Filament Bulb Potential Difference . in a filament bulb, the current does not increase as fast as the potential difference. — filament bulb. resistor and filament bulb. the resistance of a filament lamp increases as the potential difference increases because the filament becomes hot. revision notes on 9.2.4 resistance in a filament lamp for the cie a level physics syllabus, written by the physics experts at save my exams. The graph for the filament bulb does not obey ohm’s law. use the variable power supply and the variable resistor to vary the potential difference across the lamp, from 1.0 v to 10.0 v in intervals of 1 volt. Doubling the amount of energy does not. Record pairs of potential difference and current values in the table. To investigate the relationship between current and potential difference for a resistor and a filament bulb.
from www.toppr.com
Doubling the amount of energy does not. revision notes on 9.2.4 resistance in a filament lamp for the cie a level physics syllabus, written by the physics experts at save my exams. Record pairs of potential difference and current values in the table. in a filament bulb, the current does not increase as fast as the potential difference. The graph for the filament bulb does not obey ohm’s law. To investigate the relationship between current and potential difference for a resistor and a filament bulb. use the variable power supply and the variable resistor to vary the potential difference across the lamp, from 1.0 v to 10.0 v in intervals of 1 volt. the resistance of a filament lamp increases as the potential difference increases because the filament becomes hot. resistor and filament bulb. — filament bulb.
A cell of potential difference 12 V is connected to a bulb. The
Filament Bulb Potential Difference To investigate the relationship between current and potential difference for a resistor and a filament bulb. the resistance of a filament lamp increases as the potential difference increases because the filament becomes hot. use the variable power supply and the variable resistor to vary the potential difference across the lamp, from 1.0 v to 10.0 v in intervals of 1 volt. — filament bulb. Record pairs of potential difference and current values in the table. The graph for the filament bulb does not obey ohm’s law. Doubling the amount of energy does not. To investigate the relationship between current and potential difference for a resistor and a filament bulb. in a filament bulb, the current does not increase as fast as the potential difference. resistor and filament bulb. revision notes on 9.2.4 resistance in a filament lamp for the cie a level physics syllabus, written by the physics experts at save my exams.
From socratic.org
What is the potential difference across the lamp? How much resistance Filament Bulb Potential Difference — filament bulb. The graph for the filament bulb does not obey ohm’s law. use the variable power supply and the variable resistor to vary the potential difference across the lamp, from 1.0 v to 10.0 v in intervals of 1 volt. in a filament bulb, the current does not increase as fast as the potential difference.. Filament Bulb Potential Difference.
From www.numerade.com
SOLVEDWhen a flashlight bulb with a tungsten filament is lit, the Filament Bulb Potential Difference The graph for the filament bulb does not obey ohm’s law. in a filament bulb, the current does not increase as fast as the potential difference. the resistance of a filament lamp increases as the potential difference increases because the filament becomes hot. resistor and filament bulb. — filament bulb. Doubling the amount of energy does. Filament Bulb Potential Difference.
From www.numerade.com
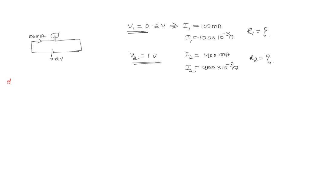
SOLVED The filament of a bulb takes a current 100 mA when potential Filament Bulb Potential Difference resistor and filament bulb. the resistance of a filament lamp increases as the potential difference increases because the filament becomes hot. The graph for the filament bulb does not obey ohm’s law. Doubling the amount of energy does not. revision notes on 9.2.4 resistance in a filament lamp for the cie a level physics syllabus, written by. Filament Bulb Potential Difference.
From www.chegg.com
Solved elationships in a Light Bulb Filament 2 of 8 Part A Filament Bulb Potential Difference in a filament bulb, the current does not increase as fast as the potential difference. revision notes on 9.2.4 resistance in a filament lamp for the cie a level physics syllabus, written by the physics experts at save my exams. the resistance of a filament lamp increases as the potential difference increases because the filament becomes hot.. Filament Bulb Potential Difference.
From www.toppr.com
Filament resistance of an electric bulb is 660 ohm. Potential Filament Bulb Potential Difference revision notes on 9.2.4 resistance in a filament lamp for the cie a level physics syllabus, written by the physics experts at save my exams. — filament bulb. The graph for the filament bulb does not obey ohm’s law. resistor and filament bulb. Doubling the amount of energy does not. in a filament bulb, the current. Filament Bulb Potential Difference.
From www.slideserve.com
PPT EDEXCEL IGCSE / CERTIFICATE IN PHYSICS 24 Electrical Resistance Filament Bulb Potential Difference revision notes on 9.2.4 resistance in a filament lamp for the cie a level physics syllabus, written by the physics experts at save my exams. Record pairs of potential difference and current values in the table. Doubling the amount of energy does not. resistor and filament bulb. use the variable power supply and the variable resistor to. Filament Bulb Potential Difference.
From www.slideserve.com
PPT AQA GCSE Physics Unit 2 PowerPoint Presentation, free download Filament Bulb Potential Difference the resistance of a filament lamp increases as the potential difference increases because the filament becomes hot. revision notes on 9.2.4 resistance in a filament lamp for the cie a level physics syllabus, written by the physics experts at save my exams. Record pairs of potential difference and current values in the table. Doubling the amount of energy. Filament Bulb Potential Difference.
From www.toppr.com
A cell of potential difference 12 V is connected to a bulb. The Filament Bulb Potential Difference The graph for the filament bulb does not obey ohm’s law. Doubling the amount of energy does not. in a filament bulb, the current does not increase as fast as the potential difference. resistor and filament bulb. To investigate the relationship between current and potential difference for a resistor and a filament bulb. — filament bulb. . Filament Bulb Potential Difference.
From www.scribd.com
TAP 1152 The Filament Lamp The Relationship Between Power and Filament Bulb Potential Difference resistor and filament bulb. the resistance of a filament lamp increases as the potential difference increases because the filament becomes hot. To investigate the relationship between current and potential difference for a resistor and a filament bulb. Record pairs of potential difference and current values in the table. use the variable power supply and the variable resistor. Filament Bulb Potential Difference.
From www.nagwa.com
Question Video Understanding the Effect of an Electrical Potential Filament Bulb Potential Difference resistor and filament bulb. revision notes on 9.2.4 resistance in a filament lamp for the cie a level physics syllabus, written by the physics experts at save my exams. use the variable power supply and the variable resistor to vary the potential difference across the lamp, from 1.0 v to 10.0 v in intervals of 1 volt.. Filament Bulb Potential Difference.
From www.slideserve.com
PPT Filament Lamps PowerPoint Presentation, free download ID3111817 Filament Bulb Potential Difference in a filament bulb, the current does not increase as fast as the potential difference. use the variable power supply and the variable resistor to vary the potential difference across the lamp, from 1.0 v to 10.0 v in intervals of 1 volt. — filament bulb. resistor and filament bulb. Doubling the amount of energy does. Filament Bulb Potential Difference.
From www.circuitdiagram.co
Circuit Diagram Of Incandescent Light Bulb Circuit Diagram Filament Bulb Potential Difference revision notes on 9.2.4 resistance in a filament lamp for the cie a level physics syllabus, written by the physics experts at save my exams. in a filament bulb, the current does not increase as fast as the potential difference. resistor and filament bulb. To investigate the relationship between current and potential difference for a resistor and. Filament Bulb Potential Difference.
From www.youtube.com
A potential difference is applied across the filament of a bulb at t =0 Filament Bulb Potential Difference in a filament bulb, the current does not increase as fast as the potential difference. the resistance of a filament lamp increases as the potential difference increases because the filament becomes hot. — filament bulb. revision notes on 9.2.4 resistance in a filament lamp for the cie a level physics syllabus, written by the physics experts. Filament Bulb Potential Difference.
From www.doubtnut.com
A potential difference is applied across the filament of a bulb at t Filament Bulb Potential Difference Record pairs of potential difference and current values in the table. To investigate the relationship between current and potential difference for a resistor and a filament bulb. The graph for the filament bulb does not obey ohm’s law. — filament bulb. resistor and filament bulb. the resistance of a filament lamp increases as the potential difference increases. Filament Bulb Potential Difference.
From www.numerade.com
SOLVED remains constant (2) (b) Figure 1 shows a current potential Filament Bulb Potential Difference use the variable power supply and the variable resistor to vary the potential difference across the lamp, from 1.0 v to 10.0 v in intervals of 1 volt. Doubling the amount of energy does not. resistor and filament bulb. the resistance of a filament lamp increases as the potential difference increases because the filament becomes hot. The. Filament Bulb Potential Difference.
From www.youtube.com
MJ20 P11 Q34 IV Curve of Filament Lamp May/June 2020 CIE A Level Filament Bulb Potential Difference resistor and filament bulb. To investigate the relationship between current and potential difference for a resistor and a filament bulb. Record pairs of potential difference and current values in the table. in a filament bulb, the current does not increase as fast as the potential difference. The graph for the filament bulb does not obey ohm’s law. . Filament Bulb Potential Difference.
From www.toppr.com
A cell of potential difference 12 V is connected to a bulb. The Filament Bulb Potential Difference revision notes on 9.2.4 resistance in a filament lamp for the cie a level physics syllabus, written by the physics experts at save my exams. Record pairs of potential difference and current values in the table. the resistance of a filament lamp increases as the potential difference increases because the filament becomes hot. — filament bulb. The. Filament Bulb Potential Difference.
From www.chegg.com
Solved Light bulbs A and B are identical in all ways except Filament Bulb Potential Difference Doubling the amount of energy does not. in a filament bulb, the current does not increase as fast as the potential difference. The graph for the filament bulb does not obey ohm’s law. To investigate the relationship between current and potential difference for a resistor and a filament bulb. use the variable power supply and the variable resistor. Filament Bulb Potential Difference.
From www.toppr.com
The filament of a bulb takes a current 100 mA when potential difference Filament Bulb Potential Difference resistor and filament bulb. the resistance of a filament lamp increases as the potential difference increases because the filament becomes hot. Record pairs of potential difference and current values in the table. revision notes on 9.2.4 resistance in a filament lamp for the cie a level physics syllabus, written by the physics experts at save my exams.. Filament Bulb Potential Difference.
From www.youtube.com
The filament of a bulb takes a current 100 mA when potential difference Filament Bulb Potential Difference Doubling the amount of energy does not. the resistance of a filament lamp increases as the potential difference increases because the filament becomes hot. revision notes on 9.2.4 resistance in a filament lamp for the cie a level physics syllabus, written by the physics experts at save my exams. in a filament bulb, the current does not. Filament Bulb Potential Difference.
From www.slideserve.com
PPT IV Characteristics PowerPoint Presentation, free download ID661185 Filament Bulb Potential Difference The graph for the filament bulb does not obey ohm’s law. — filament bulb. revision notes on 9.2.4 resistance in a filament lamp for the cie a level physics syllabus, written by the physics experts at save my exams. To investigate the relationship between current and potential difference for a resistor and a filament bulb. the resistance. Filament Bulb Potential Difference.
From www.numerade.com
SOLVED Capacitor initially uncharged. Which graph shows the magnitude Filament Bulb Potential Difference in a filament bulb, the current does not increase as fast as the potential difference. Record pairs of potential difference and current values in the table. Doubling the amount of energy does not. revision notes on 9.2.4 resistance in a filament lamp for the cie a level physics syllabus, written by the physics experts at save my exams.. Filament Bulb Potential Difference.
From www.linstitute.net
Edexcel A Level Physics复习笔记3.8 CurrentPotential Difference Graphs翰林国际教育 Filament Bulb Potential Difference in a filament bulb, the current does not increase as fast as the potential difference. use the variable power supply and the variable resistor to vary the potential difference across the lamp, from 1.0 v to 10.0 v in intervals of 1 volt. revision notes on 9.2.4 resistance in a filament lamp for the cie a level. Filament Bulb Potential Difference.
From www.sarthaks.com
A tungsten filament bulb is connected to a variable voltage supply. The Filament Bulb Potential Difference use the variable power supply and the variable resistor to vary the potential difference across the lamp, from 1.0 v to 10.0 v in intervals of 1 volt. — filament bulb. in a filament bulb, the current does not increase as fast as the potential difference. the resistance of a filament lamp increases as the potential. Filament Bulb Potential Difference.
From www.toppr.com
25. A potential difference is applied across the filament of a bulb t=0 Filament Bulb Potential Difference resistor and filament bulb. in a filament bulb, the current does not increase as fast as the potential difference. — filament bulb. To investigate the relationship between current and potential difference for a resistor and a filament bulb. Doubling the amount of energy does not. use the variable power supply and the variable resistor to vary. Filament Bulb Potential Difference.
From www.toppr.com
A cell of potential difference 12 V is connected to a bulb. The Filament Bulb Potential Difference use the variable power supply and the variable resistor to vary the potential difference across the lamp, from 1.0 v to 10.0 v in intervals of 1 volt. The graph for the filament bulb does not obey ohm’s law. Record pairs of potential difference and current values in the table. the resistance of a filament lamp increases as. Filament Bulb Potential Difference.
From www.slideserve.com
PPT AQA GCSE Physics 25 Current Electricity PowerPoint Presentation Filament Bulb Potential Difference To investigate the relationship between current and potential difference for a resistor and a filament bulb. resistor and filament bulb. in a filament bulb, the current does not increase as fast as the potential difference. The graph for the filament bulb does not obey ohm’s law. — filament bulb. Doubling the amount of energy does not. . Filament Bulb Potential Difference.
From www.numerade.com
SOLVED A cell of potential difference 12 V is connected to a bulb. The Filament Bulb Potential Difference Doubling the amount of energy does not. resistor and filament bulb. in a filament bulb, the current does not increase as fast as the potential difference. use the variable power supply and the variable resistor to vary the potential difference across the lamp, from 1.0 v to 10.0 v in intervals of 1 volt. To investigate the. Filament Bulb Potential Difference.
From www.doubtnut.com
A potential difference is applied across the filament of a bulb at Filament Bulb Potential Difference revision notes on 9.2.4 resistance in a filament lamp for the cie a level physics syllabus, written by the physics experts at save my exams. resistor and filament bulb. in a filament bulb, the current does not increase as fast as the potential difference. Doubling the amount of energy does not. Record pairs of potential difference and. Filament Bulb Potential Difference.
From www.youtube.com
Practical class 12th physics Current passing through tungsten Filament Bulb Potential Difference To investigate the relationship between current and potential difference for a resistor and a filament bulb. Record pairs of potential difference and current values in the table. — filament bulb. Doubling the amount of energy does not. revision notes on 9.2.4 resistance in a filament lamp for the cie a level physics syllabus, written by the physics experts. Filament Bulb Potential Difference.
From www.numerade.com
SOLVED The graph below shows how the current varies with the potential Filament Bulb Potential Difference To investigate the relationship between current and potential difference for a resistor and a filament bulb. Doubling the amount of energy does not. in a filament bulb, the current does not increase as fast as the potential difference. Record pairs of potential difference and current values in the table. The graph for the filament bulb does not obey ohm’s. Filament Bulb Potential Difference.
From www.toppr.com
The potential difference across the filament of a light bulb is Filament Bulb Potential Difference The graph for the filament bulb does not obey ohm’s law. use the variable power supply and the variable resistor to vary the potential difference across the lamp, from 1.0 v to 10.0 v in intervals of 1 volt. the resistance of a filament lamp increases as the potential difference increases because the filament becomes hot. —. Filament Bulb Potential Difference.
From www.slideserve.com
PPT CurrentPotential Difference Graphs PowerPoint Presentation ID Filament Bulb Potential Difference Doubling the amount of energy does not. Record pairs of potential difference and current values in the table. The graph for the filament bulb does not obey ohm’s law. use the variable power supply and the variable resistor to vary the potential difference across the lamp, from 1.0 v to 10.0 v in intervals of 1 volt. revision. Filament Bulb Potential Difference.
From www.pinterest.pt
ELECTRICITY Circuit Symbols Circuit Diagram Charge, Current, Resistance Filament Bulb Potential Difference revision notes on 9.2.4 resistance in a filament lamp for the cie a level physics syllabus, written by the physics experts at save my exams. Doubling the amount of energy does not. — filament bulb. use the variable power supply and the variable resistor to vary the potential difference across the lamp, from 1.0 v to 10.0. Filament Bulb Potential Difference.
From www.numerade.com
SOLVEDThe filament of a bulb takes a current 100 mA when potential Filament Bulb Potential Difference revision notes on 9.2.4 resistance in a filament lamp for the cie a level physics syllabus, written by the physics experts at save my exams. use the variable power supply and the variable resistor to vary the potential difference across the lamp, from 1.0 v to 10.0 v in intervals of 1 volt. Doubling the amount of energy. Filament Bulb Potential Difference.