Lead Chromate Balanced Equation . Lead chromate (chrome yellow) can be produced by reacting sodium chromate with lead nitrate, or by reacting lead monoxide with chromic acid solution. A solution of potassium chromate reacts with a solution of lead (ii) nitrate to produce a yellow precipitate of lead (ii) chromate and a solution of. The balanced equation will be calculated along with the solubility states,. Let us use a double displacement reaction of lead (ii) nitrate and potassium chromate to produce lead (ii). By varying the proportion of reactants, either. The limiting reagent row will be. Use the calculator below to balance chemical equations and determine the type of reaction (instructions). Enter an equation of an ionic chemical equation and press the balance button. Limiting reagent can be computed for a balanced equation by entering the number of moles or weight for all reagents.
from www.numerade.com
By varying the proportion of reactants, either. Lead chromate (chrome yellow) can be produced by reacting sodium chromate with lead nitrate, or by reacting lead monoxide with chromic acid solution. Limiting reagent can be computed for a balanced equation by entering the number of moles or weight for all reagents. Use the calculator below to balance chemical equations and determine the type of reaction (instructions). A solution of potassium chromate reacts with a solution of lead (ii) nitrate to produce a yellow precipitate of lead (ii) chromate and a solution of. Enter an equation of an ionic chemical equation and press the balance button. The balanced equation will be calculated along with the solubility states,. Let us use a double displacement reaction of lead (ii) nitrate and potassium chromate to produce lead (ii). The limiting reagent row will be.
SOLVED Lead (II) nitrate + potassium iodide Balanced Chemical Equation
Lead Chromate Balanced Equation Enter an equation of an ionic chemical equation and press the balance button. Lead chromate (chrome yellow) can be produced by reacting sodium chromate with lead nitrate, or by reacting lead monoxide with chromic acid solution. Use the calculator below to balance chemical equations and determine the type of reaction (instructions). By varying the proportion of reactants, either. Limiting reagent can be computed for a balanced equation by entering the number of moles or weight for all reagents. The balanced equation will be calculated along with the solubility states,. Enter an equation of an ionic chemical equation and press the balance button. A solution of potassium chromate reacts with a solution of lead (ii) nitrate to produce a yellow precipitate of lead (ii) chromate and a solution of. The limiting reagent row will be. Let us use a double displacement reaction of lead (ii) nitrate and potassium chromate to produce lead (ii).
From www.academia.edu
(PDF) Precipitation of lead (II) chromate Folk Narongrit Academia.edu Lead Chromate Balanced Equation By varying the proportion of reactants, either. Enter an equation of an ionic chemical equation and press the balance button. Use the calculator below to balance chemical equations and determine the type of reaction (instructions). The balanced equation will be calculated along with the solubility states,. Let us use a double displacement reaction of lead (ii) nitrate and potassium chromate. Lead Chromate Balanced Equation.
From www.slideserve.com
PPT Solubility Rules PowerPoint Presentation, free download ID4980329 Lead Chromate Balanced Equation By varying the proportion of reactants, either. Limiting reagent can be computed for a balanced equation by entering the number of moles or weight for all reagents. The limiting reagent row will be. Let us use a double displacement reaction of lead (ii) nitrate and potassium chromate to produce lead (ii). The balanced equation will be calculated along with the. Lead Chromate Balanced Equation.
From www.numerade.com
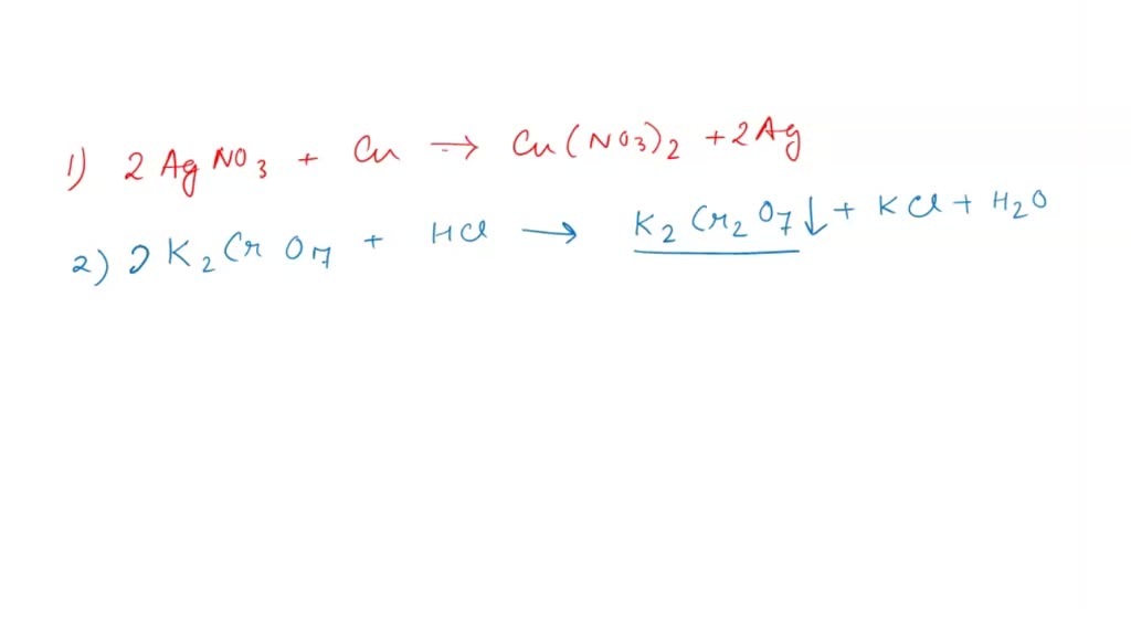
SOLVED When silver nitrate reacts with copper, what is the correctly Lead Chromate Balanced Equation Use the calculator below to balance chemical equations and determine the type of reaction (instructions). The balanced equation will be calculated along with the solubility states,. Limiting reagent can be computed for a balanced equation by entering the number of moles or weight for all reagents. Enter an equation of an ionic chemical equation and press the balance button. Lead. Lead Chromate Balanced Equation.
From cerzmopv.blob.core.windows.net
Magnesium And Zinc Nitrate Equation at Terry Ranson blog Lead Chromate Balanced Equation By varying the proportion of reactants, either. A solution of potassium chromate reacts with a solution of lead (ii) nitrate to produce a yellow precipitate of lead (ii) chromate and a solution of. Use the calculator below to balance chemical equations and determine the type of reaction (instructions). Lead chromate (chrome yellow) can be produced by reacting sodium chromate with. Lead Chromate Balanced Equation.
From www.youtube.com
How to Write the Net Ionic Equation for Pb(NO3)2 + K2CrO4 = PbCrO4 Lead Chromate Balanced Equation The limiting reagent row will be. By varying the proportion of reactants, either. Let us use a double displacement reaction of lead (ii) nitrate and potassium chromate to produce lead (ii). A solution of potassium chromate reacts with a solution of lead (ii) nitrate to produce a yellow precipitate of lead (ii) chromate and a solution of. Lead chromate (chrome. Lead Chromate Balanced Equation.
From molekula.com
Purchase Lead (II) chromate [7758976] online • Catalog • Molekula Group Lead Chromate Balanced Equation Use the calculator below to balance chemical equations and determine the type of reaction (instructions). Let us use a double displacement reaction of lead (ii) nitrate and potassium chromate to produce lead (ii). By varying the proportion of reactants, either. The balanced equation will be calculated along with the solubility states,. Enter an equation of an ionic chemical equation and. Lead Chromate Balanced Equation.
From www.coursehero.com
[Solved] Lead(II) nitrate reacts with potassium chromate to form lead Lead Chromate Balanced Equation Lead chromate (chrome yellow) can be produced by reacting sodium chromate with lead nitrate, or by reacting lead monoxide with chromic acid solution. Let us use a double displacement reaction of lead (ii) nitrate and potassium chromate to produce lead (ii). Use the calculator below to balance chemical equations and determine the type of reaction (instructions). By varying the proportion. Lead Chromate Balanced Equation.
From www.bartleby.com
Answered Below is a balanced molecular equation… bartleby Lead Chromate Balanced Equation Use the calculator below to balance chemical equations and determine the type of reaction (instructions). By varying the proportion of reactants, either. Lead chromate (chrome yellow) can be produced by reacting sodium chromate with lead nitrate, or by reacting lead monoxide with chromic acid solution. Let us use a double displacement reaction of lead (ii) nitrate and potassium chromate to. Lead Chromate Balanced Equation.
From www.numerade.com
SOLVED Lead (II) nitrate + potassium iodide Balanced Chemical Equation Lead Chromate Balanced Equation Let us use a double displacement reaction of lead (ii) nitrate and potassium chromate to produce lead (ii). By varying the proportion of reactants, either. Lead chromate (chrome yellow) can be produced by reacting sodium chromate with lead nitrate, or by reacting lead monoxide with chromic acid solution. Use the calculator below to balance chemical equations and determine the type. Lead Chromate Balanced Equation.
From www.toppr.com
Identify the type of reactions taking place in each of the following Lead Chromate Balanced Equation The balanced equation will be calculated along with the solubility states,. A solution of potassium chromate reacts with a solution of lead (ii) nitrate to produce a yellow precipitate of lead (ii) chromate and a solution of. By varying the proportion of reactants, either. Let us use a double displacement reaction of lead (ii) nitrate and potassium chromate to produce. Lead Chromate Balanced Equation.
From www.slideserve.com
PPT Reactions in Aqueous Solution PowerPoint Presentation, free Lead Chromate Balanced Equation The limiting reagent row will be. Use the calculator below to balance chemical equations and determine the type of reaction (instructions). Limiting reagent can be computed for a balanced equation by entering the number of moles or weight for all reagents. The balanced equation will be calculated along with the solubility states,. By varying the proportion of reactants, either. A. Lead Chromate Balanced Equation.
From www.numerade.com
SOLVED When a solution of lead(II) nitrate is mixed with a solution of Lead Chromate Balanced Equation A solution of potassium chromate reacts with a solution of lead (ii) nitrate to produce a yellow precipitate of lead (ii) chromate and a solution of. Let us use a double displacement reaction of lead (ii) nitrate and potassium chromate to produce lead (ii). The limiting reagent row will be. Enter an equation of an ionic chemical equation and press. Lead Chromate Balanced Equation.
From www.numerade.com
SOLVEDWrite a balanced equation to show (a) the reaction of chromate Lead Chromate Balanced Equation The balanced equation will be calculated along with the solubility states,. Lead chromate (chrome yellow) can be produced by reacting sodium chromate with lead nitrate, or by reacting lead monoxide with chromic acid solution. A solution of potassium chromate reacts with a solution of lead (ii) nitrate to produce a yellow precipitate of lead (ii) chromate and a solution of.. Lead Chromate Balanced Equation.
From www.numerade.com
SOLVED Write a balanced equation for the reaction between dichromate Lead Chromate Balanced Equation Limiting reagent can be computed for a balanced equation by entering the number of moles or weight for all reagents. A solution of potassium chromate reacts with a solution of lead (ii) nitrate to produce a yellow precipitate of lead (ii) chromate and a solution of. By varying the proportion of reactants, either. Lead chromate (chrome yellow) can be produced. Lead Chromate Balanced Equation.
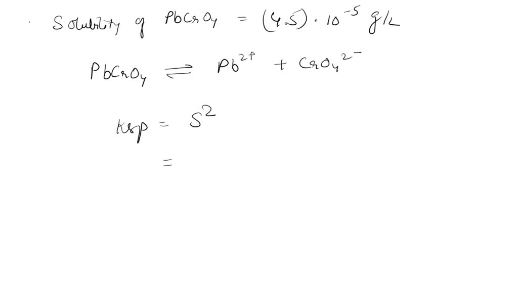
From www.numerade.com
SOLVED 14. The solubility of lead chromate (PbCrO) is 4.5 *10 g/L Lead Chromate Balanced Equation A solution of potassium chromate reacts with a solution of lead (ii) nitrate to produce a yellow precipitate of lead (ii) chromate and a solution of. Enter an equation of an ionic chemical equation and press the balance button. Lead chromate (chrome yellow) can be produced by reacting sodium chromate with lead nitrate, or by reacting lead monoxide with chromic. Lead Chromate Balanced Equation.
From www.numerade.com
SOLVEDMany chromate (CrO4^2) salts are insoluble, and most have Lead Chromate Balanced Equation The limiting reagent row will be. Enter an equation of an ionic chemical equation and press the balance button. Let us use a double displacement reaction of lead (ii) nitrate and potassium chromate to produce lead (ii). The balanced equation will be calculated along with the solubility states,. By varying the proportion of reactants, either. A solution of potassium chromate. Lead Chromate Balanced Equation.
From www.numerade.com
SOLVEDWhen a solution of lead(II) nitrate is mixed with a solution of Lead Chromate Balanced Equation Let us use a double displacement reaction of lead (ii) nitrate and potassium chromate to produce lead (ii). Limiting reagent can be computed for a balanced equation by entering the number of moles or weight for all reagents. The limiting reagent row will be. By varying the proportion of reactants, either. Enter an equation of an ionic chemical equation and. Lead Chromate Balanced Equation.
From www.numerade.com
SOLVED Write a condensed equation AND net ionic equation for the Lead Chromate Balanced Equation Lead chromate (chrome yellow) can be produced by reacting sodium chromate with lead nitrate, or by reacting lead monoxide with chromic acid solution. Enter an equation of an ionic chemical equation and press the balance button. The limiting reagent row will be. Use the calculator below to balance chemical equations and determine the type of reaction (instructions). A solution of. Lead Chromate Balanced Equation.
From www.youtube.com
How to Write the Net Ionic Equation for Pb(C2H3O2)2 + KI = KC2H3O2 Lead Chromate Balanced Equation Enter an equation of an ionic chemical equation and press the balance button. The limiting reagent row will be. A solution of potassium chromate reacts with a solution of lead (ii) nitrate to produce a yellow precipitate of lead (ii) chromate and a solution of. Limiting reagent can be computed for a balanced equation by entering the number of moles. Lead Chromate Balanced Equation.
From www.numerade.com
SOLVED Write the correct net ionic equation for the reaction of Lead Chromate Balanced Equation Enter an equation of an ionic chemical equation and press the balance button. Limiting reagent can be computed for a balanced equation by entering the number of moles or weight for all reagents. Use the calculator below to balance chemical equations and determine the type of reaction (instructions). Let us use a double displacement reaction of lead (ii) nitrate and. Lead Chromate Balanced Equation.
From www.numerade.com
SOLVED A solution of potassium chromate reacts with a solution of lead Lead Chromate Balanced Equation Limiting reagent can be computed for a balanced equation by entering the number of moles or weight for all reagents. The balanced equation will be calculated along with the solubility states,. Use the calculator below to balance chemical equations and determine the type of reaction (instructions). Lead chromate (chrome yellow) can be produced by reacting sodium chromate with lead nitrate,. Lead Chromate Balanced Equation.
From www.numerade.com
SOLVED Test /. Cobalt Nitrate Potassium Chromate Reaction? Yes or No Lead Chromate Balanced Equation Limiting reagent can be computed for a balanced equation by entering the number of moles or weight for all reagents. Use the calculator below to balance chemical equations and determine the type of reaction (instructions). Let us use a double displacement reaction of lead (ii) nitrate and potassium chromate to produce lead (ii). The balanced equation will be calculated along. Lead Chromate Balanced Equation.
From www.indiamart.com
Lead Chromate Micro Powder at Rs 10/kg Bhankharpur Bhankarpur ID Lead Chromate Balanced Equation Lead chromate (chrome yellow) can be produced by reacting sodium chromate with lead nitrate, or by reacting lead monoxide with chromic acid solution. Use the calculator below to balance chemical equations and determine the type of reaction (instructions). Let us use a double displacement reaction of lead (ii) nitrate and potassium chromate to produce lead (ii). Enter an equation of. Lead Chromate Balanced Equation.
From www.slideserve.com
PPT Number One Sodium chloride solution + lead (II) acetate solutions Lead Chromate Balanced Equation A solution of potassium chromate reacts with a solution of lead (ii) nitrate to produce a yellow precipitate of lead (ii) chromate and a solution of. Let us use a double displacement reaction of lead (ii) nitrate and potassium chromate to produce lead (ii). Enter an equation of an ionic chemical equation and press the balance button. Limiting reagent can. Lead Chromate Balanced Equation.
From www.tessshebaylo.com
Balanced Chemical Equation For Sodium Sulfate And Water Tessshebaylo Lead Chromate Balanced Equation Lead chromate (chrome yellow) can be produced by reacting sodium chromate with lead nitrate, or by reacting lead monoxide with chromic acid solution. The balanced equation will be calculated along with the solubility states,. The limiting reagent row will be. Let us use a double displacement reaction of lead (ii) nitrate and potassium chromate to produce lead (ii). Enter an. Lead Chromate Balanced Equation.
From www.numerade.com
SOLVED An aqueous solution of lead nitrate; Pb(NO3h2, is mixed with Lead Chromate Balanced Equation The limiting reagent row will be. Use the calculator below to balance chemical equations and determine the type of reaction (instructions). Let us use a double displacement reaction of lead (ii) nitrate and potassium chromate to produce lead (ii). By varying the proportion of reactants, either. Enter an equation of an ionic chemical equation and press the balance button. A. Lead Chromate Balanced Equation.
From www.numerade.com
SOLVED Question 28 If solutions of potassium chromate and sodium Lead Chromate Balanced Equation The limiting reagent row will be. The balanced equation will be calculated along with the solubility states,. By varying the proportion of reactants, either. Use the calculator below to balance chemical equations and determine the type of reaction (instructions). Limiting reagent can be computed for a balanced equation by entering the number of moles or weight for all reagents. Lead. Lead Chromate Balanced Equation.
From www.chegg.com
Solved equation. 1. Chromate Dichromate Equilibrium a. Lead Chromate Balanced Equation Limiting reagent can be computed for a balanced equation by entering the number of moles or weight for all reagents. Lead chromate (chrome yellow) can be produced by reacting sodium chromate with lead nitrate, or by reacting lead monoxide with chromic acid solution. Use the calculator below to balance chemical equations and determine the type of reaction (instructions). Let us. Lead Chromate Balanced Equation.
From www.showme.com
Formula for potassium chromate Science, Chemistry ShowMe Lead Chromate Balanced Equation Enter an equation of an ionic chemical equation and press the balance button. By varying the proportion of reactants, either. Let us use a double displacement reaction of lead (ii) nitrate and potassium chromate to produce lead (ii). The balanced equation will be calculated along with the solubility states,. A solution of potassium chromate reacts with a solution of lead. Lead Chromate Balanced Equation.
From www.numerade.com
SOLVED Sodium chromate can be prepared by oxidizing a chromium (III Lead Chromate Balanced Equation Limiting reagent can be computed for a balanced equation by entering the number of moles or weight for all reagents. Lead chromate (chrome yellow) can be produced by reacting sodium chromate with lead nitrate, or by reacting lead monoxide with chromic acid solution. Use the calculator below to balance chemical equations and determine the type of reaction (instructions). The balanced. Lead Chromate Balanced Equation.
From www.youtube.com
How to Write the Formula for Lead (IV) chromate YouTube Lead Chromate Balanced Equation By varying the proportion of reactants, either. The limiting reagent row will be. Let us use a double displacement reaction of lead (ii) nitrate and potassium chromate to produce lead (ii). The balanced equation will be calculated along with the solubility states,. Lead chromate (chrome yellow) can be produced by reacting sodium chromate with lead nitrate, or by reacting lead. Lead Chromate Balanced Equation.
From paul-chapter.blogspot.com
Balanced Equation For Zinc Acetate And Sodium Phosphate 39+ Pages Lead Chromate Balanced Equation Limiting reagent can be computed for a balanced equation by entering the number of moles or weight for all reagents. By varying the proportion of reactants, either. The limiting reagent row will be. A solution of potassium chromate reacts with a solution of lead (ii) nitrate to produce a yellow precipitate of lead (ii) chromate and a solution of. Lead. Lead Chromate Balanced Equation.
From www.numerade.com
SOLVED How does the addition of NaOH, which does not appear in the Lead Chromate Balanced Equation A solution of potassium chromate reacts with a solution of lead (ii) nitrate to produce a yellow precipitate of lead (ii) chromate and a solution of. Limiting reagent can be computed for a balanced equation by entering the number of moles or weight for all reagents. The balanced equation will be calculated along with the solubility states,. Lead chromate (chrome. Lead Chromate Balanced Equation.
From www.transtutors.com
(Get Answer) Lead (II) Nitrate (Aq) + Potassium Chromate (Aq Lead Chromate Balanced Equation Use the calculator below to balance chemical equations and determine the type of reaction (instructions). Lead chromate (chrome yellow) can be produced by reacting sodium chromate with lead nitrate, or by reacting lead monoxide with chromic acid solution. Enter an equation of an ionic chemical equation and press the balance button. A solution of potassium chromate reacts with a solution. Lead Chromate Balanced Equation.
From solvedlib.com
Which net ionic equation best represents the reaction… SolvedLib Lead Chromate Balanced Equation Limiting reagent can be computed for a balanced equation by entering the number of moles or weight for all reagents. By varying the proportion of reactants, either. Lead chromate (chrome yellow) can be produced by reacting sodium chromate with lead nitrate, or by reacting lead monoxide with chromic acid solution. A solution of potassium chromate reacts with a solution of. Lead Chromate Balanced Equation.