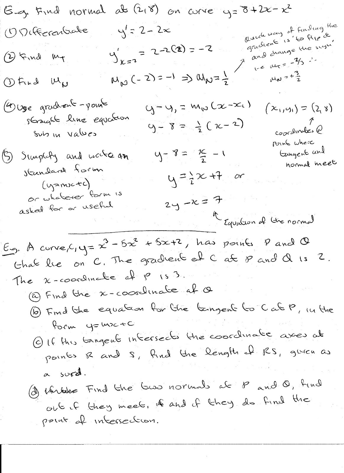
Differential Calculus Tangents And Normals . Recall that the slope of a curve at a point is the slope of the tangent. Tangents and normals, if you differentiate the equation of a curve, you will get a formula for the gradient of the curve. § equation of the tangent at a point. Tangents and normals you are shown the general method of finding tangents and normals to curves and then shown a numerical example. Tangents and normals are the lines. how to find tangents and normals to curves, with applications that involve forces acting on a moving body. Given y = f(x), the line. Tangent lines, normal lines, and tangent planes.
from www.showme.com
Tangents and normals, if you differentiate the equation of a curve, you will get a formula for the gradient of the curve. Tangent lines, normal lines, and tangent planes. Tangents and normals you are shown the general method of finding tangents and normals to curves and then shown a numerical example. how to find tangents and normals to curves, with applications that involve forces acting on a moving body. § equation of the tangent at a point. Tangents and normals are the lines. Recall that the slope of a curve at a point is the slope of the tangent. Given y = f(x), the line.
Tangents normals coord point Math, Calculus, Application of
Differential Calculus Tangents And Normals Tangents and normals you are shown the general method of finding tangents and normals to curves and then shown a numerical example. Given y = f(x), the line. how to find tangents and normals to curves, with applications that involve forces acting on a moving body. Tangents and normals, if you differentiate the equation of a curve, you will get a formula for the gradient of the curve. Tangents and normals you are shown the general method of finding tangents and normals to curves and then shown a numerical example. Tangent lines, normal lines, and tangent planes. § equation of the tangent at a point. Recall that the slope of a curve at a point is the slope of the tangent. Tangents and normals are the lines.
From jagomart.net
Differentiation Pdf 169955 C1 Differentiation Tangents And Normals Differential Calculus Tangents And Normals Tangents and normals you are shown the general method of finding tangents and normals to curves and then shown a numerical example. how to find tangents and normals to curves, with applications that involve forces acting on a moving body. Tangent lines, normal lines, and tangent planes. Tangents and normals are the lines. Tangents and normals, if you differentiate. Differential Calculus Tangents And Normals.
From www.youtube.com
Tangents & Normals Differential Calculus Differential Calculus Bsc Differential Calculus Tangents And Normals how to find tangents and normals to curves, with applications that involve forces acting on a moving body. Recall that the slope of a curve at a point is the slope of the tangent. Tangents and normals are the lines. Tangents and normals you are shown the general method of finding tangents and normals to curves and then shown. Differential Calculus Tangents And Normals.
From www.studypool.com
SOLUTION Chapter 12 Differentiation Tangents and Normals (1) AS Differential Calculus Tangents And Normals § equation of the tangent at a point. Tangent lines, normal lines, and tangent planes. how to find tangents and normals to curves, with applications that involve forces acting on a moving body. Tangents and normals are the lines. Given y = f(x), the line. Tangents and normals you are shown the general method of finding tangents and normals. Differential Calculus Tangents And Normals.
From www.showme.com
Tangents normals coord point Math, Calculus, Application of Differential Calculus Tangents And Normals Tangent lines, normal lines, and tangent planes. Given y = f(x), the line. how to find tangents and normals to curves, with applications that involve forces acting on a moving body. Tangents and normals you are shown the general method of finding tangents and normals to curves and then shown a numerical example. Tangents and normals are the lines.. Differential Calculus Tangents And Normals.
From www.youtube.com
Differential calculus I tangents and normals I Revision I part 1I Differential Calculus Tangents And Normals Tangent lines, normal lines, and tangent planes. Recall that the slope of a curve at a point is the slope of the tangent. Given y = f(x), the line. Tangents and normals are the lines. Tangents and normals, if you differentiate the equation of a curve, you will get a formula for the gradient of the curve. § equation of. Differential Calculus Tangents And Normals.
From www.youtube.com
Differentiation (Gradients, Tangents and Normals) YouTube Differential Calculus Tangents And Normals how to find tangents and normals to curves, with applications that involve forces acting on a moving body. Tangents and normals you are shown the general method of finding tangents and normals to curves and then shown a numerical example. Given y = f(x), the line. Tangents and normals, if you differentiate the equation of a curve, you will. Differential Calculus Tangents And Normals.
From diff-calculus.netlify.app
Chapter 4 Tangents and NormalsII Differential Calculus Differential Calculus Tangents And Normals Tangents and normals, if you differentiate the equation of a curve, you will get a formula for the gradient of the curve. Tangent lines, normal lines, and tangent planes. Tangents and normals you are shown the general method of finding tangents and normals to curves and then shown a numerical example. § equation of the tangent at a point. Recall. Differential Calculus Tangents And Normals.
From diff-calculus.netlify.app
Chapter 4 Tangents and NormalsII Differential Calculus Differential Calculus Tangents And Normals Given y = f(x), the line. Tangents and normals, if you differentiate the equation of a curve, you will get a formula for the gradient of the curve. Tangents and normals are the lines. Recall that the slope of a curve at a point is the slope of the tangent. § equation of the tangent at a point. Tangents and. Differential Calculus Tangents And Normals.
From www.youtube.com
A Level Maths Differentiation 4. Tangents and normals YouTube Differential Calculus Tangents And Normals Recall that the slope of a curve at a point is the slope of the tangent. Tangent lines, normal lines, and tangent planes. Tangents and normals, if you differentiate the equation of a curve, you will get a formula for the gradient of the curve. Given y = f(x), the line. Tangents and normals are the lines. how to. Differential Calculus Tangents And Normals.
From www.youtube.com
Differentiation Tangents and Normals to Plane Curves YouTube Differential Calculus Tangents And Normals how to find tangents and normals to curves, with applications that involve forces acting on a moving body. Tangents and normals you are shown the general method of finding tangents and normals to curves and then shown a numerical example. Recall that the slope of a curve at a point is the slope of the tangent. Tangent lines, normal. Differential Calculus Tangents And Normals.
From diff-calculus.netlify.app
Chapter 4 Tangents and NormalsII Differential Calculus Differential Calculus Tangents And Normals Recall that the slope of a curve at a point is the slope of the tangent. Tangent lines, normal lines, and tangent planes. Tangents and normals, if you differentiate the equation of a curve, you will get a formula for the gradient of the curve. Tangents and normals you are shown the general method of finding tangents and normals to. Differential Calculus Tangents And Normals.
From diff-calculus.netlify.app
Chapter 4 Tangents and NormalsII Differential Calculus Differential Calculus Tangents And Normals Tangents and normals you are shown the general method of finding tangents and normals to curves and then shown a numerical example. Recall that the slope of a curve at a point is the slope of the tangent. Tangent lines, normal lines, and tangent planes. Given y = f(x), the line. Tangents and normals, if you differentiate the equation of. Differential Calculus Tangents And Normals.
From slidetodoc.com
Differentiation PARAMETRIC DIFFERENTIATION TANGENTS AND NORMALS Differential Calculus Tangents And Normals Tangents and normals, if you differentiate the equation of a curve, you will get a formula for the gradient of the curve. Tangent lines, normal lines, and tangent planes. Tangents and normals you are shown the general method of finding tangents and normals to curves and then shown a numerical example. § equation of the tangent at a point. Tangents. Differential Calculus Tangents And Normals.
From diff-calculus.netlify.app
Chapter 4 Tangents and NormalsII Differential Calculus Differential Calculus Tangents And Normals Tangents and normals you are shown the general method of finding tangents and normals to curves and then shown a numerical example. how to find tangents and normals to curves, with applications that involve forces acting on a moving body. Tangents and normals are the lines. Tangents and normals, if you differentiate the equation of a curve, you will. Differential Calculus Tangents And Normals.
From www.studypool.com
SOLUTION Differential calculus review outline tangents and normal Differential Calculus Tangents And Normals Tangents and normals you are shown the general method of finding tangents and normals to curves and then shown a numerical example. Tangent lines, normal lines, and tangent planes. Given y = f(x), the line. Tangents and normals are the lines. how to find tangents and normals to curves, with applications that involve forces acting on a moving body.. Differential Calculus Tangents And Normals.
From alevelmathsnotes.blogspot.com
A Level Maths Notes Differentiation Tangents and Normals Differential Calculus Tangents And Normals Tangent lines, normal lines, and tangent planes. Recall that the slope of a curve at a point is the slope of the tangent. Tangents and normals, if you differentiate the equation of a curve, you will get a formula for the gradient of the curve. Tangents and normals are the lines. Given y = f(x), the line. Tangents and normals. Differential Calculus Tangents And Normals.
From www.radfordmathematics.com
Tangents & Normals Calculus Differential Calculus Tangents And Normals Tangents and normals, if you differentiate the equation of a curve, you will get a formula for the gradient of the curve. Given y = f(x), the line. how to find tangents and normals to curves, with applications that involve forces acting on a moving body. Recall that the slope of a curve at a point is the slope. Differential Calculus Tangents And Normals.
From slidetodoc.com
Differentiation PARAMETRIC DIFFERENTIATION TANGENTS AND NORMALS Differential Calculus Tangents And Normals Tangent lines, normal lines, and tangent planes. § equation of the tangent at a point. how to find tangents and normals to curves, with applications that involve forces acting on a moving body. Recall that the slope of a curve at a point is the slope of the tangent. Tangents and normals you are shown the general method of. Differential Calculus Tangents And Normals.
From diff-calculus.netlify.app
Chapter 4 Tangents and NormalsII Differential Calculus Differential Calculus Tangents And Normals Tangents and normals are the lines. § equation of the tangent at a point. Tangents and normals, if you differentiate the equation of a curve, you will get a formula for the gradient of the curve. Given y = f(x), the line. how to find tangents and normals to curves, with applications that involve forces acting on a moving. Differential Calculus Tangents And Normals.
From www.youtube.com
Equations of Tangents and Normals using Calculus YouTube Differential Calculus Tangents And Normals Given y = f(x), the line. Tangents and normals are the lines. how to find tangents and normals to curves, with applications that involve forces acting on a moving body. Tangents and normals you are shown the general method of finding tangents and normals to curves and then shown a numerical example. Tangents and normals, if you differentiate the. Differential Calculus Tangents And Normals.
From alevelmathsnotes.blogspot.com
A Level Maths Notes Differentiation Tangents and Normals Differential Calculus Tangents And Normals Tangents and normals, if you differentiate the equation of a curve, you will get a formula for the gradient of the curve. Tangents and normals you are shown the general method of finding tangents and normals to curves and then shown a numerical example. Recall that the slope of a curve at a point is the slope of the tangent.. Differential Calculus Tangents And Normals.
From www.youtube.com
Eqn of tangents and normals to a curveApp of Differential Calculus Differential Calculus Tangents And Normals Recall that the slope of a curve at a point is the slope of the tangent. Tangents and normals you are shown the general method of finding tangents and normals to curves and then shown a numerical example. Tangent lines, normal lines, and tangent planes. Given y = f(x), the line. Tangents and normals, if you differentiate the equation of. Differential Calculus Tangents And Normals.
From diff-calculus.netlify.app
Chapter 4 Tangents and NormalsII Differential Calculus Differential Calculus Tangents And Normals Recall that the slope of a curve at a point is the slope of the tangent. § equation of the tangent at a point. Given y = f(x), the line. Tangents and normals you are shown the general method of finding tangents and normals to curves and then shown a numerical example. Tangent lines, normal lines, and tangent planes. Tangents. Differential Calculus Tangents And Normals.
From diff-calculus.netlify.app
Chapter 4 Tangents and NormalsII Differential Calculus Differential Calculus Tangents And Normals Tangents and normals, if you differentiate the equation of a curve, you will get a formula for the gradient of the curve. § equation of the tangent at a point. how to find tangents and normals to curves, with applications that involve forces acting on a moving body. Tangents and normals are the lines. Given y = f(x), the. Differential Calculus Tangents And Normals.
From mr-mathematics.com
Tangents and Normals Differential Calculus Tangents And Normals Given y = f(x), the line. § equation of the tangent at a point. how to find tangents and normals to curves, with applications that involve forces acting on a moving body. Tangents and normals you are shown the general method of finding tangents and normals to curves and then shown a numerical example. Recall that the slope of. Differential Calculus Tangents And Normals.
From www.youtube.com
Equation of the Tangent and Normal (5/6 Calculus Video) YouTube Differential Calculus Tangents And Normals how to find tangents and normals to curves, with applications that involve forces acting on a moving body. Recall that the slope of a curve at a point is the slope of the tangent. § equation of the tangent at a point. Given y = f(x), the line. Tangent lines, normal lines, and tangent planes. Tangents and normals, if. Differential Calculus Tangents And Normals.
From jc-math.com
R1 Tangents & Normals JCMATH TUITION Differential Calculus Tangents And Normals how to find tangents and normals to curves, with applications that involve forces acting on a moving body. Tangents and normals, if you differentiate the equation of a curve, you will get a formula for the gradient of the curve. Tangent lines, normal lines, and tangent planes. Recall that the slope of a curve at a point is the. Differential Calculus Tangents And Normals.
From www.youtube.com
Differentiation Tangents and Normals ExamSolutions YouTube Differential Calculus Tangents And Normals Recall that the slope of a curve at a point is the slope of the tangent. Tangent lines, normal lines, and tangent planes. Tangents and normals are the lines. Given y = f(x), the line. § equation of the tangent at a point. how to find tangents and normals to curves, with applications that involve forces acting on a. Differential Calculus Tangents And Normals.
From www.youtube.com
Calculus Implicit diff, tangents, normals & points YouTube Differential Calculus Tangents And Normals § equation of the tangent at a point. how to find tangents and normals to curves, with applications that involve forces acting on a moving body. Tangents and normals are the lines. Tangent lines, normal lines, and tangent planes. Tangents and normals you are shown the general method of finding tangents and normals to curves and then shown a. Differential Calculus Tangents And Normals.
From www.radfordmathematics.com
Tangents & Normals Calculus Differential Calculus Tangents And Normals Given y = f(x), the line. Recall that the slope of a curve at a point is the slope of the tangent. Tangents and normals are the lines. Tangents and normals you are shown the general method of finding tangents and normals to curves and then shown a numerical example. how to find tangents and normals to curves, with. Differential Calculus Tangents And Normals.
From www.youtube.com
Applications Of Parametric Differentiation Tangents and Normals YouTube Differential Calculus Tangents And Normals § equation of the tangent at a point. Tangents and normals you are shown the general method of finding tangents and normals to curves and then shown a numerical example. Tangents and normals are the lines. how to find tangents and normals to curves, with applications that involve forces acting on a moving body. Given y = f(x), the. Differential Calculus Tangents And Normals.
From www.youtube.com
B.sc part1 maths differential calculus unit5 Tangents and Differential Calculus Tangents And Normals Tangents and normals are the lines. how to find tangents and normals to curves, with applications that involve forces acting on a moving body. Tangents and normals, if you differentiate the equation of a curve, you will get a formula for the gradient of the curve. Tangent lines, normal lines, and tangent planes. Tangents and normals you are shown. Differential Calculus Tangents And Normals.
From diff-calculus.netlify.app
Chapter 4 Tangents and NormalsII Differential Calculus Differential Calculus Tangents And Normals Tangents and normals are the lines. Tangents and normals, if you differentiate the equation of a curve, you will get a formula for the gradient of the curve. Given y = f(x), the line. how to find tangents and normals to curves, with applications that involve forces acting on a moving body. Tangent lines, normal lines, and tangent planes.. Differential Calculus Tangents And Normals.
From www.studocu.com
Yr 12 Differentiation tangents and normals Yr 12 Tangents and normal Differential Calculus Tangents And Normals Recall that the slope of a curve at a point is the slope of the tangent. Given y = f(x), the line. Tangents and normals are the lines. § equation of the tangent at a point. Tangents and normals you are shown the general method of finding tangents and normals to curves and then shown a numerical example. Tangents and. Differential Calculus Tangents And Normals.
From www.youtube.com
Tangents and Normals Calculus Lesson 3 (ALEVEL Y1) YouTube Differential Calculus Tangents And Normals Tangents and normals are the lines. § equation of the tangent at a point. Tangent lines, normal lines, and tangent planes. how to find tangents and normals to curves, with applications that involve forces acting on a moving body. Given y = f(x), the line. Recall that the slope of a curve at a point is the slope of. Differential Calculus Tangents And Normals.