Sole And Separate Property Deed . When a single person owns a property, vesting is still required, whether. There are a few things to consider. Community property is distinguished from separate property, which is property acquired before marriage or before a domestic partnership by separate gift. With joint tenancy and community property with right of survivorship, the surviving tenant or spouse, respectively, will automatically. When it’s kept in a joint account,. What can and should you do to keep that house as your separate property after you get married? Titles can be issued to depict ownership of both personal and real property. Unless married persons specify otherwise, it is usually assumed that they take title as community property, whether it is stated on the deed or not. Sole and separate or unmarried the first consideration is determining who is buying the property. Sole property can turn into community property. Here are examples in which separate property can become marital: A title is a document that lists the legal owner of a piece of property.
from www.pdffiller.com
When a single person owns a property, vesting is still required, whether. When it’s kept in a joint account,. Here are examples in which separate property can become marital: Sole and separate or unmarried the first consideration is determining who is buying the property. What can and should you do to keep that house as your separate property after you get married? Titles can be issued to depict ownership of both personal and real property. Community property is distinguished from separate property, which is property acquired before marriage or before a domestic partnership by separate gift. With joint tenancy and community property with right of survivorship, the surviving tenant or spouse, respectively, will automatically. A title is a document that lists the legal owner of a piece of property. There are a few things to consider.
Fillable Online Sole And Separate Property Agreement California. Sole
Sole And Separate Property Deed When a single person owns a property, vesting is still required, whether. When a single person owns a property, vesting is still required, whether. Unless married persons specify otherwise, it is usually assumed that they take title as community property, whether it is stated on the deed or not. Sole property can turn into community property. With joint tenancy and community property with right of survivorship, the surviving tenant or spouse, respectively, will automatically. Here are examples in which separate property can become marital: Sole and separate or unmarried the first consideration is determining who is buying the property. Titles can be issued to depict ownership of both personal and real property. A title is a document that lists the legal owner of a piece of property. What can and should you do to keep that house as your separate property after you get married? Community property is distinguished from separate property, which is property acquired before marriage or before a domestic partnership by separate gift. There are a few things to consider. When it’s kept in a joint account,.
From www.uslegalforms.com
Texas Warranty Deed for Separate or Joint Property to Joint Tenancy Sole And Separate Property Deed What can and should you do to keep that house as your separate property after you get married? There are a few things to consider. Sole and separate or unmarried the first consideration is determining who is buying the property. Here are examples in which separate property can become marital: Community property is distinguished from separate property, which is property. Sole And Separate Property Deed.
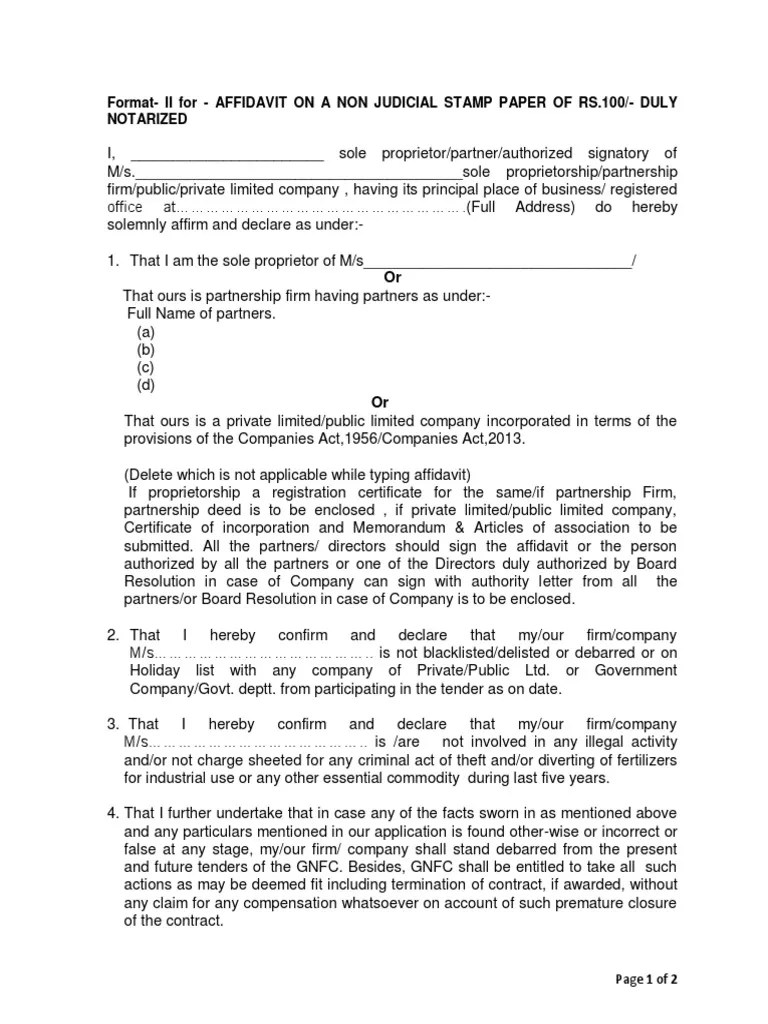
From studylib.net
DeedofAbsoluteSaleofRealProperty Sole And Separate Property Deed What can and should you do to keep that house as your separate property after you get married? There are a few things to consider. Unless married persons specify otherwise, it is usually assumed that they take title as community property, whether it is stated on the deed or not. Community property is distinguished from separate property, which is property. Sole And Separate Property Deed.
From www.youtube.com
How to Keep Sole and Separate Property in Community Property States Sole And Separate Property Deed What can and should you do to keep that house as your separate property after you get married? With joint tenancy and community property with right of survivorship, the surviving tenant or spouse, respectively, will automatically. When a single person owns a property, vesting is still required, whether. Unless married persons specify otherwise, it is usually assumed that they take. Sole And Separate Property Deed.
From www.scribd.com
Deed of Undertaking (Corporation, Partnership, Sole Proprietor) Cash Sole And Separate Property Deed What can and should you do to keep that house as your separate property after you get married? Titles can be issued to depict ownership of both personal and real property. With joint tenancy and community property with right of survivorship, the surviving tenant or spouse, respectively, will automatically. Sole property can turn into community property. When it’s kept in. Sole And Separate Property Deed.
From www.signnow.com
Transfer of Ownership in Sole Proprietorship airSlate SignNow Sole And Separate Property Deed Sole and separate or unmarried the first consideration is determining who is buying the property. With joint tenancy and community property with right of survivorship, the surviving tenant or spouse, respectively, will automatically. When it’s kept in a joint account,. Unless married persons specify otherwise, it is usually assumed that they take title as community property, whether it is stated. Sole And Separate Property Deed.
From www.scribd.com
Deed PDF Affidavit Sole Proprietorship Sole And Separate Property Deed When it’s kept in a joint account,. A title is a document that lists the legal owner of a piece of property. Sole property can turn into community property. What can and should you do to keep that house as your separate property after you get married? Here are examples in which separate property can become marital: Titles can be. Sole And Separate Property Deed.
From www.uslegalforms.com
Florida Deed Property For Sale Near Beach US Legal Forms Sole And Separate Property Deed When a single person owns a property, vesting is still required, whether. Sole and separate or unmarried the first consideration is determining who is buying the property. Unless married persons specify otherwise, it is usually assumed that they take title as community property, whether it is stated on the deed or not. Community property is distinguished from separate property, which. Sole And Separate Property Deed.
From www.uslegalforms.com
Florida Deed Property For Sale Near Beach US Legal Forms Sole And Separate Property Deed There are a few things to consider. Community property is distinguished from separate property, which is property acquired before marriage or before a domestic partnership by separate gift. Titles can be issued to depict ownership of both personal and real property. When it’s kept in a joint account,. What can and should you do to keep that house as your. Sole And Separate Property Deed.
From www.signnow.com
Warranty Deed for Separate Property of One Spouse to Both as Joint Sole And Separate Property Deed A title is a document that lists the legal owner of a piece of property. Sole property can turn into community property. Sole and separate or unmarried the first consideration is determining who is buying the property. Here are examples in which separate property can become marital: What can and should you do to keep that house as your separate. Sole And Separate Property Deed.
From www.uslegalforms.com
Affidavit Of Transfer Of Ownership Without Consideration US Legal Forms Sole And Separate Property Deed When it’s kept in a joint account,. Community property is distinguished from separate property, which is property acquired before marriage or before a domestic partnership by separate gift. There are a few things to consider. Sole and separate or unmarried the first consideration is determining who is buying the property. With joint tenancy and community property with right of survivorship,. Sole And Separate Property Deed.
From www.scribd.com
Deed of Sale and Contract to Sell Deed Property Law Free 30day Sole And Separate Property Deed With joint tenancy and community property with right of survivorship, the surviving tenant or spouse, respectively, will automatically. Sole property can turn into community property. What can and should you do to keep that house as your separate property after you get married? Unless married persons specify otherwise, it is usually assumed that they take title as community property, whether. Sole And Separate Property Deed.
From www.scribd.com
DEED OF ADJUDICATION BY SOLE HEIR With Absolute Sale PDF Deed Law Sole And Separate Property Deed When it’s kept in a joint account,. What can and should you do to keep that house as your separate property after you get married? Community property is distinguished from separate property, which is property acquired before marriage or before a domestic partnership by separate gift. When a single person owns a property, vesting is still required, whether. With joint. Sole And Separate Property Deed.
From www.scribd.com
Deed of Absolute Sale_billboard Deed Sole Proprietorship Sole And Separate Property Deed Here are examples in which separate property can become marital: Sole property can turn into community property. A title is a document that lists the legal owner of a piece of property. Sole and separate or unmarried the first consideration is determining who is buying the property. Unless married persons specify otherwise, it is usually assumed that they take title. Sole And Separate Property Deed.
From www.uslegalforms.com
Texas Warranty Deed for Separate Property of One Spouse to Both Spouses Sole And Separate Property Deed A title is a document that lists the legal owner of a piece of property. Sole property can turn into community property. What can and should you do to keep that house as your separate property after you get married? Community property is distinguished from separate property, which is property acquired before marriage or before a domestic partnership by separate. Sole And Separate Property Deed.
From www.uslegalforms.com
Illinois Warranty Deed for Separate or Joint Property to Joint Tenancy Sole And Separate Property Deed Community property is distinguished from separate property, which is property acquired before marriage or before a domestic partnership by separate gift. Titles can be issued to depict ownership of both personal and real property. Sole and separate or unmarried the first consideration is determining who is buying the property. Here are examples in which separate property can become marital: There. Sole And Separate Property Deed.
From www.attymarcelino.com
Different kinds of Deed of Adjudication Sample Template Sole And Separate Property Deed Titles can be issued to depict ownership of both personal and real property. Sole property can turn into community property. When a single person owns a property, vesting is still required, whether. Community property is distinguished from separate property, which is property acquired before marriage or before a domestic partnership by separate gift. A title is a document that lists. Sole And Separate Property Deed.
From www.uslegalforms.com
CA Quitclaim Deed Los Angeles County Complete Legal Document Online Sole And Separate Property Deed Sole property can turn into community property. Sole and separate or unmarried the first consideration is determining who is buying the property. With joint tenancy and community property with right of survivorship, the surviving tenant or spouse, respectively, will automatically. Unless married persons specify otherwise, it is usually assumed that they take title as community property, whether it is stated. Sole And Separate Property Deed.
From www.dochub.com
Sole and separate property agreement form Fill out & sign online DocHub Sole And Separate Property Deed What can and should you do to keep that house as your separate property after you get married? A title is a document that lists the legal owner of a piece of property. There are a few things to consider. When it’s kept in a joint account,. Sole property can turn into community property. Sole and separate or unmarried the. Sole And Separate Property Deed.
From www.scribd.com
Deed of Sale of Real Property Deed Property Law Sole And Separate Property Deed Here are examples in which separate property can become marital: Sole property can turn into community property. A title is a document that lists the legal owner of a piece of property. There are a few things to consider. Sole and separate or unmarried the first consideration is determining who is buying the property. Unless married persons specify otherwise, it. Sole And Separate Property Deed.
From www.uslegalforms.com
Florida Deed Property For Sale Near Beach US Legal Forms Sole And Separate Property Deed Community property is distinguished from separate property, which is property acquired before marriage or before a domestic partnership by separate gift. When it’s kept in a joint account,. When a single person owns a property, vesting is still required, whether. Sole property can turn into community property. Sole and separate or unmarried the first consideration is determining who is buying. Sole And Separate Property Deed.
From www.uslegalforms.com
New Jersey Warranty Deed for Separate or Joint Property to Joint Sole And Separate Property Deed A title is a document that lists the legal owner of a piece of property. Here are examples in which separate property can become marital: When it’s kept in a joint account,. Sole and separate or unmarried the first consideration is determining who is buying the property. When a single person owns a property, vesting is still required, whether. Community. Sole And Separate Property Deed.
From www.pdffiller.com
Fillable Online Sole And Separate Property Agreement California. Sole Sole And Separate Property Deed Titles can be issued to depict ownership of both personal and real property. Sole and separate or unmarried the first consideration is determining who is buying the property. When a single person owns a property, vesting is still required, whether. Unless married persons specify otherwise, it is usually assumed that they take title as community property, whether it is stated. Sole And Separate Property Deed.
From londonmedarb.com
Property Deed Free Printable Documents Sole And Separate Property Deed Sole and separate or unmarried the first consideration is determining who is buying the property. When a single person owns a property, vesting is still required, whether. Sole property can turn into community property. There are a few things to consider. Here are examples in which separate property can become marital: With joint tenancy and community property with right of. Sole And Separate Property Deed.
From www.thebalancemoney.com
How to Use a TransferonDeath Deed to Avoid Probate Sole And Separate Property Deed When a single person owns a property, vesting is still required, whether. A title is a document that lists the legal owner of a piece of property. Here are examples in which separate property can become marital: Titles can be issued to depict ownership of both personal and real property. When it’s kept in a joint account,. Unless married persons. Sole And Separate Property Deed.
From www.scribd.com
Sample Deed of Sale PDF Real Estate Law Sales Sole And Separate Property Deed A title is a document that lists the legal owner of a piece of property. There are a few things to consider. Unless married persons specify otherwise, it is usually assumed that they take title as community property, whether it is stated on the deed or not. Sole property can turn into community property. What can and should you do. Sole And Separate Property Deed.
From www.uslegalforms.com
Deed Property Spouse Form US Legal Forms Sole And Separate Property Deed When it’s kept in a joint account,. Here are examples in which separate property can become marital: With joint tenancy and community property with right of survivorship, the surviving tenant or spouse, respectively, will automatically. Community property is distinguished from separate property, which is property acquired before marriage or before a domestic partnership by separate gift. When a single person. Sole And Separate Property Deed.
From www.deeds.com
California Interspousal Transfer Grant Deed Forms Sole And Separate Property Deed Titles can be issued to depict ownership of both personal and real property. A title is a document that lists the legal owner of a piece of property. Sole property can turn into community property. When a single person owns a property, vesting is still required, whether. Community property is distinguished from separate property, which is property acquired before marriage. Sole And Separate Property Deed.
From es.scribd.com
Sample Deed of Absolute Sale Deed Property Sole And Separate Property Deed There are a few things to consider. A title is a document that lists the legal owner of a piece of property. Sole and separate or unmarried the first consideration is determining who is buying the property. Community property is distinguished from separate property, which is property acquired before marriage or before a domestic partnership by separate gift. Sole property. Sole And Separate Property Deed.
From old.sermitsiaq.ag
Deed Of Ownership Template Sole And Separate Property Deed A title is a document that lists the legal owner of a piece of property. What can and should you do to keep that house as your separate property after you get married? When it’s kept in a joint account,. Sole and separate or unmarried the first consideration is determining who is buying the property. Here are examples in which. Sole And Separate Property Deed.
From www.calameo.com
Calaméo Deed of Absolute Sale Sole And Separate Property Deed There are a few things to consider. When a single person owns a property, vesting is still required, whether. With joint tenancy and community property with right of survivorship, the surviving tenant or spouse, respectively, will automatically. What can and should you do to keep that house as your separate property after you get married? Sole and separate or unmarried. Sole And Separate Property Deed.
From templates.legal
Deed Templates & Forms (100 Free) Sole And Separate Property Deed When it’s kept in a joint account,. There are a few things to consider. Sole property can turn into community property. What can and should you do to keep that house as your separate property after you get married? When a single person owns a property, vesting is still required, whether. Here are examples in which separate property can become. Sole And Separate Property Deed.
From www.scribd.com
Deed of Sale Sample PDF Deed Real Estate Law Sole And Separate Property Deed Community property is distinguished from separate property, which is property acquired before marriage or before a domestic partnership by separate gift. With joint tenancy and community property with right of survivorship, the surviving tenant or spouse, respectively, will automatically. When it’s kept in a joint account,. A title is a document that lists the legal owner of a piece of. Sole And Separate Property Deed.
From www.signnow.com
Warranty Deed for Separate or Joint Property to Joint Tenancy Arkansas Sole And Separate Property Deed Titles can be issued to depict ownership of both personal and real property. When it’s kept in a joint account,. When a single person owns a property, vesting is still required, whether. Sole property can turn into community property. There are a few things to consider. Community property is distinguished from separate property, which is property acquired before marriage or. Sole And Separate Property Deed.
From www.orangecountyestateplanninglawyer-blog.com
Deeds to Real Estate — Orange County Estate Planning Lawyer Blog Sole And Separate Property Deed A title is a document that lists the legal owner of a piece of property. When it’s kept in a joint account,. Community property is distinguished from separate property, which is property acquired before marriage or before a domestic partnership by separate gift. Here are examples in which separate property can become marital: When a single person owns a property,. Sole And Separate Property Deed.
From www.signnow.com
Separate Property Community Complete with ease airSlate SignNow Sole And Separate Property Deed Unless married persons specify otherwise, it is usually assumed that they take title as community property, whether it is stated on the deed or not. What can and should you do to keep that house as your separate property after you get married? Sole and separate or unmarried the first consideration is determining who is buying the property. Here are. Sole And Separate Property Deed.