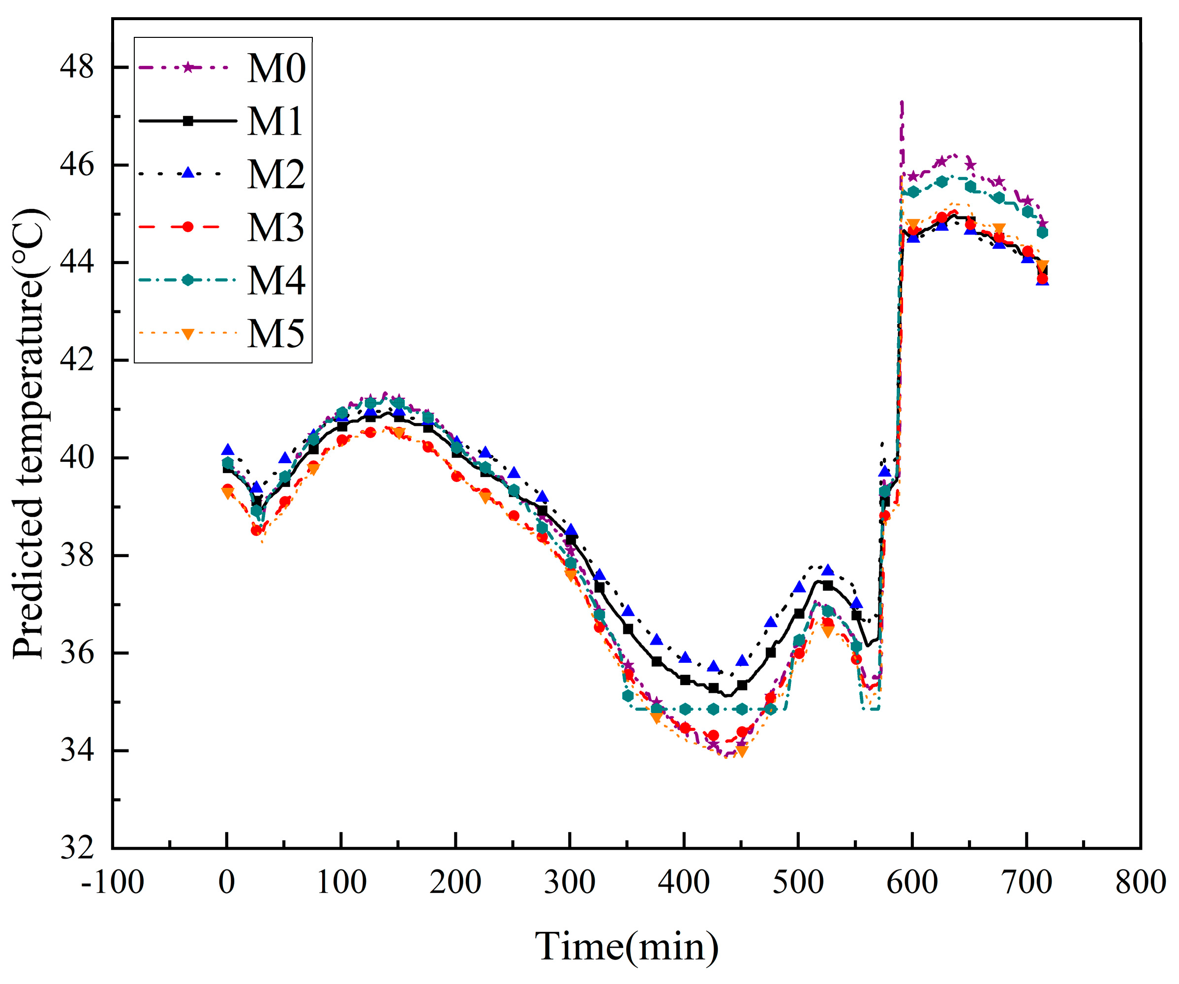
Wind Turbine Gearbox Temperature . When the gearboxes of wind turbines operate normally, the residuals between the predicted temperature and the actual. The gearbox oil temperature was used as a target variable to respond to the state of the gearbox. This study details the development of a mathematical thermal model of a small wind turbine gearbox for use in condition monitoring. Through analysis of thousands of wind turbines with hundreds of gearbox tooth or bearing failures, it was shown that temperatures could be lower in the month before failure than over a year before failure depending on a turbine's power production in that period. Learn about the typical failure modes of wind turbine gearboxes, such as pitting, scuffing, and fatigue, and how to detect and prevent them. In this paper, based on the wind turbine gearbox oil temperature monitoring data of a wind farm in jiuquan area, the stochastic. The proposed method is compared.
from www.mdpi.com
When the gearboxes of wind turbines operate normally, the residuals between the predicted temperature and the actual. Through analysis of thousands of wind turbines with hundreds of gearbox tooth or bearing failures, it was shown that temperatures could be lower in the month before failure than over a year before failure depending on a turbine's power production in that period. Learn about the typical failure modes of wind turbine gearboxes, such as pitting, scuffing, and fatigue, and how to detect and prevent them. The proposed method is compared. This study details the development of a mathematical thermal model of a small wind turbine gearbox for use in condition monitoring. In this paper, based on the wind turbine gearbox oil temperature monitoring data of a wind farm in jiuquan area, the stochastic. The gearbox oil temperature was used as a target variable to respond to the state of the gearbox.
Energies Free FullText Condition Monitoring Method for the
Wind Turbine Gearbox Temperature This study details the development of a mathematical thermal model of a small wind turbine gearbox for use in condition monitoring. The proposed method is compared. The gearbox oil temperature was used as a target variable to respond to the state of the gearbox. This study details the development of a mathematical thermal model of a small wind turbine gearbox for use in condition monitoring. Through analysis of thousands of wind turbines with hundreds of gearbox tooth or bearing failures, it was shown that temperatures could be lower in the month before failure than over a year before failure depending on a turbine's power production in that period. In this paper, based on the wind turbine gearbox oil temperature monitoring data of a wind farm in jiuquan area, the stochastic. When the gearboxes of wind turbines operate normally, the residuals between the predicted temperature and the actual. Learn about the typical failure modes of wind turbine gearboxes, such as pitting, scuffing, and fatigue, and how to detect and prevent them.
From www.researchgate.net
(PDF) Analysis of the efficiency of wind turbine gearboxes using the Wind Turbine Gearbox Temperature The proposed method is compared. The gearbox oil temperature was used as a target variable to respond to the state of the gearbox. When the gearboxes of wind turbines operate normally, the residuals between the predicted temperature and the actual. Learn about the typical failure modes of wind turbine gearboxes, such as pitting, scuffing, and fatigue, and how to detect. Wind Turbine Gearbox Temperature.
From www.mdpi.com
Processes Free FullText Pretrained 1DCNNBiLSTM Hybrid Network Wind Turbine Gearbox Temperature This study details the development of a mathematical thermal model of a small wind turbine gearbox for use in condition monitoring. The proposed method is compared. When the gearboxes of wind turbines operate normally, the residuals between the predicted temperature and the actual. Learn about the typical failure modes of wind turbine gearboxes, such as pitting, scuffing, and fatigue, and. Wind Turbine Gearbox Temperature.
From www.mdpi.com
Processes Free FullText Pretrained 1DCNNBiLSTM Hybrid Network Wind Turbine Gearbox Temperature Learn about the typical failure modes of wind turbine gearboxes, such as pitting, scuffing, and fatigue, and how to detect and prevent them. The gearbox oil temperature was used as a target variable to respond to the state of the gearbox. Through analysis of thousands of wind turbines with hundreds of gearbox tooth or bearing failures, it was shown that. Wind Turbine Gearbox Temperature.
From www.mdpi.com
Processes Free FullText Pretrained 1DCNNBiLSTM Hybrid Network Wind Turbine Gearbox Temperature Through analysis of thousands of wind turbines with hundreds of gearbox tooth or bearing failures, it was shown that temperatures could be lower in the month before failure than over a year before failure depending on a turbine's power production in that period. The gearbox oil temperature was used as a target variable to respond to the state of the. Wind Turbine Gearbox Temperature.
From www.mdpi.com
Processes Free FullText Pretrained 1DCNNBiLSTM Hybrid Network Wind Turbine Gearbox Temperature In this paper, based on the wind turbine gearbox oil temperature monitoring data of a wind farm in jiuquan area, the stochastic. Through analysis of thousands of wind turbines with hundreds of gearbox tooth or bearing failures, it was shown that temperatures could be lower in the month before failure than over a year before failure depending on a turbine's. Wind Turbine Gearbox Temperature.
From typeset.io
(PDF) Analysis of the efficiency of wind turbine gearboxes using the Wind Turbine Gearbox Temperature The proposed method is compared. This study details the development of a mathematical thermal model of a small wind turbine gearbox for use in condition monitoring. The gearbox oil temperature was used as a target variable to respond to the state of the gearbox. Learn about the typical failure modes of wind turbine gearboxes, such as pitting, scuffing, and fatigue,. Wind Turbine Gearbox Temperature.
From www.mdpi.com
Energies Free FullText Condition Monitoring Method for the Wind Turbine Gearbox Temperature The proposed method is compared. When the gearboxes of wind turbines operate normally, the residuals between the predicted temperature and the actual. Through analysis of thousands of wind turbines with hundreds of gearbox tooth or bearing failures, it was shown that temperatures could be lower in the month before failure than over a year before failure depending on a turbine's. Wind Turbine Gearbox Temperature.
From www.mdpi.com
Energies Free FullText Condition Monitoring and Fault Diagnosis of Wind Turbine Gearbox Temperature In this paper, based on the wind turbine gearbox oil temperature monitoring data of a wind farm in jiuquan area, the stochastic. Through analysis of thousands of wind turbines with hundreds of gearbox tooth or bearing failures, it was shown that temperatures could be lower in the month before failure than over a year before failure depending on a turbine's. Wind Turbine Gearbox Temperature.
From www.mdpi.com
Energies Free FullText Condition Monitoring and Fault Diagnosis of Wind Turbine Gearbox Temperature When the gearboxes of wind turbines operate normally, the residuals between the predicted temperature and the actual. This study details the development of a mathematical thermal model of a small wind turbine gearbox for use in condition monitoring. Learn about the typical failure modes of wind turbine gearboxes, such as pitting, scuffing, and fatigue, and how to detect and prevent. Wind Turbine Gearbox Temperature.
From www.mdpi.com
Energies Free FullText Condition Monitoring and Fault Diagnosis of Wind Turbine Gearbox Temperature In this paper, based on the wind turbine gearbox oil temperature monitoring data of a wind farm in jiuquan area, the stochastic. Through analysis of thousands of wind turbines with hundreds of gearbox tooth or bearing failures, it was shown that temperatures could be lower in the month before failure than over a year before failure depending on a turbine's. Wind Turbine Gearbox Temperature.
From mungfali.com
Wind Turbine Gearbox Design Wind Turbine Gearbox Temperature When the gearboxes of wind turbines operate normally, the residuals between the predicted temperature and the actual. In this paper, based on the wind turbine gearbox oil temperature monitoring data of a wind farm in jiuquan area, the stochastic. This study details the development of a mathematical thermal model of a small wind turbine gearbox for use in condition monitoring.. Wind Turbine Gearbox Temperature.
From www.mdpi.com
Processes Free FullText Pretrained 1DCNNBiLSTM Hybrid Network Wind Turbine Gearbox Temperature The gearbox oil temperature was used as a target variable to respond to the state of the gearbox. In this paper, based on the wind turbine gearbox oil temperature monitoring data of a wind farm in jiuquan area, the stochastic. When the gearboxes of wind turbines operate normally, the residuals between the predicted temperature and the actual. Through analysis of. Wind Turbine Gearbox Temperature.
From www.msr.ch
temperature monitoring wind turbines, wireless MSR dataloggers Wind Turbine Gearbox Temperature Through analysis of thousands of wind turbines with hundreds of gearbox tooth or bearing failures, it was shown that temperatures could be lower in the month before failure than over a year before failure depending on a turbine's power production in that period. The gearbox oil temperature was used as a target variable to respond to the state of the. Wind Turbine Gearbox Temperature.
From www.researchgate.net
Basic design and kinematic properties of a stage for a wind Wind Turbine Gearbox Temperature When the gearboxes of wind turbines operate normally, the residuals between the predicted temperature and the actual. In this paper, based on the wind turbine gearbox oil temperature monitoring data of a wind farm in jiuquan area, the stochastic. The proposed method is compared. Learn about the typical failure modes of wind turbine gearboxes, such as pitting, scuffing, and fatigue,. Wind Turbine Gearbox Temperature.
From eureka.patsnap.com
Wind turbine generator gearbox bearing temperature state monitoring Wind Turbine Gearbox Temperature The gearbox oil temperature was used as a target variable to respond to the state of the gearbox. The proposed method is compared. In this paper, based on the wind turbine gearbox oil temperature monitoring data of a wind farm in jiuquan area, the stochastic. When the gearboxes of wind turbines operate normally, the residuals between the predicted temperature and. Wind Turbine Gearbox Temperature.
From www.mdpi.com
Processes Free FullText Pretrained 1DCNNBiLSTM Hybrid Network Wind Turbine Gearbox Temperature This study details the development of a mathematical thermal model of a small wind turbine gearbox for use in condition monitoring. The gearbox oil temperature was used as a target variable to respond to the state of the gearbox. The proposed method is compared. Through analysis of thousands of wind turbines with hundreds of gearbox tooth or bearing failures, it. Wind Turbine Gearbox Temperature.
From www.mdpi.com
Energies Free FullText Condition Monitoring Method for the Wind Turbine Gearbox Temperature When the gearboxes of wind turbines operate normally, the residuals between the predicted temperature and the actual. This study details the development of a mathematical thermal model of a small wind turbine gearbox for use in condition monitoring. The gearbox oil temperature was used as a target variable to respond to the state of the gearbox. Learn about the typical. Wind Turbine Gearbox Temperature.
From www.mdpi.com
Energies Free FullText Condition Monitoring and Fault Diagnosis of Wind Turbine Gearbox Temperature Through analysis of thousands of wind turbines with hundreds of gearbox tooth or bearing failures, it was shown that temperatures could be lower in the month before failure than over a year before failure depending on a turbine's power production in that period. The gearbox oil temperature was used as a target variable to respond to the state of the. Wind Turbine Gearbox Temperature.
From www.mdpi.com
Energies Free FullText Condition Monitoring and Fault Diagnosis of Wind Turbine Gearbox Temperature Through analysis of thousands of wind turbines with hundreds of gearbox tooth or bearing failures, it was shown that temperatures could be lower in the month before failure than over a year before failure depending on a turbine's power production in that period. The proposed method is compared. The gearbox oil temperature was used as a target variable to respond. Wind Turbine Gearbox Temperature.
From www.semanticscholar.org
Figure 1 from Condition Monitoring and Fault Diagnosis of Wind Turbines Wind Turbine Gearbox Temperature Learn about the typical failure modes of wind turbine gearboxes, such as pitting, scuffing, and fatigue, and how to detect and prevent them. Through analysis of thousands of wind turbines with hundreds of gearbox tooth or bearing failures, it was shown that temperatures could be lower in the month before failure than over a year before failure depending on a. Wind Turbine Gearbox Temperature.
From www.msr.ch
temperature monitoring wind turbines, wireless MSR dataloggers Wind Turbine Gearbox Temperature Learn about the typical failure modes of wind turbine gearboxes, such as pitting, scuffing, and fatigue, and how to detect and prevent them. The proposed method is compared. Through analysis of thousands of wind turbines with hundreds of gearbox tooth or bearing failures, it was shown that temperatures could be lower in the month before failure than over a year. Wind Turbine Gearbox Temperature.
From www.mdpi.com
Processes Free FullText Pretrained 1DCNNBiLSTM Hybrid Network Wind Turbine Gearbox Temperature In this paper, based on the wind turbine gearbox oil temperature monitoring data of a wind farm in jiuquan area, the stochastic. This study details the development of a mathematical thermal model of a small wind turbine gearbox for use in condition monitoring. Through analysis of thousands of wind turbines with hundreds of gearbox tooth or bearing failures, it was. Wind Turbine Gearbox Temperature.
From www.researchgate.net
(PDF) Wind Turbine Gearbox Temperature Monitor Based On CITDMFPAWNN Wind Turbine Gearbox Temperature Through analysis of thousands of wind turbines with hundreds of gearbox tooth or bearing failures, it was shown that temperatures could be lower in the month before failure than over a year before failure depending on a turbine's power production in that period. When the gearboxes of wind turbines operate normally, the residuals between the predicted temperature and the actual.. Wind Turbine Gearbox Temperature.
From exyjdzfhy.blob.core.windows.net
Wind Turbine Gearbox Schematic at Lisa Goins blog Wind Turbine Gearbox Temperature Through analysis of thousands of wind turbines with hundreds of gearbox tooth or bearing failures, it was shown that temperatures could be lower in the month before failure than over a year before failure depending on a turbine's power production in that period. The gearbox oil temperature was used as a target variable to respond to the state of the. Wind Turbine Gearbox Temperature.
From mungfali.com
Wind Turbine Gearbox Design Wind Turbine Gearbox Temperature When the gearboxes of wind turbines operate normally, the residuals between the predicted temperature and the actual. The proposed method is compared. The gearbox oil temperature was used as a target variable to respond to the state of the gearbox. This study details the development of a mathematical thermal model of a small wind turbine gearbox for use in condition. Wind Turbine Gearbox Temperature.
From www.mdpi.com
Energies Free FullText Condition Monitoring Method for the Wind Turbine Gearbox Temperature Learn about the typical failure modes of wind turbine gearboxes, such as pitting, scuffing, and fatigue, and how to detect and prevent them. In this paper, based on the wind turbine gearbox oil temperature monitoring data of a wind farm in jiuquan area, the stochastic. When the gearboxes of wind turbines operate normally, the residuals between the predicted temperature and. Wind Turbine Gearbox Temperature.
From www.semanticscholar.org
Figure 2 from Condition Monitoring and Fault Diagnosis of Wind Turbines Wind Turbine Gearbox Temperature Through analysis of thousands of wind turbines with hundreds of gearbox tooth or bearing failures, it was shown that temperatures could be lower in the month before failure than over a year before failure depending on a turbine's power production in that period. The gearbox oil temperature was used as a target variable to respond to the state of the. Wind Turbine Gearbox Temperature.
From www.energy.gov
The Inside of a Wind Turbine Department of Energy Wind Turbine Gearbox Temperature The proposed method is compared. This study details the development of a mathematical thermal model of a small wind turbine gearbox for use in condition monitoring. Through analysis of thousands of wind turbines with hundreds of gearbox tooth or bearing failures, it was shown that temperatures could be lower in the month before failure than over a year before failure. Wind Turbine Gearbox Temperature.
From www.mdpi.com
Processes Free FullText Pretrained 1DCNNBiLSTM Hybrid Network Wind Turbine Gearbox Temperature This study details the development of a mathematical thermal model of a small wind turbine gearbox for use in condition monitoring. The proposed method is compared. When the gearboxes of wind turbines operate normally, the residuals between the predicted temperature and the actual. The gearbox oil temperature was used as a target variable to respond to the state of the. Wind Turbine Gearbox Temperature.
From www.windfarmbop.com
Gearbox in wind turbines Wind farm BoP Wind Turbine Gearbox Temperature Learn about the typical failure modes of wind turbine gearboxes, such as pitting, scuffing, and fatigue, and how to detect and prevent them. The proposed method is compared. The gearbox oil temperature was used as a target variable to respond to the state of the gearbox. This study details the development of a mathematical thermal model of a small wind. Wind Turbine Gearbox Temperature.
From www.msr.ch
temperature monitoring wind turbines, wireless MSR dataloggers Wind Turbine Gearbox Temperature Learn about the typical failure modes of wind turbine gearboxes, such as pitting, scuffing, and fatigue, and how to detect and prevent them. Through analysis of thousands of wind turbines with hundreds of gearbox tooth or bearing failures, it was shown that temperatures could be lower in the month before failure than over a year before failure depending on a. Wind Turbine Gearbox Temperature.
From www.researchgate.net
Bin method results for the four analysed wind turbine gearboxes (Wtg Wind Turbine Gearbox Temperature The proposed method is compared. Learn about the typical failure modes of wind turbine gearboxes, such as pitting, scuffing, and fatigue, and how to detect and prevent them. Through analysis of thousands of wind turbines with hundreds of gearbox tooth or bearing failures, it was shown that temperatures could be lower in the month before failure than over a year. Wind Turbine Gearbox Temperature.
From www.mdpi.com
Processes Free FullText Pretrained 1DCNNBiLSTM Hybrid Network Wind Turbine Gearbox Temperature Learn about the typical failure modes of wind turbine gearboxes, such as pitting, scuffing, and fatigue, and how to detect and prevent them. The gearbox oil temperature was used as a target variable to respond to the state of the gearbox. When the gearboxes of wind turbines operate normally, the residuals between the predicted temperature and the actual. This study. Wind Turbine Gearbox Temperature.
From wes.copernicus.org
WES Comparison of bearing loadsharing characteristics in Wind Turbine Gearbox Temperature When the gearboxes of wind turbines operate normally, the residuals between the predicted temperature and the actual. In this paper, based on the wind turbine gearbox oil temperature monitoring data of a wind farm in jiuquan area, the stochastic. The gearbox oil temperature was used as a target variable to respond to the state of the gearbox. Learn about the. Wind Turbine Gearbox Temperature.
From www.researchgate.net
(PDF) Pretrained 1DCNNBiLSTM Hybrid Network for Temperature Wind Turbine Gearbox Temperature Learn about the typical failure modes of wind turbine gearboxes, such as pitting, scuffing, and fatigue, and how to detect and prevent them. When the gearboxes of wind turbines operate normally, the residuals between the predicted temperature and the actual. In this paper, based on the wind turbine gearbox oil temperature monitoring data of a wind farm in jiuquan area,. Wind Turbine Gearbox Temperature.