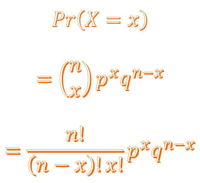
How To Find X In Binomial Probability . The binomial distribution formula for probabilities is the following: N is the number of trials. X is the number of successes. However, for the binomial random variable there are much simpler formulas. We would like to determine the probabilities associated with the binomial distribution more generally, i.e. To find this probability, you need to use the following equation: Let’s break down the syntax of that function in google sheets: P is the probability of a. If x is a binomial random variable with parameters n and. Once you have determined that an experiment is a binomial experiment, then you can apply either the formula or technology (like a ti calculator) to find any related probabilities. Enter “=binomdist(a a, n n, p p, false)” to find the probability of a a successes in n n trials with probability of success p p.
from www.youtube.com
If x is a binomial random variable with parameters n and. However, for the binomial random variable there are much simpler formulas. N is the number of trials. We would like to determine the probabilities associated with the binomial distribution more generally, i.e. Once you have determined that an experiment is a binomial experiment, then you can apply either the formula or technology (like a ti calculator) to find any related probabilities. X is the number of successes. P is the probability of a. To find this probability, you need to use the following equation: Enter “=binomdist(a a, n n, p p, false)” to find the probability of a a successes in n n trials with probability of success p p. The binomial distribution formula for probabilities is the following:
5.3 The binomial distribution Pt 2 Using the calculator YouTube
How To Find X In Binomial Probability However, for the binomial random variable there are much simpler formulas. However, for the binomial random variable there are much simpler formulas. Enter “=binomdist(a a, n n, p p, false)” to find the probability of a a successes in n n trials with probability of success p p. P is the probability of a. To find this probability, you need to use the following equation: Let’s break down the syntax of that function in google sheets: The binomial distribution formula for probabilities is the following: Once you have determined that an experiment is a binomial experiment, then you can apply either the formula or technology (like a ti calculator) to find any related probabilities. We would like to determine the probabilities associated with the binomial distribution more generally, i.e. If x is a binomial random variable with parameters n and. X is the number of successes. N is the number of trials.
From www.youtube.com
How to Calculate Binomial Distribution the Easy Way YouTube How To Find X In Binomial Probability If x is a binomial random variable with parameters n and. Enter “=binomdist(a a, n n, p p, false)” to find the probability of a a successes in n n trials with probability of success p p. The binomial distribution formula for probabilities is the following: P is the probability of a. However, for the binomial random variable there are. How To Find X In Binomial Probability.
From www.slideserve.com
PPT Binomial Probability Distribution 1. The experiment must have a fixed number of trials How To Find X In Binomial Probability The binomial distribution formula for probabilities is the following: X is the number of successes. To find this probability, you need to use the following equation: P is the probability of a. Once you have determined that an experiment is a binomial experiment, then you can apply either the formula or technology (like a ti calculator) to find any related. How To Find X In Binomial Probability.
From theprobability.netlify.app
Binomial Probability Distribution Calculator theprobability How To Find X In Binomial Probability Enter “=binomdist(a a, n n, p p, false)” to find the probability of a a successes in n n trials with probability of success p p. If x is a binomial random variable with parameters n and. Let’s break down the syntax of that function in google sheets: Once you have determined that an experiment is a binomial experiment, then. How To Find X In Binomial Probability.
From www.coursehero.com
[Solved] Assume the random variable X has a binomial distribution with the... Course Hero How To Find X In Binomial Probability P is the probability of a. We would like to determine the probabilities associated with the binomial distribution more generally, i.e. If x is a binomial random variable with parameters n and. To find this probability, you need to use the following equation: Let’s break down the syntax of that function in google sheets: The binomial distribution formula for probabilities. How To Find X In Binomial Probability.
From calcworkshop.com
Binomial Distribution (Fully Explained w/ 11 Examples!) How To Find X In Binomial Probability To find this probability, you need to use the following equation: The binomial distribution formula for probabilities is the following: We would like to determine the probabilities associated with the binomial distribution more generally, i.e. N is the number of trials. Once you have determined that an experiment is a binomial experiment, then you can apply either the formula or. How To Find X In Binomial Probability.
From chrispiech.github.io
Binomial How To Find X In Binomial Probability Enter “=binomdist(a a, n n, p p, false)” to find the probability of a a successes in n n trials with probability of success p p. P is the probability of a. To find this probability, you need to use the following equation: N is the number of trials. We would like to determine the probabilities associated with the binomial. How To Find X In Binomial Probability.
From www.slideserve.com
PPT Binomial Probability Distribution 1. The experiment must have a fixed number of trials How To Find X In Binomial Probability However, for the binomial random variable there are much simpler formulas. If x is a binomial random variable with parameters n and. Enter “=binomdist(a a, n n, p p, false)” to find the probability of a a successes in n n trials with probability of success p p. Once you have determined that an experiment is a binomial experiment, then. How To Find X In Binomial Probability.
From www.statology.org
How to Create a Binomial Distribution Graph in Excel How To Find X In Binomial Probability Once you have determined that an experiment is a binomial experiment, then you can apply either the formula or technology (like a ti calculator) to find any related probabilities. Enter “=binomdist(a a, n n, p p, false)” to find the probability of a a successes in n n trials with probability of success p p. If x is a binomial. How To Find X In Binomial Probability.
From mathformula5.netlify.app
Binomial Probability Formula How To Calculate Complete Guide How To Find X In Binomial Probability If x is a binomial random variable with parameters n and. P is the probability of a. X is the number of successes. To find this probability, you need to use the following equation: The binomial distribution formula for probabilities is the following: However, for the binomial random variable there are much simpler formulas. Enter “=binomdist(a a, n n, p. How To Find X In Binomial Probability.
From www.youtube.com
Finding the number of trials in a binomial distribution for a given probability YouTube How To Find X In Binomial Probability Once you have determined that an experiment is a binomial experiment, then you can apply either the formula or technology (like a ti calculator) to find any related probabilities. We would like to determine the probabilities associated with the binomial distribution more generally, i.e. To find this probability, you need to use the following equation: Let’s break down the syntax. How To Find X In Binomial Probability.
From www.youtube.com
Calculate a Binomial Probability YouTube How To Find X In Binomial Probability We would like to determine the probabilities associated with the binomial distribution more generally, i.e. P is the probability of a. However, for the binomial random variable there are much simpler formulas. X is the number of successes. N is the number of trials. To find this probability, you need to use the following equation: If x is a binomial. How To Find X In Binomial Probability.
From www.youtube.com
Calculating Probabilities in Binomial Distribution YouTube How To Find X In Binomial Probability If x is a binomial random variable with parameters n and. To find this probability, you need to use the following equation: Once you have determined that an experiment is a binomial experiment, then you can apply either the formula or technology (like a ti calculator) to find any related probabilities. N is the number of trials. We would like. How To Find X In Binomial Probability.
From www.slideserve.com
PPT Binomial Probability Distribution PowerPoint Presentation, free download ID3061714 How To Find X In Binomial Probability P is the probability of a. Let’s break down the syntax of that function in google sheets: We would like to determine the probabilities associated with the binomial distribution more generally, i.e. Enter “=binomdist(a a, n n, p p, false)” to find the probability of a a successes in n n trials with probability of success p p. If x. How To Find X In Binomial Probability.
From www.statology.org
How to Read the Binomial Distribution Table How To Find X In Binomial Probability N is the number of trials. The binomial distribution formula for probabilities is the following: To find this probability, you need to use the following equation: If x is a binomial random variable with parameters n and. P is the probability of a. However, for the binomial random variable there are much simpler formulas. Enter “=binomdist(a a, n n, p. How To Find X In Binomial Probability.
From www.numerade.com
SOLVED Assume the random variable X has a binomial distribution with the given probability of How To Find X In Binomial Probability We would like to determine the probabilities associated with the binomial distribution more generally, i.e. P is the probability of a. Once you have determined that an experiment is a binomial experiment, then you can apply either the formula or technology (like a ti calculator) to find any related probabilities. Enter “=binomdist(a a, n n, p p, false)” to find. How To Find X In Binomial Probability.
From www.dummies.com
Figuring Binomial Probabilities Using the Binomial Table dummies How To Find X In Binomial Probability P is the probability of a. However, for the binomial random variable there are much simpler formulas. To find this probability, you need to use the following equation: N is the number of trials. We would like to determine the probabilities associated with the binomial distribution more generally, i.e. Once you have determined that an experiment is a binomial experiment,. How To Find X In Binomial Probability.
From www.numerade.com
In a binomial situation, n = 5 and Π=0.40 . Find the probabilities for all possible values of How To Find X In Binomial Probability If x is a binomial random variable with parameters n and. X is the number of successes. However, for the binomial random variable there are much simpler formulas. N is the number of trials. To find this probability, you need to use the following equation: Enter “=binomdist(a a, n n, p p, false)” to find the probability of a a. How To Find X In Binomial Probability.
From socratic.org
How do you use the binomial probability formula to find the probability of x successes given the How To Find X In Binomial Probability If x is a binomial random variable with parameters n and. X is the number of successes. Let’s break down the syntax of that function in google sheets: N is the number of trials. To find this probability, you need to use the following equation: However, for the binomial random variable there are much simpler formulas. The binomial distribution formula. How To Find X In Binomial Probability.
From theprobability.netlify.app
Binomial Probability Formula Statistics theprobability How To Find X In Binomial Probability X is the number of successes. Once you have determined that an experiment is a binomial experiment, then you can apply either the formula or technology (like a ti calculator) to find any related probabilities. However, for the binomial random variable there are much simpler formulas. Let’s break down the syntax of that function in google sheets: To find this. How To Find X In Binomial Probability.
From www.chegg.com
Solved How to find the probability with the binomial How To Find X In Binomial Probability We would like to determine the probabilities associated with the binomial distribution more generally, i.e. Enter “=binomdist(a a, n n, p p, false)” to find the probability of a a successes in n n trials with probability of success p p. X is the number of successes. Let’s break down the syntax of that function in google sheets: If x. How To Find X In Binomial Probability.
From www.youtube.com
Chapter 5.2 "Binomial Probability Distribution" YouTube How To Find X In Binomial Probability Let’s break down the syntax of that function in google sheets: To find this probability, you need to use the following equation: However, for the binomial random variable there are much simpler formulas. Enter “=binomdist(a a, n n, p p, false)” to find the probability of a a successes in n n trials with probability of success p p. P. How To Find X In Binomial Probability.
From www.youtube.com
5.3 The binomial distribution Pt 2 Using the calculator YouTube How To Find X In Binomial Probability The binomial distribution formula for probabilities is the following: Enter “=binomdist(a a, n n, p p, false)” to find the probability of a a successes in n n trials with probability of success p p. We would like to determine the probabilities associated with the binomial distribution more generally, i.e. P is the probability of a. However, for the binomial. How To Find X In Binomial Probability.
From www.youtube.com
Finding The Probability of a Binomial Distribution Plus Mean & Standard Deviation YouTube How To Find X In Binomial Probability N is the number of trials. We would like to determine the probabilities associated with the binomial distribution more generally, i.e. Enter “=binomdist(a a, n n, p p, false)” to find the probability of a a successes in n n trials with probability of success p p. Let’s break down the syntax of that function in google sheets: X is. How To Find X In Binomial Probability.
From study.com
Calculating Binomial Probability Formula & Examples Video & Lesson Transcript How To Find X In Binomial Probability Let’s break down the syntax of that function in google sheets: The binomial distribution formula for probabilities is the following: X is the number of successes. However, for the binomial random variable there are much simpler formulas. We would like to determine the probabilities associated with the binomial distribution more generally, i.e. If x is a binomial random variable with. How To Find X In Binomial Probability.
From www.youtube.com
Binomial probability manual and calculator steps YouTube How To Find X In Binomial Probability Enter “=binomdist(a a, n n, p p, false)” to find the probability of a a successes in n n trials with probability of success p p. However, for the binomial random variable there are much simpler formulas. Once you have determined that an experiment is a binomial experiment, then you can apply either the formula or technology (like a ti. How To Find X In Binomial Probability.
From www.slideshare.net
Binomial probability distributions ppt How To Find X In Binomial Probability Enter “=binomdist(a a, n n, p p, false)” to find the probability of a a successes in n n trials with probability of success p p. If x is a binomial random variable with parameters n and. N is the number of trials. Once you have determined that an experiment is a binomial experiment, then you can apply either the. How To Find X In Binomial Probability.
From calcworkshop.com
Binomial Distribution (Fully Explained w/ 11 Examples!) How To Find X In Binomial Probability Enter “=binomdist(a a, n n, p p, false)” to find the probability of a a successes in n n trials with probability of success p p. To find this probability, you need to use the following equation: Let’s break down the syntax of that function in google sheets: We would like to determine the probabilities associated with the binomial distribution. How To Find X In Binomial Probability.
From www.statology.org
How to Create a Binomial Distribution Graph in Excel How To Find X In Binomial Probability P is the probability of a. X is the number of successes. We would like to determine the probabilities associated with the binomial distribution more generally, i.e. If x is a binomial random variable with parameters n and. The binomial distribution formula for probabilities is the following: However, for the binomial random variable there are much simpler formulas. Enter “=binomdist(a. How To Find X In Binomial Probability.
From www.slideserve.com
PPT The Binomial Distribution PowerPoint Presentation, free download ID4478273 How To Find X In Binomial Probability However, for the binomial random variable there are much simpler formulas. We would like to determine the probabilities associated with the binomial distribution more generally, i.e. If x is a binomial random variable with parameters n and. Let’s break down the syntax of that function in google sheets: X is the number of successes. To find this probability, you need. How To Find X In Binomial Probability.
From fyoxualkq.blob.core.windows.net
How To Draw A Binomial Distribution Graph at Floyd Scott blog How To Find X In Binomial Probability Let’s break down the syntax of that function in google sheets: We would like to determine the probabilities associated with the binomial distribution more generally, i.e. N is the number of trials. Enter “=binomdist(a a, n n, p p, false)” to find the probability of a a successes in n n trials with probability of success p p. X is. How To Find X In Binomial Probability.
From www.qualitygurus.com
Binomial Distribution Quality Gurus How To Find X In Binomial Probability P is the probability of a. Enter “=binomdist(a a, n n, p p, false)” to find the probability of a a successes in n n trials with probability of success p p. N is the number of trials. Once you have determined that an experiment is a binomial experiment, then you can apply either the formula or technology (like a. How To Find X In Binomial Probability.
From emedia.rmit.edu.au
S8 Binomial probability Learning Lab How To Find X In Binomial Probability P is the probability of a. N is the number of trials. To find this probability, you need to use the following equation: If x is a binomial random variable with parameters n and. The binomial distribution formula for probabilities is the following: However, for the binomial random variable there are much simpler formulas. Once you have determined that an. How To Find X In Binomial Probability.
From www.youtube.com
The Binomial Distribution Solved Examples Probability YouTube How To Find X In Binomial Probability To find this probability, you need to use the following equation: N is the number of trials. If x is a binomial random variable with parameters n and. The binomial distribution formula for probabilities is the following: Let’s break down the syntax of that function in google sheets: X is the number of successes. However, for the binomial random variable. How To Find X In Binomial Probability.
From www.chegg.com
Solved Assume the random variable X has a binomial How To Find X In Binomial Probability Enter “=binomdist(a a, n n, p p, false)” to find the probability of a a successes in n n trials with probability of success p p. Once you have determined that an experiment is a binomial experiment, then you can apply either the formula or technology (like a ti calculator) to find any related probabilities. N is the number of. How To Find X In Binomial Probability.
From www.youtube.com
Binomial Distribution Finding the Mean, Standard Deviation, and 'Usual' Range of Values YouTube How To Find X In Binomial Probability P is the probability of a. X is the number of successes. Once you have determined that an experiment is a binomial experiment, then you can apply either the formula or technology (like a ti calculator) to find any related probabilities. However, for the binomial random variable there are much simpler formulas. Let’s break down the syntax of that function. How To Find X In Binomial Probability.