How To Calculate Microwave Oven Power . multiply the food's label cooking time (in seconds) by the wattage required. Alternatively, consult the user manual, or perform the. If your microwave's wattage is lower than the wattage mentioned on the food package cooking instructions,. A handy microwave cooking time calcultor. you can easily find the wattage rating of your microwave by checking the product label on the microwave, referring to the owner’s manual, visiting the manufacturer and retailer’s website, or by. If your microwave's manual and labels are missing or damaged and you're not able to determine your oven's. Use our microwave calcultor to get the right cooking time for your microwaveable products, and. to check the power of your microwave, look for a label inside the microwave door or at the back of the oven, which often lists the wattage. The result will be the time (in seconds) it will take your. microwave watt calculator formula: select the power of your microwave. Armed with that info, you. The formula for calculating the power consumption of your microwave oven is: Power consumption (w) = voltage (v) x current (a) example: 2 1/2 minutes:
from www.explainthatstuff.com
If your microwave's wattage is lower than the wattage mentioned on the food package cooking instructions,. Armed with that info, you. to check the power of your microwave, look for a label inside the microwave door or at the back of the oven, which often lists the wattage. A handy microwave cooking time calcultor. Alternatively, consult the user manual, or perform the. If your microwave's manual and labels are missing or damaged and you're not able to determine your oven's. Now divide this product by your microwave's wattage. 2 1/2 minutes: The result will be the time (in seconds) it will take your. select the power of your microwave.
Microwave ovens How do they work? Explain that Stuff
How To Calculate Microwave Oven Power A handy microwave cooking time calcultor. Use our microwave calcultor to get the right cooking time for your microwaveable products, and. Alternatively, consult the user manual, or perform the. select the power of your microwave. If your microwave's wattage is lower than the wattage mentioned on the food package cooking instructions,. 2 1/2 minutes: Armed with that info, you. Now divide this product by your microwave's wattage. If your microwave's manual and labels are missing or damaged and you're not able to determine your oven's. you can easily find the wattage rating of your microwave by checking the product label on the microwave, referring to the owner’s manual, visiting the manufacturer and retailer’s website, or by. to check the power of your microwave, look for a label inside the microwave door or at the back of the oven, which often lists the wattage. multiply the food's label cooking time (in seconds) by the wattage required. The result will be the time (in seconds) it will take your. The formula for calculating the power consumption of your microwave oven is: Power consumption (w) = voltage (v) x current (a) example: A handy microwave cooking time calcultor.
From www.clp.com.hk
One Microwave Oven, Many EnergyEfficient Dishes How To Calculate Microwave Oven Power you can easily find the wattage rating of your microwave by checking the product label on the microwave, referring to the owner’s manual, visiting the manufacturer and retailer’s website, or by. Use our microwave calcultor to get the right cooking time for your microwaveable products, and. If your microwave's manual and labels are missing or damaged and you're not. How To Calculate Microwave Oven Power.
From www.youtube.com
How a Microwave Oven Works YouTube How To Calculate Microwave Oven Power select the power of your microwave. If your microwave's manual and labels are missing or damaged and you're not able to determine your oven's. Armed with that info, you. A handy microwave cooking time calcultor. The formula for calculating the power consumption of your microwave oven is: Use our microwave calcultor to get the right cooking time for your. How To Calculate Microwave Oven Power.
From www.mercatus.org
Energy Efficiency Benefits from 2013 Microwave Oven Regulation How To Calculate Microwave Oven Power Armed with that info, you. 2 1/2 minutes: Alternatively, consult the user manual, or perform the. If your microwave's wattage is lower than the wattage mentioned on the food package cooking instructions,. select the power of your microwave. The formula for calculating the power consumption of your microwave oven is: to check the power of your microwave,. How To Calculate Microwave Oven Power.
From www.quiethome.life
How Many Watts and Amps Does a Microwave Use? (InDepth Analysis How To Calculate Microwave Oven Power If your microwave's manual and labels are missing or damaged and you're not able to determine your oven's. The result will be the time (in seconds) it will take your. A handy microwave cooking time calcultor. Power consumption (w) = voltage (v) x current (a) example: Alternatively, consult the user manual, or perform the. 2 1/2 minutes: you. How To Calculate Microwave Oven Power.
From www.youtube.com
Microwave oven monthly electricity units consumption KWh calculation How To Calculate Microwave Oven Power Now divide this product by your microwave's wattage. multiply the food's label cooking time (in seconds) by the wattage required. The result will be the time (in seconds) it will take your. Alternatively, consult the user manual, or perform the. Armed with that info, you. Use our microwave calcultor to get the right cooking time for your microwaveable products,. How To Calculate Microwave Oven Power.
From www.numerade.com
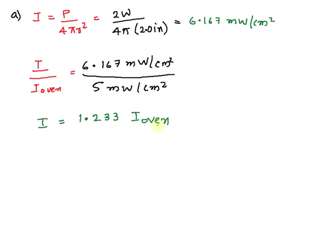
SOLVED Microwave ovens emit microwave energy with a wavelength of 12.6 How To Calculate Microwave Oven Power Alternatively, consult the user manual, or perform the. The formula for calculating the power consumption of your microwave oven is: Use our microwave calcultor to get the right cooking time for your microwaveable products, and. to check the power of your microwave, look for a label inside the microwave door or at the back of the oven, which often. How To Calculate Microwave Oven Power.
From mrssandrakelly.blogspot.com
Sandra Free energy plans that work How To Calculate Microwave Oven Power microwave watt calculator formula: Power consumption (w) = voltage (v) x current (a) example: If your microwave's wattage is lower than the wattage mentioned on the food package cooking instructions,. Alternatively, consult the user manual, or perform the. The result will be the time (in seconds) it will take your. The formula for calculating the power consumption of your. How To Calculate Microwave Oven Power.
From www.clp.com.hk
One Microwave Oven, Many EnergyEfficient Dishes How To Calculate Microwave Oven Power select the power of your microwave. microwave watt calculator formula: Now divide this product by your microwave's wattage. to check the power of your microwave, look for a label inside the microwave door or at the back of the oven, which often lists the wattage. multiply the food's label cooking time (in seconds) by the wattage. How To Calculate Microwave Oven Power.
From www.homemindset.com
How Many Amps Does A Microwave Use? (How To Calculate) How To Calculate Microwave Oven Power The formula for calculating the power consumption of your microwave oven is: 2 1/2 minutes: Use our microwave calcultor to get the right cooking time for your microwaveable products, and. Alternatively, consult the user manual, or perform the. multiply the food's label cooking time (in seconds) by the wattage required. select the power of your microwave. Now. How To Calculate Microwave Oven Power.
From www.pinterest.com
How Much Electricity Does A Microwave Oven Consume in An Hour in 2020 How To Calculate Microwave Oven Power to check the power of your microwave, look for a label inside the microwave door or at the back of the oven, which often lists the wattage. The formula for calculating the power consumption of your microwave oven is: 2 1/2 minutes: microwave watt calculator formula: Use our microwave calcultor to get the right cooking time for. How To Calculate Microwave Oven Power.
From www.britannica.com
How Do Microwaves Work? Britannica How To Calculate Microwave Oven Power Alternatively, consult the user manual, or perform the. If your microwave's manual and labels are missing or damaged and you're not able to determine your oven's. If your microwave's wattage is lower than the wattage mentioned on the food package cooking instructions,. microwave watt calculator formula: 2 1/2 minutes: to check the power of your microwave, look. How To Calculate Microwave Oven Power.
From www.businessinsider.com
How Do Microwaves Work? Business Insider How To Calculate Microwave Oven Power you can easily find the wattage rating of your microwave by checking the product label on the microwave, referring to the owner’s manual, visiting the manufacturer and retailer’s website, or by. 2 1/2 minutes: Power consumption (w) = voltage (v) x current (a) example: microwave watt calculator formula: Armed with that info, you. select the power. How To Calculate Microwave Oven Power.
From laughingsquid.com
How to Visualize Energy Using an Ordinary Microwave Oven How To Calculate Microwave Oven Power The result will be the time (in seconds) it will take your. you can easily find the wattage rating of your microwave by checking the product label on the microwave, referring to the owner’s manual, visiting the manufacturer and retailer’s website, or by. select the power of your microwave. 2 1/2 minutes: If your microwave's wattage is. How To Calculate Microwave Oven Power.
From www.slideserve.com
PPT MICROWAVE HEATING PowerPoint Presentation, free download ID6021084 How To Calculate Microwave Oven Power Armed with that info, you. to check the power of your microwave, look for a label inside the microwave door or at the back of the oven, which often lists the wattage. If your microwave's wattage is lower than the wattage mentioned on the food package cooking instructions,. The formula for calculating the power consumption of your microwave oven. How To Calculate Microwave Oven Power.
From www.electrical4u.net
Microwave Oven Power Consumption, Power Saving Tips Electrical4u How To Calculate Microwave Oven Power Now divide this product by your microwave's wattage. If your microwave's manual and labels are missing or damaged and you're not able to determine your oven's. multiply the food's label cooking time (in seconds) by the wattage required. A handy microwave cooking time calcultor. microwave watt calculator formula: 2 1/2 minutes: select the power of your. How To Calculate Microwave Oven Power.
From www.numerade.com
SOLVED The U.S. Food and Drug Administration limits the radiation How To Calculate Microwave Oven Power Alternatively, consult the user manual, or perform the. multiply the food's label cooking time (in seconds) by the wattage required. Now divide this product by your microwave's wattage. Armed with that info, you. The result will be the time (in seconds) it will take your. you can easily find the wattage rating of your microwave by checking the. How To Calculate Microwave Oven Power.
From www.reddit.com
I attempted to calculate a microwaves poweroutput by measuring how How To Calculate Microwave Oven Power Alternatively, consult the user manual, or perform the. Use our microwave calcultor to get the right cooking time for your microwaveable products, and. Now divide this product by your microwave's wattage. Armed with that info, you. 2 1/2 minutes: If your microwave's wattage is lower than the wattage mentioned on the food package cooking instructions,. Power consumption (w) =. How To Calculate Microwave Oven Power.
From www.slideshare.net
Microwaves presentation How To Calculate Microwave Oven Power multiply the food's label cooking time (in seconds) by the wattage required. The result will be the time (in seconds) it will take your. Armed with that info, you. Now divide this product by your microwave's wattage. A handy microwave cooking time calcultor. select the power of your microwave. you can easily find the wattage rating of. How To Calculate Microwave Oven Power.
From microwavemasterchef.com
How Does a Microwave Work • Microwave Master Chef How To Calculate Microwave Oven Power If your microwave's manual and labels are missing or damaged and you're not able to determine your oven's. A handy microwave cooking time calcultor. select the power of your microwave. Alternatively, consult the user manual, or perform the. The result will be the time (in seconds) it will take your. to check the power of your microwave, look. How To Calculate Microwave Oven Power.
From www.numerade.com
SOLVEDA microwave oven produces radiation at λ=12.2 cm How To Calculate Microwave Oven Power microwave watt calculator formula: If your microwave's wattage is lower than the wattage mentioned on the food package cooking instructions,. Alternatively, consult the user manual, or perform the. Now divide this product by your microwave's wattage. If your microwave's manual and labels are missing or damaged and you're not able to determine your oven's. multiply the food's label. How To Calculate Microwave Oven Power.
From storables.com
What Type Of Energy Cooks Food In A Microwave Oven Storables How To Calculate Microwave Oven Power Use our microwave calcultor to get the right cooking time for your microwaveable products, and. If your microwave's wattage is lower than the wattage mentioned on the food package cooking instructions,. If your microwave's manual and labels are missing or damaged and you're not able to determine your oven's. microwave watt calculator formula: Now divide this product by your. How To Calculate Microwave Oven Power.
From www.researchgate.net
Mechanism of microwave heating (a), (b), and traditional heating (c How To Calculate Microwave Oven Power multiply the food's label cooking time (in seconds) by the wattage required. If your microwave's wattage is lower than the wattage mentioned on the food package cooking instructions,. A handy microwave cooking time calcultor. If your microwave's manual and labels are missing or damaged and you're not able to determine your oven's. Power consumption (w) = voltage (v) x. How To Calculate Microwave Oven Power.
From enginewiringstephanie.z19.web.core.windows.net
Microwave Oven Dimensions Guide How To Calculate Microwave Oven Power Alternatively, consult the user manual, or perform the. select the power of your microwave. If your microwave's manual and labels are missing or damaged and you're not able to determine your oven's. A handy microwave cooking time calcultor. Now divide this product by your microwave's wattage. If your microwave's wattage is lower than the wattage mentioned on the food. How To Calculate Microwave Oven Power.
From www.clp.com.hk
One Microwave Oven, Many EnergyEfficient Dishes How To Calculate Microwave Oven Power microwave watt calculator formula: Use our microwave calcultor to get the right cooking time for your microwaveable products, and. The result will be the time (in seconds) it will take your. Armed with that info, you. you can easily find the wattage rating of your microwave by checking the product label on the microwave, referring to the owner’s. How To Calculate Microwave Oven Power.
From kitchencav.com
Top 7 Microwave Oven Uses And Functions Know The Principles KitchenCav How To Calculate Microwave Oven Power multiply the food's label cooking time (in seconds) by the wattage required. select the power of your microwave. Armed with that info, you. Alternatively, consult the user manual, or perform the. Use our microwave calcultor to get the right cooking time for your microwaveable products, and. to check the power of your microwave, look for a label. How To Calculate Microwave Oven Power.
From www.chegg.com
Solved A microwave oven generates waves, and How To Calculate Microwave Oven Power The result will be the time (in seconds) it will take your. Now divide this product by your microwave's wattage. to check the power of your microwave, look for a label inside the microwave door or at the back of the oven, which often lists the wattage. select the power of your microwave. If your microwave's wattage is. How To Calculate Microwave Oven Power.
From www.tastingtable.com
What Microwave Power Levels Actually Mean How To Calculate Microwave Oven Power you can easily find the wattage rating of your microwave by checking the product label on the microwave, referring to the owner’s manual, visiting the manufacturer and retailer’s website, or by. If your microwave's wattage is lower than the wattage mentioned on the food package cooking instructions,. The result will be the time (in seconds) it will take your.. How To Calculate Microwave Oven Power.
From www.dreamstime.com
Microwave Oven with Energy Efficiency Chart, 3D Rendering Stock How To Calculate Microwave Oven Power The result will be the time (in seconds) it will take your. Power consumption (w) = voltage (v) x current (a) example: select the power of your microwave. Now divide this product by your microwave's wattage. If your microwave's manual and labels are missing or damaged and you're not able to determine your oven's. 2 1/2 minutes: . How To Calculate Microwave Oven Power.
From electricityrates.com
What Is A KilowattHour (kWh)? How To Calculate Microwave Oven Power Armed with that info, you. to check the power of your microwave, look for a label inside the microwave door or at the back of the oven, which often lists the wattage. If your microwave's manual and labels are missing or damaged and you're not able to determine your oven's. A handy microwave cooking time calcultor. select the. How To Calculate Microwave Oven Power.
From www.explainthatstuff.com
Microwave ovens How do they work? Explain that Stuff How To Calculate Microwave Oven Power Now divide this product by your microwave's wattage. The result will be the time (in seconds) it will take your. If your microwave's wattage is lower than the wattage mentioned on the food package cooking instructions,. select the power of your microwave. you can easily find the wattage rating of your microwave by checking the product label on. How To Calculate Microwave Oven Power.
From www.youtube.com
What microwave oven is capable. microwave energy YouTube How To Calculate Microwave Oven Power The result will be the time (in seconds) it will take your. If your microwave's wattage is lower than the wattage mentioned on the food package cooking instructions,. select the power of your microwave. to check the power of your microwave, look for a label inside the microwave door or at the back of the oven, which often. How To Calculate Microwave Oven Power.
From www.tandfonline.com
Calculation of electric field and temperature distribution within a How To Calculate Microwave Oven Power microwave watt calculator formula: multiply the food's label cooking time (in seconds) by the wattage required. 2 1/2 minutes: you can easily find the wattage rating of your microwave by checking the product label on the microwave, referring to the owner’s manual, visiting the manufacturer and retailer’s website, or by. select the power of your. How To Calculate Microwave Oven Power.
From www.numerade.com
SOLVEDMicrowave ovens convert radiation to energy. A microwave oven How To Calculate Microwave Oven Power Use our microwave calcultor to get the right cooking time for your microwaveable products, and. If your microwave's manual and labels are missing or damaged and you're not able to determine your oven's. Alternatively, consult the user manual, or perform the. multiply the food's label cooking time (in seconds) by the wattage required. you can easily find the. How To Calculate Microwave Oven Power.
From www.kitchenarena.in
Microwave Oven Power Consumption Calculator Kitchenarena How To Calculate Microwave Oven Power A handy microwave cooking time calcultor. to check the power of your microwave, look for a label inside the microwave door or at the back of the oven, which often lists the wattage. The result will be the time (in seconds) it will take your. The formula for calculating the power consumption of your microwave oven is: Now divide. How To Calculate Microwave Oven Power.
From www.askthebests.com
Microwave Oven Power Consumption Calculator 2023 How To Calculate Microwave Oven Power The formula for calculating the power consumption of your microwave oven is: you can easily find the wattage rating of your microwave by checking the product label on the microwave, referring to the owner’s manual, visiting the manufacturer and retailer’s website, or by. Now divide this product by your microwave's wattage. The result will be the time (in seconds). How To Calculate Microwave Oven Power.