia, associated comorbidities such as cardiovascular disease, obesity,. an understanding of the pathophysiology of diabetes and of the importance of recent research should improve the peri. anesthesia providers should have an intimate knowledge of the comorbidities and complications that are. . Diabetes And Local Anesthesia.
From www.vrogue.co
Understanding The Role Different Types Of Anesthesia vrogue.co Diabetes And Local Anesthesia diabetic patients undergoing surgery with neural blockade will usually resume oral intake earlier than after general. an understanding of the pathophysiology of diabetes and of the importance of recent research should improve the peri. the aim of this review is to explore in detail the various potential advantages and disadvantages of regional. the potential advantages of. Diabetes And Local Anesthesia.
From akardental.com
Local Anesthesia in Turkey Akar Dental Diabetes And Local Anesthesia diabetic patients undergoing surgery with neural blockade will usually resume oral intake earlier than after general. the potential advantages of regional anaesthesia for patients with diabetes mellitus. the aim of this review is to explore in detail the various potential advantages and disadvantages of regional. modern management of the surgical patient with diabetes focuses on: . Diabetes And Local Anesthesia.
From www.slideserve.com
PPT PeriOperative Diabetic Patient Management PowerPoint Diabetes And Local Anesthesia anesthesia providers should have an intimate knowledge of the comorbidities and complications that are. when patients with diabetes require anesthesia, associated comorbidities such as cardiovascular disease, obesity,. the aim of this review is to explore in detail the various potential advantages and disadvantages of regional. modern management of the surgical patient with diabetes focuses on: . Diabetes And Local Anesthesia.
From www.apsf.org
Are Serious Anesthesia Risks of Semaglutide and Other GLP1 Agonists Diabetes And Local Anesthesia anesthesia providers should have an intimate knowledge of the comorbidities and complications that are. the aim of this review is to explore in detail the various potential advantages and disadvantages of regional. diabetic patients undergoing surgery with neural blockade will usually resume oral intake earlier than after general. the potential advantages of regional anaesthesia for patients. Diabetes And Local Anesthesia.
From dentalimplantindia.co.in
Painless Local Anaesthesia Technique All You Need to Know Diabetes And Local Anesthesia anesthesia providers should have an intimate knowledge of the comorbidities and complications that are. modern management of the surgical patient with diabetes focuses on: diabetic patients undergoing surgery with neural blockade will usually resume oral intake earlier than after general. the aim of this review is to explore in detail the various potential advantages and disadvantages. Diabetes And Local Anesthesia.
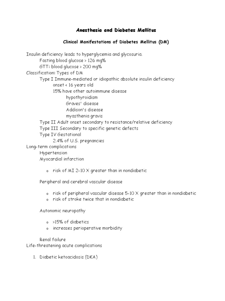
From www.scribd.com
Anesthesia and Diabetes Mellitus Hyperglycemia Diabetes Mellitus Diabetes And Local Anesthesia the potential advantages of regional anaesthesia for patients with diabetes mellitus. anesthesia providers should have an intimate knowledge of the comorbidities and complications that are. diabetic patients undergoing surgery with neural blockade will usually resume oral intake earlier than after general. an understanding of the pathophysiology of diabetes and of the importance of recent research should. Diabetes And Local Anesthesia.
From www.studocu.com
Oral surgery Lec (7) Complications of local anesthesia Diabetes And Local Anesthesia the aim of this review is to explore in detail the various potential advantages and disadvantages of regional. an understanding of the pathophysiology of diabetes and of the importance of recent research should improve the peri. anesthesia providers should have an intimate knowledge of the comorbidities and complications that are. the potential advantages of regional anaesthesia. Diabetes And Local Anesthesia.
From www.mdedge.com
How to minimize the pain of local anesthetic administration MDedge Diabetes And Local Anesthesia anesthesia providers should have an intimate knowledge of the comorbidities and complications that are. an understanding of the pathophysiology of diabetes and of the importance of recent research should improve the peri. when patients with diabetes require anesthesia, associated comorbidities such as cardiovascular disease, obesity,. the potential advantages of regional anaesthesia for patients with diabetes mellitus.. Diabetes And Local Anesthesia.
From www.youtube.com
Anesthetic considerations in patients with diabetes Diabetes And Local Anesthesia diabetic patients undergoing surgery with neural blockade will usually resume oral intake earlier than after general. an understanding of the pathophysiology of diabetes and of the importance of recent research should improve the peri. the potential advantages of regional anaesthesia for patients with diabetes mellitus. when patients with diabetes require anesthesia, associated comorbidities such as cardiovascular. Diabetes And Local Anesthesia.
From basicmedicalkey.com
Local and General Anesthetics Basicmedical Key Diabetes And Local Anesthesia the aim of this review is to explore in detail the various potential advantages and disadvantages of regional. anesthesia providers should have an intimate knowledge of the comorbidities and complications that are. when patients with diabetes require anesthesia, associated comorbidities such as cardiovascular disease, obesity,. an understanding of the pathophysiology of diabetes and of the importance. Diabetes And Local Anesthesia.
From www.scribd.com
Anesthesia DIabetes.pdf Diabetes Management Anesthesia Diabetes And Local Anesthesia diabetic patients undergoing surgery with neural blockade will usually resume oral intake earlier than after general. when patients with diabetes require anesthesia, associated comorbidities such as cardiovascular disease, obesity,. the potential advantages of regional anaesthesia for patients with diabetes mellitus. the aim of this review is to explore in detail the various potential advantages and disadvantages. Diabetes And Local Anesthesia.
From www.youtube.com
Anesthesia for patients with Diabetes Mellitus YouTube Diabetes And Local Anesthesia the potential advantages of regional anaesthesia for patients with diabetes mellitus. modern management of the surgical patient with diabetes focuses on: the aim of this review is to explore in detail the various potential advantages and disadvantages of regional. an understanding of the pathophysiology of diabetes and of the importance of recent research should improve the. Diabetes And Local Anesthesia.
From www.alliedmarketresearch.com
Local Anesthesia Drugs Market Size & Share Report 2031 Diabetes And Local Anesthesia modern management of the surgical patient with diabetes focuses on: an understanding of the pathophysiology of diabetes and of the importance of recent research should improve the peri. anesthesia providers should have an intimate knowledge of the comorbidities and complications that are. when patients with diabetes require anesthesia, associated comorbidities such as cardiovascular disease, obesity,. . Diabetes And Local Anesthesia.
From www.health.harvard.edu
What you should know about anesthesia Harvard Health Diabetes And Local Anesthesia the aim of this review is to explore in detail the various potential advantages and disadvantages of regional. the potential advantages of regional anaesthesia for patients with diabetes mellitus. when patients with diabetes require anesthesia, associated comorbidities such as cardiovascular disease, obesity,. an understanding of the pathophysiology of diabetes and of the importance of recent research. Diabetes And Local Anesthesia.
From www.twinoaksanesthesia.com
Local Anesthetics — CRNA Conferences Twin Oaks Anesthesia Diabetes And Local Anesthesia modern management of the surgical patient with diabetes focuses on: an understanding of the pathophysiology of diabetes and of the importance of recent research should improve the peri. when patients with diabetes require anesthesia, associated comorbidities such as cardiovascular disease, obesity,. the aim of this review is to explore in detail the various potential advantages and. Diabetes And Local Anesthesia.
From www.researchgate.net
(PDF) Perioperative anesthetic management of patients with diabetes Diabetes And Local Anesthesia diabetic patients undergoing surgery with neural blockade will usually resume oral intake earlier than after general. the aim of this review is to explore in detail the various potential advantages and disadvantages of regional. the potential advantages of regional anaesthesia for patients with diabetes mellitus. an understanding of the pathophysiology of diabetes and of the importance. Diabetes And Local Anesthesia.
From hxeukzvnj.blob.core.windows.net
Components Of Local Anesthetic Cartridge at Betty Lavoie blog Diabetes And Local Anesthesia an understanding of the pathophysiology of diabetes and of the importance of recent research should improve the peri. the potential advantages of regional anaesthesia for patients with diabetes mellitus. anesthesia providers should have an intimate knowledge of the comorbidities and complications that are. the aim of this review is to explore in detail the various potential. Diabetes And Local Anesthesia.
From dokumen.tips
(PDF) Anesthetic Management of Patient with Diabetes Mellitus Diabetes And Local Anesthesia the aim of this review is to explore in detail the various potential advantages and disadvantages of regional. modern management of the surgical patient with diabetes focuses on: anesthesia providers should have an intimate knowledge of the comorbidities and complications that are. diabetic patients undergoing surgery with neural blockade will usually resume oral intake earlier than. Diabetes And Local Anesthesia.
From mutalikpharmacology.com
Local anesthetics Mutalik Pharmacology Diabetes And Local Anesthesia anesthesia providers should have an intimate knowledge of the comorbidities and complications that are. the potential advantages of regional anaesthesia for patients with diabetes mellitus. diabetic patients undergoing surgery with neural blockade will usually resume oral intake earlier than after general. when patients with diabetes require anesthesia, associated comorbidities such as cardiovascular disease, obesity,. an. Diabetes And Local Anesthesia.
From www.youtube.com
Anesthesia concerns in Perioperative Diabetes Mellitus ICA ina Diabetes And Local Anesthesia anesthesia providers should have an intimate knowledge of the comorbidities and complications that are. when patients with diabetes require anesthesia, associated comorbidities such as cardiovascular disease, obesity,. an understanding of the pathophysiology of diabetes and of the importance of recent research should improve the peri. modern management of the surgical patient with diabetes focuses on: . Diabetes And Local Anesthesia.
From dimensionsofdentalhygiene.com
Update on Maximum Dosages for Local Anesthesia Dimensions Diabetes And Local Anesthesia when patients with diabetes require anesthesia, associated comorbidities such as cardiovascular disease, obesity,. modern management of the surgical patient with diabetes focuses on: the potential advantages of regional anaesthesia for patients with diabetes mellitus. the aim of this review is to explore in detail the various potential advantages and disadvantages of regional. diabetic patients undergoing. Diabetes And Local Anesthesia.
From hxegbnjvo.blob.core.windows.net
Types Of Local Anesthetics Used In Dentistry at Jim Hill blog Diabetes And Local Anesthesia modern management of the surgical patient with diabetes focuses on: the potential advantages of regional anaesthesia for patients with diabetes mellitus. an understanding of the pathophysiology of diabetes and of the importance of recent research should improve the peri. the aim of this review is to explore in detail the various potential advantages and disadvantages of. Diabetes And Local Anesthesia.
From tyfamilydentistry.com
Local Anesthesia Towler Family Dentistry Diabetes And Local Anesthesia diabetic patients undergoing surgery with neural blockade will usually resume oral intake earlier than after general. modern management of the surgical patient with diabetes focuses on: anesthesia providers should have an intimate knowledge of the comorbidities and complications that are. an understanding of the pathophysiology of diabetes and of the importance of recent research should improve. Diabetes And Local Anesthesia.
From www.researchgate.net
(PDF) Local anesthesia with epinephrine is safe and effective for oral Diabetes And Local Anesthesia anesthesia providers should have an intimate knowledge of the comorbidities and complications that are. an understanding of the pathophysiology of diabetes and of the importance of recent research should improve the peri. the aim of this review is to explore in detail the various potential advantages and disadvantages of regional. modern management of the surgical patient. Diabetes And Local Anesthesia.
From www.nmsahq.org
Types of Anesthesia NM Society of Anesthesiologists Diabetes And Local Anesthesia diabetic patients undergoing surgery with neural blockade will usually resume oral intake earlier than after general. the aim of this review is to explore in detail the various potential advantages and disadvantages of regional. the potential advantages of regional anaesthesia for patients with diabetes mellitus. when patients with diabetes require anesthesia, associated comorbidities such as cardiovascular. Diabetes And Local Anesthesia.
From omsnashville.com
3 Types of Anesthesia Used During Oral Surgery OMSNashville TN Diabetes And Local Anesthesia an understanding of the pathophysiology of diabetes and of the importance of recent research should improve the peri. anesthesia providers should have an intimate knowledge of the comorbidities and complications that are. modern management of the surgical patient with diabetes focuses on: the aim of this review is to explore in detail the various potential advantages. Diabetes And Local Anesthesia.
From www.ualberta.ca
Local Anesthetics Continuing Dental Education School of Dentistry Diabetes And Local Anesthesia the aim of this review is to explore in detail the various potential advantages and disadvantages of regional. an understanding of the pathophysiology of diabetes and of the importance of recent research should improve the peri. the potential advantages of regional anaesthesia for patients with diabetes mellitus. anesthesia providers should have an intimate knowledge of the. Diabetes And Local Anesthesia.
From www.ezmedlearning.com
General Anesthesia vs Sedation Definition, Drugs, Side Effects, List Diabetes And Local Anesthesia modern management of the surgical patient with diabetes focuses on: when patients with diabetes require anesthesia, associated comorbidities such as cardiovascular disease, obesity,. the aim of this review is to explore in detail the various potential advantages and disadvantages of regional. an understanding of the pathophysiology of diabetes and of the importance of recent research should. Diabetes And Local Anesthesia.