Graphpad Nested T Test . You are comparing two teaching methods (data set columns), each used in three. With two treatments (as in the example above), prism 8 analyzes these data with what we are calling a nested t test. If you know what test you. Format the table either for entry of replicate values into. How to perform a multiple t test analysis with prism. Prism provides a number of important options for the multiple t test (and nonparametric tests) analysis, allowing you to choose from one of. The nested t test compares the means of two groups. T tests (and nonparametric tests) dialog box, choose a test. 1.create a grouped data table. Another example of a nested t test. This is the tutorial data provided with prism for the nested t test. You can do this in either of two ways:
        
         
         
        from mengte.online 
     
        
        1.create a grouped data table. You are comparing two teaching methods (data set columns), each used in three. If you know what test you. With two treatments (as in the example above), prism 8 analyzes these data with what we are calling a nested t test. You can do this in either of two ways: Format the table either for entry of replicate values into. T tests (and nonparametric tests) dialog box, choose a test. This is the tutorial data provided with prism for the nested t test. Another example of a nested t test. Prism provides a number of important options for the multiple t test (and nonparametric tests) analysis, allowing you to choose from one of.
    
    	
            
	
		 
	 
         
    GraphPad常见统计分析方法 梦特医数通 
    Graphpad Nested T Test  Format the table either for entry of replicate values into. You can do this in either of two ways: With two treatments (as in the example above), prism 8 analyzes these data with what we are calling a nested t test. How to perform a multiple t test analysis with prism. The nested t test compares the means of two groups. Another example of a nested t test. 1.create a grouped data table. If you know what test you. Format the table either for entry of replicate values into. T tests (and nonparametric tests) dialog box, choose a test. This is the tutorial data provided with prism for the nested t test. Prism provides a number of important options for the multiple t test (and nonparametric tests) analysis, allowing you to choose from one of. You are comparing two teaching methods (data set columns), each used in three.
            
	
		 
	 
         
 
    
         
        From www.graphpad.com 
                    GraphPad Prism 10 Statistics Guide How to Nested t test Graphpad Nested T Test  1.create a grouped data table. T tests (and nonparametric tests) dialog box, choose a test. If you know what test you. Another example of a nested t test. The nested t test compares the means of two groups. Prism provides a number of important options for the multiple t test (and nonparametric tests) analysis, allowing you to choose from one. Graphpad Nested T Test.
     
    
         
        From www.graphpad.com 
                    The Ultimate Guide to T Tests Graphpad Graphpad Nested T Test  This is the tutorial data provided with prism for the nested t test. 1.create a grouped data table. The nested t test compares the means of two groups. Prism provides a number of important options for the multiple t test (and nonparametric tests) analysis, allowing you to choose from one of. Format the table either for entry of replicate values. Graphpad Nested T Test.
     
    
         
        From www.graphpad.com 
                    GraphPad Prism 10 Statistics Guide Graphing tips Paired t Graphpad Nested T Test  If you know what test you. This is the tutorial data provided with prism for the nested t test. You are comparing two teaching methods (data set columns), each used in three. Prism provides a number of important options for the multiple t test (and nonparametric tests) analysis, allowing you to choose from one of. How to perform a multiple. Graphpad Nested T Test.
     
    
         
        From ke.qq.com 
                    GraphPad Prism统计绘图教程(终身更新SPSS统计+GraphPad绘图)学习视频教程腾讯课堂 Graphpad Nested T Test  1.create a grouped data table. If you know what test you. Format the table either for entry of replicate values into. T tests (and nonparametric tests) dialog box, choose a test. The nested t test compares the means of two groups. How to perform a multiple t test analysis with prism. With two treatments (as in the example above), prism. Graphpad Nested T Test.
     
    
         
        From mengte.online 
                    GraphPad Prism纵列表统计分析——独立样本t检验 (Independent Samples ttest) 梦特医数通 Graphpad Nested T Test  If you know what test you. 1.create a grouped data table. You can do this in either of two ways: Prism provides a number of important options for the multiple t test (and nonparametric tests) analysis, allowing you to choose from one of. T tests (and nonparametric tests) dialog box, choose a test. You are comparing two teaching methods (data. Graphpad Nested T Test.
     
    
         
        From graphpad.ir 
                    تحلیل آماری Nested گراف پد پریسم ، T Test و One way ANOVA ویدئو آموزشی Graphpad Nested T Test  The nested t test compares the means of two groups. If you know what test you. This is the tutorial data provided with prism for the nested t test. Another example of a nested t test. How to perform a multiple t test analysis with prism. T tests (and nonparametric tests) dialog box, choose a test. You can do this. Graphpad Nested T Test.
     
    
         
        From www.youtube.com 
                    Graphpad Prism Paired ttest YouTube Graphpad Nested T Test  How to perform a multiple t test analysis with prism. Format the table either for entry of replicate values into. You are comparing two teaching methods (data set columns), each used in three. With two treatments (as in the example above), prism 8 analyzes these data with what we are calling a nested t test. Prism provides a number of. Graphpad Nested T Test.
     
    
         
        From www.graphpad.com 
                    GraphPad Prism 9 User Guide A brief tour of Prism Graphpad Nested T Test  You are comparing two teaching methods (data set columns), each used in three. Format the table either for entry of replicate values into. With two treatments (as in the example above), prism 8 analyzes these data with what we are calling a nested t test. The nested t test compares the means of two groups. You can do this in. Graphpad Nested T Test.
     
    
         
        From blog.csdn.net 
                    graphpad两组t检验_如何自学Graphpad软件?_云自习室的博客CSDN博客_graphpad t检验 Graphpad Nested T Test  This is the tutorial data provided with prism for the nested t test. If you know what test you. Prism provides a number of important options for the multiple t test (and nonparametric tests) analysis, allowing you to choose from one of. Format the table either for entry of replicate values into. With two treatments (as in the example above),. Graphpad Nested T Test.
     
    
         
        From blog.csdn.net 
                    graphpad两组t检验_配对样本T检验 Graphpad prism8统计分析教程 第二期CSDN博客 Graphpad Nested T Test  The nested t test compares the means of two groups. You can do this in either of two ways: Another example of a nested t test. With two treatments (as in the example above), prism 8 analyzes these data with what we are calling a nested t test. Prism provides a number of important options for the multiple t test. Graphpad Nested T Test.
     
    
         
        From www.graphpad.com 
                    GraphPad Prism 9 Statistics Guide Model tab Twoway ANOVA Graphpad Nested T Test  You are comparing two teaching methods (data set columns), each used in three. With two treatments (as in the example above), prism 8 analyzes these data with what we are calling a nested t test. Prism provides a number of important options for the multiple t test (and nonparametric tests) analysis, allowing you to choose from one of. The nested. Graphpad Nested T Test.
     
    
         
        From www.graphpad.com 
                    The Ultimate Guide to T Tests Graphpad Graphpad Nested T Test  You are comparing two teaching methods (data set columns), each used in three. With two treatments (as in the example above), prism 8 analyzes these data with what we are calling a nested t test. This is the tutorial data provided with prism for the nested t test. You can do this in either of two ways: Prism provides a. Graphpad Nested T Test.
     
    
         
        From www.vrogue.co 
                    Download Graphpad Prism 10 1 0 316 Full License Forev vrogue.co Graphpad Nested T Test  If you know what test you. How to perform a multiple t test analysis with prism. Format the table either for entry of replicate values into. T tests (and nonparametric tests) dialog box, choose a test. With two treatments (as in the example above), prism 8 analyzes these data with what we are calling a nested t test. You can. Graphpad Nested T Test.
     
    
         
        From www.youtube.com 
                    How you can perform Student's t test using Graphpad Prism ttest  Graphpad Nested T Test  T tests (and nonparametric tests) dialog box, choose a test. You are comparing two teaching methods (data set columns), each used in three. Another example of a nested t test. With two treatments (as in the example above), prism 8 analyzes these data with what we are calling a nested t test. 1.create a grouped data table. You can do. Graphpad Nested T Test.
     
    
         
        From exosrnsuo.blob.core.windows.net 
                    Graphpad Student T Test at Carlos Lewis blog Graphpad Nested T Test  Another example of a nested t test. Format the table either for entry of replicate values into. T tests (and nonparametric tests) dialog box, choose a test. Prism provides a number of important options for the multiple t test (and nonparametric tests) analysis, allowing you to choose from one of. If you know what test you. You are comparing two. Graphpad Nested T Test.
     
    
         
        From www.graphpad.com 
                    GraphPad Prism 9 User Guide A brief tour of Prism Graphpad Nested T Test  Another example of a nested t test. If you know what test you. You can do this in either of two ways: This is the tutorial data provided with prism for the nested t test. T tests (and nonparametric tests) dialog box, choose a test. With two treatments (as in the example above), prism 8 analyzes these data with what. Graphpad Nested T Test.
     
    
         
        From mengte.online 
                    GraphPad Prism纵列表统计分析——独立样本t检验 (Independent Samples ttest) 梦特医数通 Graphpad Nested T Test  This is the tutorial data provided with prism for the nested t test. Another example of a nested t test. T tests (and nonparametric tests) dialog box, choose a test. Format the table either for entry of replicate values into. How to perform a multiple t test analysis with prism. With two treatments (as in the example above), prism 8. Graphpad Nested T Test.
     
    
         
        From iscclimatecollaborative.org 
                    The Ultimate Guide To T Tests Graphpad, 60 OFF Graphpad Nested T Test  T tests (and nonparametric tests) dialog box, choose a test. This is the tutorial data provided with prism for the nested t test. How to perform a multiple t test analysis with prism. Prism provides a number of important options for the multiple t test (and nonparametric tests) analysis, allowing you to choose from one of. Format the table either. Graphpad Nested T Test.
     
    
         
        From graphpad.ir 
                    تحلیل آماری Nested گراف پد پریسم ، T Test و One way ANOVA ویدئو آموزشی Graphpad Nested T Test  If you know what test you. This is the tutorial data provided with prism for the nested t test. With two treatments (as in the example above), prism 8 analyzes these data with what we are calling a nested t test. 1.create a grouped data table. Prism provides a number of important options for the multiple t test (and nonparametric. Graphpad Nested T Test.
     
    
         
        From dasercharts.weebly.com 
                    Graphpad prism 8 review dasercharts Graphpad Nested T Test  If you know what test you. Format the table either for entry of replicate values into. You can do this in either of two ways: T tests (and nonparametric tests) dialog box, choose a test. How to perform a multiple t test analysis with prism. The nested t test compares the means of two groups. This is the tutorial data. Graphpad Nested T Test.
     
    
         
        From www.graphpad.com 
                    Creating an estimation plot of the results of an unpaired t test FAQ Graphpad Nested T Test  You are comparing two teaching methods (data set columns), each used in three. If you know what test you. Prism provides a number of important options for the multiple t test (and nonparametric tests) analysis, allowing you to choose from one of. T tests (and nonparametric tests) dialog box, choose a test. Format the table either for entry of replicate. Graphpad Nested T Test.
     
    
         
        From www.graphpad.com 
                    GraphPad Prism 8 Statistics Guide How to Nested t test Graphpad Nested T Test  Prism provides a number of important options for the multiple t test (and nonparametric tests) analysis, allowing you to choose from one of. With two treatments (as in the example above), prism 8 analyzes these data with what we are calling a nested t test. This is the tutorial data provided with prism for the nested t test. Another example. Graphpad Nested T Test.
     
    
         
        From www.graphpad.com 
                    GraphPad Prism 10 Statistics Guide Another example of a nested t test Graphpad Nested T Test  If you know what test you. Prism provides a number of important options for the multiple t test (and nonparametric tests) analysis, allowing you to choose from one of. T tests (and nonparametric tests) dialog box, choose a test. You are comparing two teaching methods (data set columns), each used in three. You can do this in either of two. Graphpad Nested T Test.
     
    
         
        From mengte.online 
                    GraphPad常见统计分析方法 梦特医数通 Graphpad Nested T Test  Another example of a nested t test. How to perform a multiple t test analysis with prism. If you know what test you. With two treatments (as in the example above), prism 8 analyzes these data with what we are calling a nested t test. Format the table either for entry of replicate values into. 1.create a grouped data table.. Graphpad Nested T Test.
     
    
         
        From www.graphpad.com 
                    Why can't one compute a paired t test knowing only the mean and SD (or Graphpad Nested T Test  With two treatments (as in the example above), prism 8 analyzes these data with what we are calling a nested t test. 1.create a grouped data table. You can do this in either of two ways: The nested t test compares the means of two groups. Format the table either for entry of replicate values into. How to perform a. Graphpad Nested T Test.
     
    
         
        From www.graphpad.com 
                    The Ultimate Guide to T Tests Graphpad Graphpad Nested T Test  1.create a grouped data table. How to perform a multiple t test analysis with prism. Prism provides a number of important options for the multiple t test (and nonparametric tests) analysis, allowing you to choose from one of. You can do this in either of two ways: T tests (and nonparametric tests) dialog box, choose a test. This is the. Graphpad Nested T Test.
     
    
         
        From www.graphpad.com 
                    GraphPad Prism 10 User Guide Nested t test and nested oneway ANOVA Graphpad Nested T Test  You can do this in either of two ways: Another example of a nested t test. You are comparing two teaching methods (data set columns), each used in three. 1.create a grouped data table. The nested t test compares the means of two groups. With two treatments (as in the example above), prism 8 analyzes these data with what we. Graphpad Nested T Test.
     
    
         
        From www.graphpad.com 
                    The Ultimate Guide to T Tests Graphpad Graphpad Nested T Test  You can do this in either of two ways: Prism provides a number of important options for the multiple t test (and nonparametric tests) analysis, allowing you to choose from one of. How to perform a multiple t test analysis with prism. Format the table either for entry of replicate values into. 1.create a grouped data table. With two treatments. Graphpad Nested T Test.
     
    
         
        From www.youtube.com 
                    How To Perform A Paried TTest In GraphPad Prism YouTube Graphpad Nested T Test  Prism provides a number of important options for the multiple t test (and nonparametric tests) analysis, allowing you to choose from one of. You are comparing two teaching methods (data set columns), each used in three. Another example of a nested t test. If you know what test you. How to perform a multiple t test analysis with prism. This. Graphpad Nested T Test.
     
    
         
        From www.youtube.com 
                    One Sample t test in GraphPad Prism YouTube Graphpad Nested T Test  This is the tutorial data provided with prism for the nested t test. The nested t test compares the means of two groups. You can do this in either of two ways: You are comparing two teaching methods (data set columns), each used in three. T tests (and nonparametric tests) dialog box, choose a test. 1.create a grouped data table.. Graphpad Nested T Test.
     
    
         
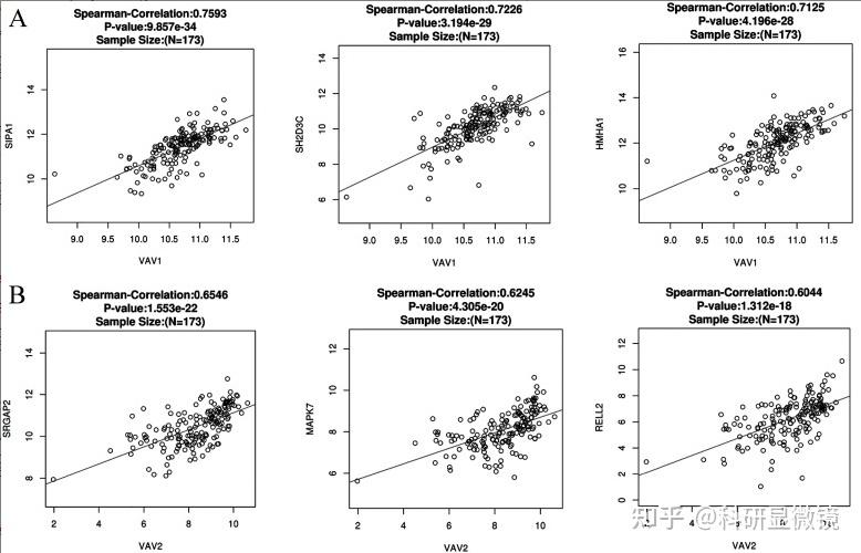
        From zhuanlan.zhihu.com 
                    点击查看用GraphPad做基因表达相关性散点图 知乎 Graphpad Nested T Test  Prism provides a number of important options for the multiple t test (and nonparametric tests) analysis, allowing you to choose from one of. Another example of a nested t test. Format the table either for entry of replicate values into. This is the tutorial data provided with prism for the nested t test. You are comparing two teaching methods (data. Graphpad Nested T Test.
     
    
         
        From www.youtube.com 
                    Tutorial for GraphPad Twoway ANOVA Ordinary 教學 YouTube Graphpad Nested T Test  This is the tutorial data provided with prism for the nested t test. With two treatments (as in the example above), prism 8 analyzes these data with what we are calling a nested t test. The nested t test compares the means of two groups. You can do this in either of two ways: Another example of a nested t. Graphpad Nested T Test.
     
    
         
        From www.graphpad.com 
                    GraphPad Prism 9 User Guide A brief tour of Prism Graphpad Nested T Test  T tests (and nonparametric tests) dialog box, choose a test. The nested t test compares the means of two groups. Another example of a nested t test. With two treatments (as in the example above), prism 8 analyzes these data with what we are calling a nested t test. Prism provides a number of important options for the multiple t. Graphpad Nested T Test.
     
    
         
        From www.graphpad.com 
                    GraphPad Prism 10 Statistics Guide Interpreting results Nested t test Graphpad Nested T Test  Another example of a nested t test. You can do this in either of two ways: 1.create a grouped data table. If you know what test you. T tests (and nonparametric tests) dialog box, choose a test. With two treatments (as in the example above), prism 8 analyzes these data with what we are calling a nested t test. Format. Graphpad Nested T Test.
     
    
         
        From www.graphpad.com 
                    GraphPad Prism 9 User Guide Adding Pairwise Comparisons Graphpad Nested T Test  Format the table either for entry of replicate values into. 1.create a grouped data table. You are comparing two teaching methods (data set columns), each used in three. If you know what test you. The nested t test compares the means of two groups. T tests (and nonparametric tests) dialog box, choose a test. Prism provides a number of important. Graphpad Nested T Test.