Xdx Art Paint By Numbers . Xdxart diy paint by numbers adult kit with brushes pigment arts craft canvas oil. Are you new to the world of paint by numbers or looking to improve your painting techniques? Open the corresponding paint for the number you wish to work on. The first step is to make sure you have a bright and comfortable space to paint in. Free delivery and returns on eligible orders. Buy xdxart diy oil painting paint by number kit for kids adults beginner 16x20 inch. Shop amazon for xdxart paint by numbers diy painting kit with brushes pigment arts craft canvas oil painting artwork (grape. Xdxart paint by numbers diy painting kit with brushes pigment arts craft canvas oil painting. Xdxart paint by numbers diy painting kit with brushes pigment arts craft canvas oil painting.
from www.reddit.com
Buy xdxart diy oil painting paint by number kit for kids adults beginner 16x20 inch. The first step is to make sure you have a bright and comfortable space to paint in. Xdxart paint by numbers diy painting kit with brushes pigment arts craft canvas oil painting. Shop amazon for xdxart paint by numbers diy painting kit with brushes pigment arts craft canvas oil painting artwork (grape. Free delivery and returns on eligible orders. Xdxart diy paint by numbers adult kit with brushes pigment arts craft canvas oil. Are you new to the world of paint by numbers or looking to improve your painting techniques? Open the corresponding paint for the number you wish to work on. Xdxart paint by numbers diy painting kit with brushes pigment arts craft canvas oil painting.
The April Update r/Manmino
Xdx Art Paint By Numbers Shop amazon for xdxart paint by numbers diy painting kit with brushes pigment arts craft canvas oil painting artwork (grape. Xdxart paint by numbers diy painting kit with brushes pigment arts craft canvas oil painting. Shop amazon for xdxart paint by numbers diy painting kit with brushes pigment arts craft canvas oil painting artwork (grape. The first step is to make sure you have a bright and comfortable space to paint in. Xdxart diy paint by numbers adult kit with brushes pigment arts craft canvas oil. Xdxart paint by numbers diy painting kit with brushes pigment arts craft canvas oil painting. Are you new to the world of paint by numbers or looking to improve your painting techniques? Buy xdxart diy oil painting paint by number kit for kids adults beginner 16x20 inch. Free delivery and returns on eligible orders. Open the corresponding paint for the number you wish to work on.
From www.alamy.com
Set of tattoo in y2k, 1990s, 2000s style. Emo goth element design with Xdx Art Paint By Numbers Xdxart paint by numbers diy painting kit with brushes pigment arts craft canvas oil painting. Xdxart diy paint by numbers adult kit with brushes pigment arts craft canvas oil. Xdxart paint by numbers diy painting kit with brushes pigment arts craft canvas oil painting. Shop amazon for xdxart paint by numbers diy painting kit with brushes pigment arts craft canvas. Xdx Art Paint By Numbers.
From www.vecteezy.com
XDX letter technology logo design on white background. XDX creative Xdx Art Paint By Numbers Shop amazon for xdxart paint by numbers diy painting kit with brushes pigment arts craft canvas oil painting artwork (grape. Open the corresponding paint for the number you wish to work on. The first step is to make sure you have a bright and comfortable space to paint in. Are you new to the world of paint by numbers or. Xdx Art Paint By Numbers.
From www.mercadolivre.com.br
XDX INOX Página do vendedor Xdx Art Paint By Numbers Shop amazon for xdxart paint by numbers diy painting kit with brushes pigment arts craft canvas oil painting artwork (grape. Buy xdxart diy oil painting paint by number kit for kids adults beginner 16x20 inch. Open the corresponding paint for the number you wish to work on. Xdxart diy paint by numbers adult kit with brushes pigment arts craft canvas. Xdx Art Paint By Numbers.
From www.vecteezy.com
XDX letter logo design on black background. XDX creative initials Xdx Art Paint By Numbers Shop amazon for xdxart paint by numbers diy painting kit with brushes pigment arts craft canvas oil painting artwork (grape. Xdxart diy paint by numbers adult kit with brushes pigment arts craft canvas oil. Free delivery and returns on eligible orders. Are you new to the world of paint by numbers or looking to improve your painting techniques? The first. Xdx Art Paint By Numbers.
From es.vecteezy.com
diseño del logotipo de la letra xdx sobre fondo blanco. xdx concepto de Xdx Art Paint By Numbers Shop amazon for xdxart paint by numbers diy painting kit with brushes pigment arts craft canvas oil painting artwork (grape. Xdxart paint by numbers diy painting kit with brushes pigment arts craft canvas oil painting. Buy xdxart diy oil painting paint by number kit for kids adults beginner 16x20 inch. Xdxart paint by numbers diy painting kit with brushes pigment. Xdx Art Paint By Numbers.
From www.linkedin.com
Virtuosity on LinkedIn Meet Structural WorkSuite STAAD and RAM Xdx Art Paint By Numbers Xdxart paint by numbers diy painting kit with brushes pigment arts craft canvas oil painting. Buy xdxart diy oil painting paint by number kit for kids adults beginner 16x20 inch. Xdxart paint by numbers diy painting kit with brushes pigment arts craft canvas oil painting. Are you new to the world of paint by numbers or looking to improve your. Xdx Art Paint By Numbers.
From www.youtube.com
💙🩷💛💚🧡🩵art artwork satisfying shorts youtubeshorts painting viral Xdx Art Paint By Numbers Shop amazon for xdxart paint by numbers diy painting kit with brushes pigment arts craft canvas oil painting artwork (grape. Free delivery and returns on eligible orders. Xdxart paint by numbers diy painting kit with brushes pigment arts craft canvas oil painting. Xdxart diy paint by numbers adult kit with brushes pigment arts craft canvas oil. The first step is. Xdx Art Paint By Numbers.
From www.artstation.com
ArtStation XDX Xdx Art Paint By Numbers Free delivery and returns on eligible orders. Shop amazon for xdxart paint by numbers diy painting kit with brushes pigment arts craft canvas oil painting artwork (grape. Xdxart paint by numbers diy painting kit with brushes pigment arts craft canvas oil painting. Are you new to the world of paint by numbers or looking to improve your painting techniques? Xdxart. Xdx Art Paint By Numbers.
From vamkartina.ru
Символизм. Абстракция. Авангард Репродукции картин 2 Xdx Art Paint By Numbers Shop amazon for xdxart paint by numbers diy painting kit with brushes pigment arts craft canvas oil painting artwork (grape. Are you new to the world of paint by numbers or looking to improve your painting techniques? Open the corresponding paint for the number you wish to work on. Xdxart paint by numbers diy painting kit with brushes pigment arts. Xdx Art Paint By Numbers.
From picclick.co.uk
CRAFT LARGE ALPHABET Letter Stencils Templates Numbers Symbol Wall Xdx Art Paint By Numbers Xdxart diy paint by numbers adult kit with brushes pigment arts craft canvas oil. Are you new to the world of paint by numbers or looking to improve your painting techniques? Shop amazon for xdxart paint by numbers diy painting kit with brushes pigment arts craft canvas oil painting artwork (grape. Xdxart paint by numbers diy painting kit with brushes. Xdx Art Paint By Numbers.
From www.dreamstime.com
XDX Letter Logo Design on WHITE Background. XDX Creative Initials Xdx Art Paint By Numbers Xdxart paint by numbers diy painting kit with brushes pigment arts craft canvas oil painting. Open the corresponding paint for the number you wish to work on. Xdxart diy paint by numbers adult kit with brushes pigment arts craft canvas oil. Free delivery and returns on eligible orders. Are you new to the world of paint by numbers or looking. Xdx Art Paint By Numbers.
From www.alamy.com
Automated delivery robot and clock. Precise scheduled express automated Xdx Art Paint By Numbers Shop amazon for xdxart paint by numbers diy painting kit with brushes pigment arts craft canvas oil painting artwork (grape. The first step is to make sure you have a bright and comfortable space to paint in. Are you new to the world of paint by numbers or looking to improve your painting techniques? Xdxart paint by numbers diy painting. Xdx Art Paint By Numbers.
From www.alamy.com
Xdx logo hires stock photography and images Alamy Xdx Art Paint By Numbers Shop amazon for xdxart paint by numbers diy painting kit with brushes pigment arts craft canvas oil painting artwork (grape. Open the corresponding paint for the number you wish to work on. Xdxart paint by numbers diy painting kit with brushes pigment arts craft canvas oil painting. Are you new to the world of paint by numbers or looking to. Xdx Art Paint By Numbers.
From fineartamerica.com
Xdx Painting by Manierre Dawson Fine Art America Xdx Art Paint By Numbers The first step is to make sure you have a bright and comfortable space to paint in. Xdxart paint by numbers diy painting kit with brushes pigment arts craft canvas oil painting. Shop amazon for xdxart paint by numbers diy painting kit with brushes pigment arts craft canvas oil painting artwork (grape. Open the corresponding paint for the number you. Xdx Art Paint By Numbers.
From www.reddit.com
Fan art of the Xbox Series XDX aka if Microsoft amd Sony worked Xdx Art Paint By Numbers Xdxart paint by numbers diy painting kit with brushes pigment arts craft canvas oil painting. Buy xdxart diy oil painting paint by number kit for kids adults beginner 16x20 inch. Xdxart diy paint by numbers adult kit with brushes pigment arts craft canvas oil. Open the corresponding paint for the number you wish to work on. The first step is. Xdx Art Paint By Numbers.
From www.youtube.com
Two easy painting ideas for beginners 26th march 🖌️🎨art painting Xdx Art Paint By Numbers Buy xdxart diy oil painting paint by number kit for kids adults beginner 16x20 inch. Free delivery and returns on eligible orders. Xdxart paint by numbers diy painting kit with brushes pigment arts craft canvas oil painting. Xdxart diy paint by numbers adult kit with brushes pigment arts craft canvas oil. Are you new to the world of paint by. Xdx Art Paint By Numbers.
From www.alamy.com
Xdx logo hires stock photography and images Alamy Xdx Art Paint By Numbers Shop amazon for xdxart paint by numbers diy painting kit with brushes pigment arts craft canvas oil painting artwork (grape. Xdxart diy paint by numbers adult kit with brushes pigment arts craft canvas oil. Buy xdxart diy oil painting paint by number kit for kids adults beginner 16x20 inch. Are you new to the world of paint by numbers or. Xdx Art Paint By Numbers.
From www.dreamstime.com
XDX Letter Logo Design on White Background. XDX Creative Initials Xdx Art Paint By Numbers Xdxart paint by numbers diy painting kit with brushes pigment arts craft canvas oil painting. The first step is to make sure you have a bright and comfortable space to paint in. Open the corresponding paint for the number you wish to work on. Shop amazon for xdxart paint by numbers diy painting kit with brushes pigment arts craft canvas. Xdx Art Paint By Numbers.
From brainly.in
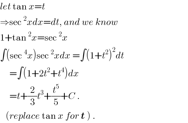
Evaluate integral of x²e^xdx by integration parts method Brainly.in Xdx Art Paint By Numbers The first step is to make sure you have a bright and comfortable space to paint in. Are you new to the world of paint by numbers or looking to improve your painting techniques? Xdxart paint by numbers diy painting kit with brushes pigment arts craft canvas oil painting. Open the corresponding paint for the number you wish to work. Xdx Art Paint By Numbers.
From www.reddit.com
Can an AI art bot paint an ice cream van with slightlyoff Disney Xdx Art Paint By Numbers Are you new to the world of paint by numbers or looking to improve your painting techniques? Shop amazon for xdxart paint by numbers diy painting kit with brushes pigment arts craft canvas oil painting artwork (grape. The first step is to make sure you have a bright and comfortable space to paint in. Buy xdxart diy oil painting paint. Xdx Art Paint By Numbers.
From www.vecteezy.com
XDX logo. XDX letter. XDX letter logo design. Initials XDX logo linked Xdx Art Paint By Numbers Xdxart diy paint by numbers adult kit with brushes pigment arts craft canvas oil. Open the corresponding paint for the number you wish to work on. Are you new to the world of paint by numbers or looking to improve your painting techniques? The first step is to make sure you have a bright and comfortable space to paint in.. Xdx Art Paint By Numbers.
From www.indiamart.com
XDX Metal Cutting Wheel at Rs 9.5/piece Metal Cut off Wheel in Pune Xdx Art Paint By Numbers Xdxart diy paint by numbers adult kit with brushes pigment arts craft canvas oil. Free delivery and returns on eligible orders. Shop amazon for xdxart paint by numbers diy painting kit with brushes pigment arts craft canvas oil painting artwork (grape. Open the corresponding paint for the number you wish to work on. Are you new to the world of. Xdx Art Paint By Numbers.
From www.walmart.com
Easy Lawn Mower Lift for Riding Tractors , 800 Lbs Capacity Lawn Xdx Art Paint By Numbers Xdxart diy paint by numbers adult kit with brushes pigment arts craft canvas oil. Buy xdxart diy oil painting paint by number kit for kids adults beginner 16x20 inch. Shop amazon for xdxart paint by numbers diy painting kit with brushes pigment arts craft canvas oil painting artwork (grape. The first step is to make sure you have a bright. Xdx Art Paint By Numbers.
From burdenlove.deviantart.com
Uhh. no xdx by BurdenLove on DeviantArt Xdx Art Paint By Numbers The first step is to make sure you have a bright and comfortable space to paint in. Open the corresponding paint for the number you wish to work on. Buy xdxart diy oil painting paint by number kit for kids adults beginner 16x20 inch. Shop amazon for xdxart paint by numbers diy painting kit with brushes pigment arts craft canvas. Xdx Art Paint By Numbers.
From www.vecteezy.com
XDX letter logo design on white background. XDX creative circle letter Xdx Art Paint By Numbers Are you new to the world of paint by numbers or looking to improve your painting techniques? Shop amazon for xdxart paint by numbers diy painting kit with brushes pigment arts craft canvas oil painting artwork (grape. Xdxart paint by numbers diy painting kit with brushes pigment arts craft canvas oil painting. Xdxart paint by numbers diy painting kit with. Xdx Art Paint By Numbers.
From www.alamy.com
Cute little girl using a telescope to study Vector Xdx Art Paint By Numbers Xdxart paint by numbers diy painting kit with brushes pigment arts craft canvas oil painting. Buy xdxart diy oil painting paint by number kit for kids adults beginner 16x20 inch. Free delivery and returns on eligible orders. The first step is to make sure you have a bright and comfortable space to paint in. Xdxart paint by numbers diy painting. Xdx Art Paint By Numbers.
From www.alamy.com
Human hands crafting clay bowl ink contour hand drawn. Two hands making Xdx Art Paint By Numbers Are you new to the world of paint by numbers or looking to improve your painting techniques? Xdxart paint by numbers diy painting kit with brushes pigment arts craft canvas oil painting. Free delivery and returns on eligible orders. Buy xdxart diy oil painting paint by number kit for kids adults beginner 16x20 inch. The first step is to make. Xdx Art Paint By Numbers.
From www.youtube.com
KARBALA History painting Muharramimamhussinshortshortsshortsvideo Xdx Art Paint By Numbers Buy xdxart diy oil painting paint by number kit for kids adults beginner 16x20 inch. Xdxart paint by numbers diy painting kit with brushes pigment arts craft canvas oil painting. Xdxart diy paint by numbers adult kit with brushes pigment arts craft canvas oil. The first step is to make sure you have a bright and comfortable space to paint. Xdx Art Paint By Numbers.
From www.reddit.com
The April Update r/Manmino Xdx Art Paint By Numbers Free delivery and returns on eligible orders. Xdxart paint by numbers diy painting kit with brushes pigment arts craft canvas oil painting. Are you new to the world of paint by numbers or looking to improve your painting techniques? Xdxart diy paint by numbers adult kit with brushes pigment arts craft canvas oil. Shop amazon for xdxart paint by numbers. Xdx Art Paint By Numbers.
From www.vecteezy.com
XDX letter logo design on black background. XDX creative initials Xdx Art Paint By Numbers The first step is to make sure you have a bright and comfortable space to paint in. Xdxart paint by numbers diy painting kit with brushes pigment arts craft canvas oil painting. Xdxart diy paint by numbers adult kit with brushes pigment arts craft canvas oil. Open the corresponding paint for the number you wish to work on. Buy xdxart. Xdx Art Paint By Numbers.
From www.tinkutara.com
sec6xdx Tinku Tara Xdx Art Paint By Numbers Xdxart paint by numbers diy painting kit with brushes pigment arts craft canvas oil painting. Xdxart paint by numbers diy painting kit with brushes pigment arts craft canvas oil painting. Shop amazon for xdxart paint by numbers diy painting kit with brushes pigment arts craft canvas oil painting artwork (grape. Are you new to the world of paint by numbers. Xdx Art Paint By Numbers.
From www.lazada.co.id
XDX 1 Pc 25Mm Logam Perak DIY 3D Italic Huruf Alfabet Nomor Digital Xdx Art Paint By Numbers Xdxart paint by numbers diy painting kit with brushes pigment arts craft canvas oil painting. Xdxart paint by numbers diy painting kit with brushes pigment arts craft canvas oil painting. Are you new to the world of paint by numbers or looking to improve your painting techniques? Xdxart diy paint by numbers adult kit with brushes pigment arts craft canvas. Xdx Art Paint By Numbers.
From stock.adobe.com
Sunset over the lake, evening sunset view in anime wallpaper background Xdx Art Paint By Numbers Free delivery and returns on eligible orders. Shop amazon for xdxart paint by numbers diy painting kit with brushes pigment arts craft canvas oil painting artwork (grape. Are you new to the world of paint by numbers or looking to improve your painting techniques? Buy xdxart diy oil painting paint by number kit for kids adults beginner 16x20 inch. Xdxart. Xdx Art Paint By Numbers.
From www.youtube.com
Animation FAN ART XDX YouTube Xdx Art Paint By Numbers Are you new to the world of paint by numbers or looking to improve your painting techniques? Xdxart diy paint by numbers adult kit with brushes pigment arts craft canvas oil. Xdxart paint by numbers diy painting kit with brushes pigment arts craft canvas oil painting. Buy xdxart diy oil painting paint by number kit for kids adults beginner 16x20. Xdx Art Paint By Numbers.
From stock.adobe.com
Tiny cute adorable white goat, intricate details. Cartoon big eyed Xdx Art Paint By Numbers Buy xdxart diy oil painting paint by number kit for kids adults beginner 16x20 inch. Open the corresponding paint for the number you wish to work on. Free delivery and returns on eligible orders. Xdxart paint by numbers diy painting kit with brushes pigment arts craft canvas oil painting. Xdxart diy paint by numbers adult kit with brushes pigment arts. Xdx Art Paint By Numbers.