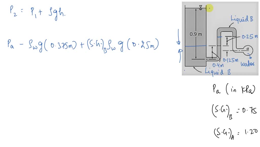
Determine The Gauge Pressure In Kpa At Point A . Define gauge pressure and absolute pressure. Pressure gauge b is to measure pressure at point a in a water flow. Determine the gage pressure in kpa at point a, if liquid a has sg = 1.20 and liquid b has sg = 0.75. If you limp into a gas station with a. Where \(p_{abs}\) is absolute pressure, \(p_g\) is gauge pressure, and \(p_{atm} \) is atmospheric pressure. Step 1/8understand the problem the problem involves calculating the gauge pressure at a specific point (point a) in a system. For example, if your tire gauge reads 34 psi (pounds per square. 3.19 determine the gage pressure in kpa at point a, if liquid a has a is water, and the tank on the left is open to the atmosphere. Our expert help has broken down your. The gauge pressure is calculated by subtracting the atmospheric pressure from the absolute pressure. For example, if your tire gauge reads 34 psi (pounds per square inch), then the absolute pressure is 34 psi plus 14.7 psi (\ ( {p}_ {\text. If the pressure at b is 84 kpa, estimate the pressure at a in kpa. The liquid surrounding point a is water, and the. Enter the absolute pressure and the. Your solution’s ready to go!
from www.numerade.com
Enter the absolute pressure and the. 3.19 determine the gage pressure in kpa at point a, if liquid a has a is water, and the tank on the left is open to the atmosphere. Our expert help has broken down your. Determine the gage pressure in kpa at point a, if liquid a has sg = 1.20 and liquid b has sg = 0.75. The liquid surrounding point a is water, and the. Step 1/8understand the problem the problem involves calculating the gauge pressure at a specific point (point a) in a system. Where \(p_{abs}\) is absolute pressure, \(p_g\) is gauge pressure, and \(p_{atm} \) is atmospheric pressure. For example, if your tire gauge reads 34 psi (pounds per square. Define gauge pressure and absolute pressure. The gauge pressure is calculated by subtracting the atmospheric pressure from the absolute pressure.
1 78 the gage pressure of the air in the tank shown n fig p1 78 i measured 0 be 80 kpa determine
Determine The Gauge Pressure In Kpa At Point A Define gauge pressure and absolute pressure. Determine the gage pressure in kpa at point a, if liquid a has sg = 1.20 and liquid b has sg = 0.75. Our expert help has broken down your. For example, if your tire gauge reads 34 psi (pounds per square inch), then the absolute pressure is 34 psi plus 14.7 psi (\ ( {p}_ {\text. If the pressure at b is 84 kpa, estimate the pressure at a in kpa. Step 1/8understand the problem the problem involves calculating the gauge pressure at a specific point (point a) in a system. The gauge pressure is calculated by subtracting the atmospheric pressure from the absolute pressure. Define gauge pressure and absolute pressure. Your solution’s ready to go! If you limp into a gas station with a. Pressure gauge b is to measure pressure at point a in a water flow. Where \(p_{abs}\) is absolute pressure, \(p_g\) is gauge pressure, and \(p_{atm} \) is atmospheric pressure. Enter the absolute pressure and the. The liquid surrounding point a is water, and the. For example, if your tire gauge reads 34 psi (pounds per square. 3.19 determine the gage pressure in kpa at point a, if liquid a has a is water, and the tank on the left is open to the atmosphere.
From www.coursehero.com
[Solved] . Determine the pressure in kPa at the following points a) Point... Course Hero Determine The Gauge Pressure In Kpa At Point A Our expert help has broken down your. Step 1/8understand the problem the problem involves calculating the gauge pressure at a specific point (point a) in a system. Where \(p_{abs}\) is absolute pressure, \(p_g\) is gauge pressure, and \(p_{atm} \) is atmospheric pressure. For example, if your tire gauge reads 34 psi (pounds per square. Determine the gage pressure in kpa. Determine The Gauge Pressure In Kpa At Point A.
From www.youtube.com
how to convert kpa to psi pressure converter YouTube Determine The Gauge Pressure In Kpa At Point A The liquid surrounding point a is water, and the. If you limp into a gas station with a. Enter the absolute pressure and the. Determine the gage pressure in kpa at point a, if liquid a has sg = 1.20 and liquid b has sg = 0.75. Pressure gauge b is to measure pressure at point a in a water. Determine The Gauge Pressure In Kpa At Point A.
From www.chegg.com
Solved In Fig. P2.11, pressure gage A reads 1.5 kPa (gage Determine The Gauge Pressure In Kpa At Point A Your solution’s ready to go! 3.19 determine the gage pressure in kpa at point a, if liquid a has a is water, and the tank on the left is open to the atmosphere. For example, if your tire gauge reads 34 psi (pounds per square. The gauge pressure is calculated by subtracting the atmospheric pressure from the absolute pressure. Determine. Determine The Gauge Pressure In Kpa At Point A.
From querypointofficial.blogspot.com
A vacuum gauge connected to a chamber reads 25 kPa at a location where the atmospheric pressure Determine The Gauge Pressure In Kpa At Point A Your solution’s ready to go! The liquid surrounding point a is water, and the. For example, if your tire gauge reads 34 psi (pounds per square inch), then the absolute pressure is 34 psi plus 14.7 psi (\ ( {p}_ {\text. Pressure gauge b is to measure pressure at point a in a water flow. Define gauge pressure and absolute. Determine The Gauge Pressure In Kpa At Point A.
From www.youtube.com
How to Convert Pressure Units mmHg & kPa YouTube Determine The Gauge Pressure In Kpa At Point A The liquid surrounding point a is water, and the. For example, if your tire gauge reads 34 psi (pounds per square inch), then the absolute pressure is 34 psi plus 14.7 psi (\ ( {p}_ {\text. Determine the gage pressure in kpa at point a, if liquid a has sg = 1.20 and liquid b has sg = 0.75. For. Determine The Gauge Pressure In Kpa At Point A.
From www.chegg.com
Solved Question 3 3.1 Determine the gauge pressure at point Determine The Gauge Pressure In Kpa At Point A Step 1/8understand the problem the problem involves calculating the gauge pressure at a specific point (point a) in a system. For example, if your tire gauge reads 34 psi (pounds per square. For example, if your tire gauge reads 34 psi (pounds per square inch), then the absolute pressure is 34 psi plus 14.7 psi (\ ( {p}_ {\text. If. Determine The Gauge Pressure In Kpa At Point A.
From www.chegg.com
Solved If the pressure at gage B is 87 KPa, calculate the Determine The Gauge Pressure In Kpa At Point A For example, if your tire gauge reads 34 psi (pounds per square. Pressure gauge b is to measure pressure at point a in a water flow. Our expert help has broken down your. The gauge pressure is calculated by subtracting the atmospheric pressure from the absolute pressure. The liquid surrounding point a is water, and the. Define gauge pressure and. Determine The Gauge Pressure In Kpa At Point A.
From www.chegg.com
Solved Determine the gage pressure at the center of the pipe Determine The Gauge Pressure In Kpa At Point A Step 1/8understand the problem the problem involves calculating the gauge pressure at a specific point (point a) in a system. For example, if your tire gauge reads 34 psi (pounds per square. If the pressure at b is 84 kpa, estimate the pressure at a in kpa. If you limp into a gas station with a. The liquid surrounding point. Determine The Gauge Pressure In Kpa At Point A.
From www.coursehero.com
[Solved] . 31. A container has initial gauge pressure of 0 kPa and air... Course Hero Determine The Gauge Pressure In Kpa At Point A Determine the gage pressure in kpa at point a, if liquid a has sg = 1.20 and liquid b has sg = 0.75. The gauge pressure is calculated by subtracting the atmospheric pressure from the absolute pressure. Pressure gauge b is to measure pressure at point a in a water flow. Our expert help has broken down your. For example,. Determine The Gauge Pressure In Kpa At Point A.
From www.numerade.com
SOLVED 5) The gauge pressure in a liquid at a depth of 3 m is read to be 42 kPa. Determine the Determine The Gauge Pressure In Kpa At Point A If the pressure at b is 84 kpa, estimate the pressure at a in kpa. Pressure gauge b is to measure pressure at point a in a water flow. Enter the absolute pressure and the. For example, if your tire gauge reads 34 psi (pounds per square inch), then the absolute pressure is 34 psi plus 14.7 psi (\ (. Determine The Gauge Pressure In Kpa At Point A.
From www.numerade.com
SOLVED A 400L rigid tank contains 5 kg of air at 25°C. Determine the reading on the pressure Determine The Gauge Pressure In Kpa At Point A Your solution’s ready to go! For example, if your tire gauge reads 34 psi (pounds per square. Determine the gage pressure in kpa at point a, if liquid a has sg = 1.20 and liquid b has sg = 0.75. Enter the absolute pressure and the. Where \(p_{abs}\) is absolute pressure, \(p_g\) is gauge pressure, and \(p_{atm} \) is atmospheric. Determine The Gauge Pressure In Kpa At Point A.
From www.numerade.com
SOLVED A water pipe is connected to a doubleU manometer as shown in Figure below at a location Determine The Gauge Pressure In Kpa At Point A Enter the absolute pressure and the. Your solution’s ready to go! Step 1/8understand the problem the problem involves calculating the gauge pressure at a specific point (point a) in a system. For example, if your tire gauge reads 34 psi (pounds per square inch), then the absolute pressure is 34 psi plus 14.7 psi (\ ( {p}_ {\text. The gauge. Determine The Gauge Pressure In Kpa At Point A.
From www.coursehero.com
[Solved] . Determine the pressure in kPa at the following points a) Point... Course Hero Determine The Gauge Pressure In Kpa At Point A Pressure gauge b is to measure pressure at point a in a water flow. 3.19 determine the gage pressure in kpa at point a, if liquid a has a is water, and the tank on the left is open to the atmosphere. Define gauge pressure and absolute pressure. Enter the absolute pressure and the. Determine the gage pressure in kpa. Determine The Gauge Pressure In Kpa At Point A.
From www.chegg.com
Solved EX Hydrostatic Pressure Calculations Calculate Th... Determine The Gauge Pressure In Kpa At Point A For example, if your tire gauge reads 34 psi (pounds per square inch), then the absolute pressure is 34 psi plus 14.7 psi (\ ( {p}_ {\text. Determine the gage pressure in kpa at point a, if liquid a has sg = 1.20 and liquid b has sg = 0.75. Our expert help has broken down your. Enter the absolute. Determine The Gauge Pressure In Kpa At Point A.
From www.chegg.com
Solved Determine the gage pressure in kPa at point a, if Determine The Gauge Pressure In Kpa At Point A If you limp into a gas station with a. Determine the gage pressure in kpa at point a, if liquid a has sg = 1.20 and liquid b has sg = 0.75. Step 1/8understand the problem the problem involves calculating the gauge pressure at a specific point (point a) in a system. Our expert help has broken down your. Enter. Determine The Gauge Pressure In Kpa At Point A.
From www.chegg.com
Solved Determine the gauge pressure in kPa at point a, if Determine The Gauge Pressure In Kpa At Point A Enter the absolute pressure and the. Define gauge pressure and absolute pressure. If the pressure at b is 84 kpa, estimate the pressure at a in kpa. Where \(p_{abs}\) is absolute pressure, \(p_g\) is gauge pressure, and \(p_{atm} \) is atmospheric pressure. For example, if your tire gauge reads 34 psi (pounds per square. For example, if your tire gauge. Determine The Gauge Pressure In Kpa At Point A.
From www.numerade.com
SOLVED Pressure gauge B is to measure pressure at point A in a water flow. If the pressure at B Determine The Gauge Pressure In Kpa At Point A Step 1/8understand the problem the problem involves calculating the gauge pressure at a specific point (point a) in a system. The gauge pressure is calculated by subtracting the atmospheric pressure from the absolute pressure. 3.19 determine the gage pressure in kpa at point a, if liquid a has a is water, and the tank on the left is open to. Determine The Gauge Pressure In Kpa At Point A.
From www.numerade.com
SOLVED Determine the gauge pressure in kPa at a location where the barometric reading is 760 mm Determine The Gauge Pressure In Kpa At Point A If you limp into a gas station with a. Step 1/8understand the problem the problem involves calculating the gauge pressure at a specific point (point a) in a system. Your solution’s ready to go! For example, if your tire gauge reads 34 psi (pounds per square. Determine the gage pressure in kpa at point a, if liquid a has sg. Determine The Gauge Pressure In Kpa At Point A.
From www.toppr.com
An automobile tyre is filled to a gauge pressure of 200, kPa when its temperature is 20^{circ} C Determine The Gauge Pressure In Kpa At Point A If the pressure at b is 84 kpa, estimate the pressure at a in kpa. Define gauge pressure and absolute pressure. The liquid surrounding point a is water, and the. Our expert help has broken down your. Pressure gauge b is to measure pressure at point a in a water flow. Determine the gage pressure in kpa at point a,. Determine The Gauge Pressure In Kpa At Point A.
From www.youtube.com
Absolute Pressure vs Gauge Pressure Fluid Mechanics Physics Problems YouTube Determine The Gauge Pressure In Kpa At Point A If the pressure at b is 84 kpa, estimate the pressure at a in kpa. The gauge pressure is calculated by subtracting the atmospheric pressure from the absolute pressure. Step 1/8understand the problem the problem involves calculating the gauge pressure at a specific point (point a) in a system. 3.19 determine the gage pressure in kpa at point a, if. Determine The Gauge Pressure In Kpa At Point A.
From www.chegg.com
Solved a) Find the absolute pressure at point A (in kPa Determine The Gauge Pressure In Kpa At Point A Step 1/8understand the problem the problem involves calculating the gauge pressure at a specific point (point a) in a system. Where \(p_{abs}\) is absolute pressure, \(p_g\) is gauge pressure, and \(p_{atm} \) is atmospheric pressure. Define gauge pressure and absolute pressure. The liquid surrounding point a is water, and the. Your solution’s ready to go! If you limp into a. Determine The Gauge Pressure In Kpa At Point A.
From www.numerade.com
SOLVED In Fig. P2, pressure gauge A reads 1.5 kPa (gage). The fluids are at 20°C. Determine Determine The Gauge Pressure In Kpa At Point A Pressure gauge b is to measure pressure at point a in a water flow. The gauge pressure is calculated by subtracting the atmospheric pressure from the absolute pressure. Enter the absolute pressure and the. If you limp into a gas station with a. If the pressure at b is 84 kpa, estimate the pressure at a in kpa. Our expert. Determine The Gauge Pressure In Kpa At Point A.
From www.numerade.com
The gauge pressure of the air in the tank shown in the figure is measured to be kPa. Determine Determine The Gauge Pressure In Kpa At Point A For example, if your tire gauge reads 34 psi (pounds per square. Enter the absolute pressure and the. Determine the gage pressure in kpa at point a, if liquid a has sg = 1.20 and liquid b has sg = 0.75. 3.19 determine the gage pressure in kpa at point a, if liquid a has a is water, and the. Determine The Gauge Pressure In Kpa At Point A.
From www.chegg.com
Solved Determine the gage pressure in kPa at point a, if Determine The Gauge Pressure In Kpa At Point A If you limp into a gas station with a. Determine the gage pressure in kpa at point a, if liquid a has sg = 1.20 and liquid b has sg = 0.75. Pressure gauge b is to measure pressure at point a in a water flow. Define gauge pressure and absolute pressure. For example, if your tire gauge reads 34. Determine The Gauge Pressure In Kpa At Point A.
From www.chegg.com
Solved Calculate the pressure, in kPa, at A,B,C, and D in Determine The Gauge Pressure In Kpa At Point A Determine the gage pressure in kpa at point a, if liquid a has sg = 1.20 and liquid b has sg = 0.75. Your solution’s ready to go! The gauge pressure is calculated by subtracting the atmospheric pressure from the absolute pressure. For example, if your tire gauge reads 34 psi (pounds per square. If you limp into a gas. Determine The Gauge Pressure In Kpa At Point A.
From www.chegg.com
Solved Open 49 kPa Air + Problem 1 The closed tank in the Determine The Gauge Pressure In Kpa At Point A Step 1/8understand the problem the problem involves calculating the gauge pressure at a specific point (point a) in a system. The liquid surrounding point a is water, and the. If you limp into a gas station with a. Our expert help has broken down your. Pressure gauge b is to measure pressure at point a in a water flow. Where. Determine The Gauge Pressure In Kpa At Point A.
From www.chegg.com
Solved Determine the pressure in kPa at the following Determine The Gauge Pressure In Kpa At Point A Enter the absolute pressure and the. For example, if your tire gauge reads 34 psi (pounds per square. Pressure gauge b is to measure pressure at point a in a water flow. Step 1/8understand the problem the problem involves calculating the gauge pressure at a specific point (point a) in a system. If the pressure at b is 84 kpa,. Determine The Gauge Pressure In Kpa At Point A.
From studylib.net
Chapter 2 • Pressure Distribution in a Fluid Determine The Gauge Pressure In Kpa At Point A 3.19 determine the gage pressure in kpa at point a, if liquid a has a is water, and the tank on the left is open to the atmosphere. Your solution’s ready to go! Our expert help has broken down your. If you limp into a gas station with a. Define gauge pressure and absolute pressure. Pressure gauge b is to. Determine The Gauge Pressure In Kpa At Point A.
From www.numerade.com
SOLVED 3.24 Determine the gauge pressure in kPa at point a, if liquid A has SG=1.20 and liquid Determine The Gauge Pressure In Kpa At Point A The liquid surrounding point a is water, and the. Where \(p_{abs}\) is absolute pressure, \(p_g\) is gauge pressure, and \(p_{atm} \) is atmospheric pressure. The gauge pressure is calculated by subtracting the atmospheric pressure from the absolute pressure. Enter the absolute pressure and the. For example, if your tire gauge reads 34 psi (pounds per square inch), then the absolute. Determine The Gauge Pressure In Kpa At Point A.
From www.chegg.com
Solved 8) a. Determine the gage pressure at point A in fig. Determine The Gauge Pressure In Kpa At Point A For example, if your tire gauge reads 34 psi (pounds per square inch), then the absolute pressure is 34 psi plus 14.7 psi (\ ( {p}_ {\text. Our expert help has broken down your. Where \(p_{abs}\) is absolute pressure, \(p_g\) is gauge pressure, and \(p_{atm} \) is atmospheric pressure. If the pressure at b is 84 kpa, estimate the pressure. Determine The Gauge Pressure In Kpa At Point A.
From www.chegg.com
Solved Determine the gage pressure in kPa at point alpha in Determine The Gauge Pressure In Kpa At Point A Where \(p_{abs}\) is absolute pressure, \(p_g\) is gauge pressure, and \(p_{atm} \) is atmospheric pressure. Step 1/8understand the problem the problem involves calculating the gauge pressure at a specific point (point a) in a system. Pressure gauge b is to measure pressure at point a in a water flow. If the pressure at b is 84 kpa, estimate the pressure. Determine The Gauge Pressure In Kpa At Point A.
From www.studocu.com
2. Pressure easy access CHAPTER 2 PRESSURE The intensity of pressure, at any point in a Determine The Gauge Pressure In Kpa At Point A Your solution’s ready to go! Enter the absolute pressure and the. 3.19 determine the gage pressure in kpa at point a, if liquid a has a is water, and the tank on the left is open to the atmosphere. If you limp into a gas station with a. If the pressure at b is 84 kpa, estimate the pressure at. Determine The Gauge Pressure In Kpa At Point A.
From www.chegg.com
Solved Determine the gage pressure in psig at point a, if Determine The Gauge Pressure In Kpa At Point A Determine the gage pressure in kpa at point a, if liquid a has sg = 1.20 and liquid b has sg = 0.75. If you limp into a gas station with a. For example, if your tire gauge reads 34 psi (pounds per square. For example, if your tire gauge reads 34 psi (pounds per square inch), then the absolute. Determine The Gauge Pressure In Kpa At Point A.
From www.youtube.com
Absolute and Gauge Pressure of Air and Water with Manometer YouTube Determine The Gauge Pressure In Kpa At Point A Where \(p_{abs}\) is absolute pressure, \(p_g\) is gauge pressure, and \(p_{atm} \) is atmospheric pressure. If the pressure at b is 84 kpa, estimate the pressure at a in kpa. The liquid surrounding point a is water, and the. Our expert help has broken down your. Pressure gauge b is to measure pressure at point a in a water flow.. Determine The Gauge Pressure In Kpa At Point A.
From www.numerade.com
1 78 the gage pressure of the air in the tank shown n fig p1 78 i measured 0 be 80 kpa determine Determine The Gauge Pressure In Kpa At Point A Where \(p_{abs}\) is absolute pressure, \(p_g\) is gauge pressure, and \(p_{atm} \) is atmospheric pressure. For example, if your tire gauge reads 34 psi (pounds per square. If the pressure at b is 84 kpa, estimate the pressure at a in kpa. 3.19 determine the gage pressure in kpa at point a, if liquid a has a is water, and. Determine The Gauge Pressure In Kpa At Point A.