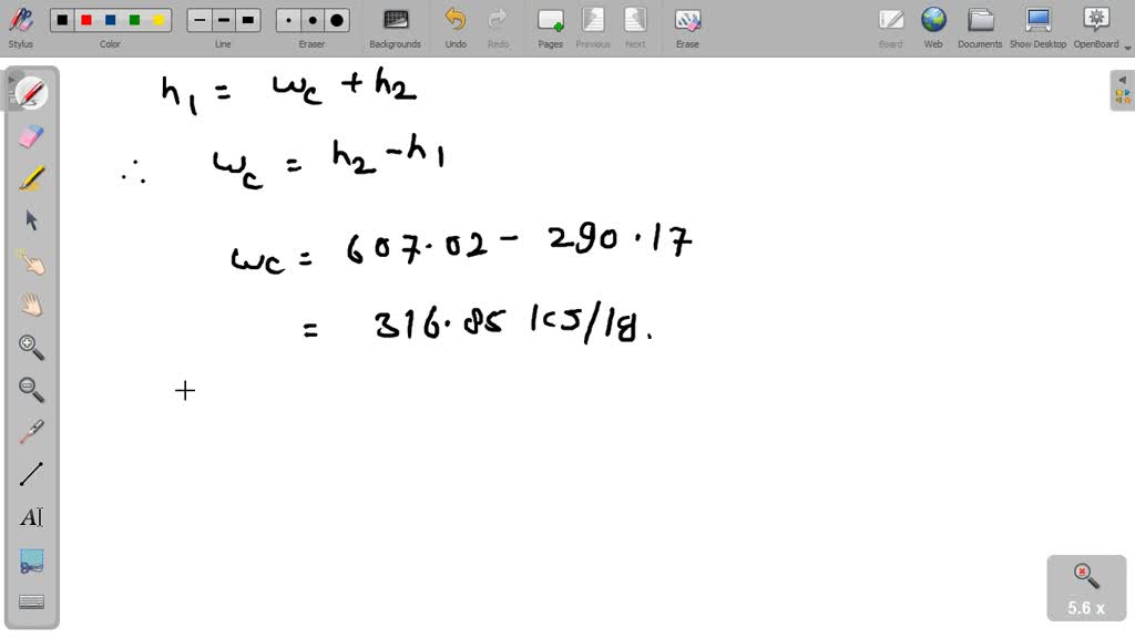
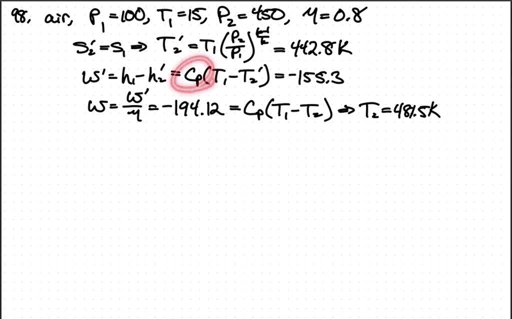
An Air Compressor Takes In Air At 100 Kpa . Air compressor q = 0 continuity eq.: An air compressor takes in air at 100 kpa and 27â°c, having a volume of 1.5 m^3/kg, and compresses it to 450 kpa. An air compressor receives atmospheric at t_o = 17^\circ c,\ 100\ kpa, and compresses it up to 1400 kpa. An air compressor takes in air at $100 \mathrm{kpa}$ and $17^{\circ} \mathrm{c},$ and delivers it at $1 \mathrm{mpa}$ and $600 \mathrm{k}$ to a constant. 4/5 (51k) 1m+ visitors in the past month Here’s the best way to solve it. The compressor has an isentropic. [latex]dot{ m }_2=dot{ m }_1[/latex] energy eq.6.13: Acheter en ligneprix des marchands [latex]h _1+ w _{ c }= h _2[/latex] table a.7:
from www.chegg.com
An air compressor receives atmospheric at t_o = 17^\circ c,\ 100\ kpa, and compresses it up to 1400 kpa. The compressor has an isentropic. 1m+ visitors in the past month An air compressor takes in air at $100 \mathrm{kpa}$ and $17^{\circ} \mathrm{c},$ and delivers it at $1 \mathrm{mpa}$ and $600 \mathrm{k}$ to a constant. 4/5 (51k) An air compressor takes in air at 100 kpa and 27â°c, having a volume of 1.5 m^3/kg, and compresses it to 450 kpa. Air compressor q = 0 continuity eq.: [latex]dot{ m }_2=dot{ m }_1[/latex] energy eq.6.13: Here’s the best way to solve it. Acheter en ligneprix des marchands
Solved A.1 Consider an air compressor that receives ambient
An Air Compressor Takes In Air At 100 Kpa Air compressor q = 0 continuity eq.: Acheter en ligneprix des marchands 4/5 (51k) An air compressor receives atmospheric at t_o = 17^\circ c,\ 100\ kpa, and compresses it up to 1400 kpa. Here’s the best way to solve it. [latex]h _1+ w _{ c }= h _2[/latex] table a.7: Air compressor q = 0 continuity eq.: 1m+ visitors in the past month An air compressor takes in air at 100 kpa and 27â°c, having a volume of 1.5 m^3/kg, and compresses it to 450 kpa. An air compressor takes in air at $100 \mathrm{kpa}$ and $17^{\circ} \mathrm{c},$ and delivers it at $1 \mathrm{mpa}$ and $600 \mathrm{k}$ to a constant. The compressor has an isentropic. [latex]dot{ m }_2=dot{ m }_1[/latex] energy eq.6.13:
From www.chegg.com
Solved Air enters the compressor of a gas turbine at 100 kPa An Air Compressor Takes In Air At 100 Kpa [latex]h _1+ w _{ c }= h _2[/latex] table a.7: Air compressor q = 0 continuity eq.: An air compressor takes in air at $100 \mathrm{kpa}$ and $17^{\circ} \mathrm{c},$ and delivers it at $1 \mathrm{mpa}$ and $600 \mathrm{k}$ to a constant. 4/5 (51k) 1m+ visitors in the past month An air compressor receives atmospheric at t_o = 17^\circ c,\. An Air Compressor Takes In Air At 100 Kpa.
From www.studocu.com
Pdfcoffee Lecture notes 1500 AIR COMPRESSOR 1). An air compressor An Air Compressor Takes In Air At 100 Kpa [latex]dot{ m }_2=dot{ m }_1[/latex] energy eq.6.13: Air compressor q = 0 continuity eq.: 4/5 (51k) An air compressor takes in air at $100 \mathrm{kpa}$ and $17^{\circ} \mathrm{c},$ and delivers it at $1 \mathrm{mpa}$ and $600 \mathrm{k}$ to a constant. Here’s the best way to solve it. An air compressor receives atmospheric at t_o = 17^\circ c,\ 100\ kpa,. An Air Compressor Takes In Air At 100 Kpa.
From www.numerade.com
A 200m^3 rigid tank initially contains atmospheric air at 100 kPa and An Air Compressor Takes In Air At 100 Kpa An air compressor takes in air at 100 kpa and 27â°c, having a volume of 1.5 m^3/kg, and compresses it to 450 kpa. Air compressor q = 0 continuity eq.: [latex]dot{ m }_2=dot{ m }_1[/latex] energy eq.6.13: Here’s the best way to solve it. [latex]h _1+ w _{ c }= h _2[/latex] table a.7: 4/5 (51k) An air compressor. An Air Compressor Takes In Air At 100 Kpa.
From www.chegg.com
Solved An adiabatic air compressor is to be powered by a An Air Compressor Takes In Air At 100 Kpa 1m+ visitors in the past month An air compressor takes in air at $100 \mathrm{kpa}$ and $17^{\circ} \mathrm{c},$ and delivers it at $1 \mathrm{mpa}$ and $600 \mathrm{k}$ to a constant. Here’s the best way to solve it. Air compressor q = 0 continuity eq.: The compressor has an isentropic. 4/5 (51k) An air compressor takes in air at 100. An Air Compressor Takes In Air At 100 Kpa.
From www.numerade.com
Air at 4°C flows steadily through the pipe shown in the figure. If P1 An Air Compressor Takes In Air At 100 Kpa Air compressor q = 0 continuity eq.: The compressor has an isentropic. [latex]h _1+ w _{ c }= h _2[/latex] table a.7: [latex]dot{ m }_2=dot{ m }_1[/latex] energy eq.6.13: An air compressor takes in air at 100 kpa and 27â°c, having a volume of 1.5 m^3/kg, and compresses it to 450 kpa. Here’s the best way to solve it. 1m+. An Air Compressor Takes In Air At 100 Kpa.
From www.numerade.com
SOLVED An air compressor takes in air at 100 kPa, 17°C and delivers An Air Compressor Takes In Air At 100 Kpa [latex]dot{ m }_2=dot{ m }_1[/latex] energy eq.6.13: An air compressor takes in air at 100 kpa and 27â°c, having a volume of 1.5 m^3/kg, and compresses it to 450 kpa. Air compressor q = 0 continuity eq.: Here’s the best way to solve it. An air compressor takes in air at $100 \mathrm{kpa}$ and $17^{\circ} \mathrm{c},$ and delivers it at. An Air Compressor Takes In Air At 100 Kpa.
From present5.com
Thermodynamics An Engineering Approach Yunus A Cengel Michael An Air Compressor Takes In Air At 100 Kpa Acheter en ligneprix des marchands Here’s the best way to solve it. 4/5 (51k) Air compressor q = 0 continuity eq.: An air compressor takes in air at $100 \mathrm{kpa}$ and $17^{\circ} \mathrm{c},$ and delivers it at $1 \mathrm{mpa}$ and $600 \mathrm{k}$ to a constant. The compressor has an isentropic. An air compressor receives atmospheric at t_o = 17^\circ. An Air Compressor Takes In Air At 100 Kpa.
From www.chegg.com
Solved Compressing Air by a Compressor Air at 100 kPa and An Air Compressor Takes In Air At 100 Kpa 1m+ visitors in the past month [latex]h _1+ w _{ c }= h _2[/latex] table a.7: Here’s the best way to solve it. Acheter en ligneprix des marchands An air compressor receives atmospheric at t_o = 17^\circ c,\ 100\ kpa, and compresses it up to 1400 kpa. An air compressor takes in air at 100 kpa and 27â°c, having a. An Air Compressor Takes In Air At 100 Kpa.
From www.chegg.com
Solved Air enters the compressor of a cold airstandard An Air Compressor Takes In Air At 100 Kpa Acheter en ligneprix des marchands Air compressor q = 0 continuity eq.: An air compressor receives atmospheric at t_o = 17^\circ c,\ 100\ kpa, and compresses it up to 1400 kpa. 1m+ visitors in the past month [latex]h _1+ w _{ c }= h _2[/latex] table a.7: The compressor has an isentropic. 4/5 (51k) [latex]dot{ m }_2=dot{ m }_1[/latex]. An Air Compressor Takes In Air At 100 Kpa.
From www.chegg.com
Solved Part 13 An air compressor takes in 2 kg/s air at 100 An Air Compressor Takes In Air At 100 Kpa Air compressor q = 0 continuity eq.: 1m+ visitors in the past month Here’s the best way to solve it. An air compressor receives atmospheric at t_o = 17^\circ c,\ 100\ kpa, and compresses it up to 1400 kpa. 4/5 (51k) An air compressor takes in air at $100 \mathrm{kpa}$ and $17^{\circ} \mathrm{c},$ and delivers it at $1 \mathrm{mpa}$. An Air Compressor Takes In Air At 100 Kpa.
From www.chegg.com
Solved (1.) A twostage air compressor used in a gasturbine An Air Compressor Takes In Air At 100 Kpa Air compressor q = 0 continuity eq.: [latex]dot{ m }_2=dot{ m }_1[/latex] energy eq.6.13: An air compressor takes in air at 100 kpa and 27â°c, having a volume of 1.5 m^3/kg, and compresses it to 450 kpa. 1m+ visitors in the past month An air compressor takes in air at $100 \mathrm{kpa}$ and $17^{\circ} \mathrm{c},$ and delivers it at $1. An Air Compressor Takes In Air At 100 Kpa.
From www.numerade.com
SOLVED Texts My answers don't match the options, help. Consider an An Air Compressor Takes In Air At 100 Kpa Acheter en ligneprix des marchands Here’s the best way to solve it. An air compressor receives atmospheric at t_o = 17^\circ c,\ 100\ kpa, and compresses it up to 1400 kpa. [latex]h _1+ w _{ c }= h _2[/latex] table a.7: Air compressor q = 0 continuity eq.: An air compressor takes in air at 100 kpa and 27â°c, having. An Air Compressor Takes In Air At 100 Kpa.
From www.chegg.com
Solved An Adiabatic Air Compressor Compresses 10 L/s Of A... An Air Compressor Takes In Air At 100 Kpa [latex]h _1+ w _{ c }= h _2[/latex] table a.7: Here’s the best way to solve it. 4/5 (51k) An air compressor takes in air at $100 \mathrm{kpa}$ and $17^{\circ} \mathrm{c},$ and delivers it at $1 \mathrm{mpa}$ and $600 \mathrm{k}$ to a constant. The compressor has an isentropic. An air compressor receives atmospheric at t_o = 17^\circ c,\ 100\. An Air Compressor Takes In Air At 100 Kpa.
From theautovibes.com
How Does An Air Compressor Work? 3 Working Phases Explained An Air Compressor Takes In Air At 100 Kpa Acheter en ligneprix des marchands [latex]dot{ m }_2=dot{ m }_1[/latex] energy eq.6.13: 4/5 (51k) [latex]h _1+ w _{ c }= h _2[/latex] table a.7: An air compressor takes in air at 100 kpa and 27â°c, having a volume of 1.5 m^3/kg, and compresses it to 450 kpa. 1m+ visitors in the past month Air compressor q = 0 continuity. An Air Compressor Takes In Air At 100 Kpa.
From www.chegg.com
Solved 3) An adiabatic air compressor compresses 12 litres An Air Compressor Takes In Air At 100 Kpa An air compressor takes in air at 100 kpa and 27â°c, having a volume of 1.5 m^3/kg, and compresses it to 450 kpa. Acheter en ligneprix des marchands An air compressor receives atmospheric at t_o = 17^\circ c,\ 100\ kpa, and compresses it up to 1400 kpa. [latex]dot{ m }_2=dot{ m }_1[/latex] energy eq.6.13: An air compressor takes in air. An Air Compressor Takes In Air At 100 Kpa.
From www.chegg.com
Solved Q3) An air compressor takes in air at 100 kPa , 17C An Air Compressor Takes In Air At 100 Kpa An air compressor takes in air at 100 kpa and 27â°c, having a volume of 1.5 m^3/kg, and compresses it to 450 kpa. Here’s the best way to solve it. 4/5 (51k) [latex]dot{ m }_2=dot{ m }_1[/latex] energy eq.6.13: [latex]h _1+ w _{ c }= h _2[/latex] table a.7: An air compressor takes in air at $100 \mathrm{kpa}$ and. An Air Compressor Takes In Air At 100 Kpa.
From www.numerade.com
SOLVED Text Air at 100 kPa pressure enters the compressor with a flow An Air Compressor Takes In Air At 100 Kpa Acheter en ligneprix des marchands An air compressor takes in air at 100 kpa and 27â°c, having a volume of 1.5 m^3/kg, and compresses it to 450 kpa. An air compressor receives atmospheric at t_o = 17^\circ c,\ 100\ kpa, and compresses it up to 1400 kpa. [latex]h _1+ w _{ c }= h _2[/latex] table a.7: 1m+ visitors in. An Air Compressor Takes In Air At 100 Kpa.
From www.numerade.com
SOLVEDA centrifugal compressor takes in ambient air at 100 kPa and 15 An Air Compressor Takes In Air At 100 Kpa 1m+ visitors in the past month 4/5 (51k) Acheter en ligneprix des marchands An air compressor takes in air at 100 kpa and 27â°c, having a volume of 1.5 m^3/kg, and compresses it to 450 kpa. Here’s the best way to solve it. Air compressor q = 0 continuity eq.: The compressor has an isentropic. [latex]dot{ m }_2=dot{ m. An Air Compressor Takes In Air At 100 Kpa.
From www.chegg.com
Solved A 2m3 rigid tank initially contains air at 100 kPa An Air Compressor Takes In Air At 100 Kpa Acheter en ligneprix des marchands 4/5 (51k) An air compressor takes in air at $100 \mathrm{kpa}$ and $17^{\circ} \mathrm{c},$ and delivers it at $1 \mathrm{mpa}$ and $600 \mathrm{k}$ to a constant. Here’s the best way to solve it. [latex]dot{ m }_2=dot{ m }_1[/latex] energy eq.6.13: An air compressor takes in air at 100 kpa and 27â°c, having a volume. An Air Compressor Takes In Air At 100 Kpa.
From www.numerade.com
SOLVED Problem 4 [20 Points] Cold Air Standard Analysis of a Brayton An Air Compressor Takes In Air At 100 Kpa Here’s the best way to solve it. The compressor has an isentropic. An air compressor takes in air at 100 kpa and 27â°c, having a volume of 1.5 m^3/kg, and compresses it to 450 kpa. Acheter en ligneprix des marchands [latex]h _1+ w _{ c }= h _2[/latex] table a.7: 4/5 (51k) An air compressor takes in air at. An Air Compressor Takes In Air At 100 Kpa.
From www.numerade.com
Air is compressed steadily by a 5kW compressor from 100 kPa and 17°C An Air Compressor Takes In Air At 100 Kpa [latex]dot{ m }_2=dot{ m }_1[/latex] energy eq.6.13: An air compressor takes in air at 100 kpa and 27â°c, having a volume of 1.5 m^3/kg, and compresses it to 450 kpa. 1m+ visitors in the past month Air compressor q = 0 continuity eq.: [latex]h _1+ w _{ c }= h _2[/latex] table a.7: 4/5 (51k) Here’s the best way. An Air Compressor Takes In Air At 100 Kpa.
From www.chegg.com
Solved Question 4 Air at 100 kPa and 280 K is compressed An Air Compressor Takes In Air At 100 Kpa The compressor has an isentropic. An air compressor takes in air at $100 \mathrm{kpa}$ and $17^{\circ} \mathrm{c},$ and delivers it at $1 \mathrm{mpa}$ and $600 \mathrm{k}$ to a constant. An air compressor takes in air at 100 kpa and 27â°c, having a volume of 1.5 m^3/kg, and compresses it to 450 kpa. [latex]h _1+ w _{ c }= h _2[/latex]. An Air Compressor Takes In Air At 100 Kpa.
From www.chegg.com
Solved An air compressor takes in air at 100 kPa and 27°C An Air Compressor Takes In Air At 100 Kpa An air compressor takes in air at 100 kpa and 27â°c, having a volume of 1.5 m^3/kg, and compresses it to 450 kpa. Air compressor q = 0 continuity eq.: [latex]h _1+ w _{ c }= h _2[/latex] table a.7: 4/5 (51k) Acheter en ligneprix des marchands An air compressor receives atmospheric at t_o = 17^\circ c,\ 100\ kpa,. An Air Compressor Takes In Air At 100 Kpa.
From www.chegg.com
Solved A.1 Consider an air compressor that receives ambient An Air Compressor Takes In Air At 100 Kpa [latex]h _1+ w _{ c }= h _2[/latex] table a.7: Here’s the best way to solve it. [latex]dot{ m }_2=dot{ m }_1[/latex] energy eq.6.13: 4/5 (51k) The compressor has an isentropic. Air compressor q = 0 continuity eq.: Acheter en ligneprix des marchands 1m+ visitors in the past month An air compressor takes in air at $100 \mathrm{kpa}$ and. An Air Compressor Takes In Air At 100 Kpa.
From www.chegg.com
Solved Air enters a gas turbine with two stages of An Air Compressor Takes In Air At 100 Kpa [latex]h _1+ w _{ c }= h _2[/latex] table a.7: Air compressor q = 0 continuity eq.: An air compressor takes in air at $100 \mathrm{kpa}$ and $17^{\circ} \mathrm{c},$ and delivers it at $1 \mathrm{mpa}$ and $600 \mathrm{k}$ to a constant. The compressor has an isentropic. [latex]dot{ m }_2=dot{ m }_1[/latex] energy eq.6.13: Here’s the best way to solve it.. An Air Compressor Takes In Air At 100 Kpa.
From www.numerade.com
A single acting air compressor has a volumetric efficiency of 89 An Air Compressor Takes In Air At 100 Kpa An air compressor receives atmospheric at t_o = 17^\circ c,\ 100\ kpa, and compresses it up to 1400 kpa. 1m+ visitors in the past month An air compressor takes in air at 100 kpa and 27â°c, having a volume of 1.5 m^3/kg, and compresses it to 450 kpa. An air compressor takes in air at $100 \mathrm{kpa}$ and $17^{\circ} \mathrm{c},$. An Air Compressor Takes In Air At 100 Kpa.
From www.chegg.com
Solved An air compressor takes air at 100 kPa and discharges An Air Compressor Takes In Air At 100 Kpa 4/5 (51k) Acheter en ligneprix des marchands An air compressor takes in air at $100 \mathrm{kpa}$ and $17^{\circ} \mathrm{c},$ and delivers it at $1 \mathrm{mpa}$ and $600 \mathrm{k}$ to a constant. The compressor has an isentropic. Here’s the best way to solve it. An air compressor takes in air at 100 kpa and 27â°c, having a volume of 1.5. An Air Compressor Takes In Air At 100 Kpa.
From answerhappy.com
990 A gasturbine power plant operates on the simple Brayton cycle An Air Compressor Takes In Air At 100 Kpa An air compressor takes in air at 100 kpa and 27â°c, having a volume of 1.5 m^3/kg, and compresses it to 450 kpa. An air compressor receives atmospheric at t_o = 17^\circ c,\ 100\ kpa, and compresses it up to 1400 kpa. [latex]dot{ m }_2=dot{ m }_1[/latex] energy eq.6.13: 1m+ visitors in the past month Acheter en ligneprix des marchands. An Air Compressor Takes In Air At 100 Kpa.
From www.chegg.com
Solved An air compressor takes in air at 100 kPa, 27 degree An Air Compressor Takes In Air At 100 Kpa [latex]dot{ m }_2=dot{ m }_1[/latex] energy eq.6.13: Air compressor q = 0 continuity eq.: An air compressor takes in air at 100 kpa and 27â°c, having a volume of 1.5 m^3/kg, and compresses it to 450 kpa. An air compressor receives atmospheric at t_o = 17^\circ c,\ 100\ kpa, and compresses it up to 1400 kpa. 4/5 (51k) [latex]h. An Air Compressor Takes In Air At 100 Kpa.
From www.numerade.com
SOLVEDProblem 12 Air enters compressor steadily at the ambient An Air Compressor Takes In Air At 100 Kpa Air compressor q = 0 continuity eq.: An air compressor receives atmospheric at t_o = 17^\circ c,\ 100\ kpa, and compresses it up to 1400 kpa. Here’s the best way to solve it. The compressor has an isentropic. [latex]dot{ m }_2=dot{ m }_1[/latex] energy eq.6.13: 4/5 (51k) 1m+ visitors in the past month Acheter en ligneprix des marchands An. An Air Compressor Takes In Air At 100 Kpa.
From www.chegg.com
Solved An adiabatic air compressor is to be powered by a An Air Compressor Takes In Air At 100 Kpa The compressor has an isentropic. [latex]dot{ m }_2=dot{ m }_1[/latex] energy eq.6.13: An air compressor takes in air at $100 \mathrm{kpa}$ and $17^{\circ} \mathrm{c},$ and delivers it at $1 \mathrm{mpa}$ and $600 \mathrm{k}$ to a constant. [latex]h _1+ w _{ c }= h _2[/latex] table a.7: Acheter en ligneprix des marchands An air compressor receives atmospheric at t_o = 17^\circ. An Air Compressor Takes In Air At 100 Kpa.
From www.numerade.com
SOLVED 984 A gasturbine power plant operates on the simple Brayton An Air Compressor Takes In Air At 100 Kpa Acheter en ligneprix des marchands An air compressor takes in air at 100 kpa and 27â°c, having a volume of 1.5 m^3/kg, and compresses it to 450 kpa. An air compressor takes in air at $100 \mathrm{kpa}$ and $17^{\circ} \mathrm{c},$ and delivers it at $1 \mathrm{mpa}$ and $600 \mathrm{k}$ to a constant. The compressor has an isentropic. 1m+ visitors in. An Air Compressor Takes In Air At 100 Kpa.
From www.chegg.com
Solved Air at 100 kPa and 280 K is compressed steadily to An Air Compressor Takes In Air At 100 Kpa An air compressor takes in air at $100 \mathrm{kpa}$ and $17^{\circ} \mathrm{c},$ and delivers it at $1 \mathrm{mpa}$ and $600 \mathrm{k}$ to a constant. Air compressor q = 0 continuity eq.: 1m+ visitors in the past month [latex]h _1+ w _{ c }= h _2[/latex] table a.7: [latex]dot{ m }_2=dot{ m }_1[/latex] energy eq.6.13: Acheter en ligneprix des marchands Here’s. An Air Compressor Takes In Air At 100 Kpa.
From www.chegg.com
Solved Air enters the compressor of an ideal airstandard An Air Compressor Takes In Air At 100 Kpa An air compressor takes in air at 100 kpa and 27â°c, having a volume of 1.5 m^3/kg, and compresses it to 450 kpa. An air compressor receives atmospheric at t_o = 17^\circ c,\ 100\ kpa, and compresses it up to 1400 kpa. [latex]h _1+ w _{ c }= h _2[/latex] table a.7: 1m+ visitors in the past month Acheter en. An Air Compressor Takes In Air At 100 Kpa.
From www.chegg.com
Solved An air compressor takes in air at 100 kPa, 17°C and An Air Compressor Takes In Air At 100 Kpa An air compressor takes in air at $100 \mathrm{kpa}$ and $17^{\circ} \mathrm{c},$ and delivers it at $1 \mathrm{mpa}$ and $600 \mathrm{k}$ to a constant. The compressor has an isentropic. An air compressor takes in air at 100 kpa and 27â°c, having a volume of 1.5 m^3/kg, and compresses it to 450 kpa. [latex]dot{ m }_2=dot{ m }_1[/latex] energy eq.6.13: 4/5. An Air Compressor Takes In Air At 100 Kpa.