Zero Rust Data Sheet . It forms a barrier which keeps oxygen and water away. Zero rust® is a phenolic modified alkyd coating with outstanding corrosion resistance. Zero rust ar 61 gray sds / ar. All zero rust ® products are for exterior use only and are manufactured to the. Zero rust auto refinishing pds; Welcome to the zero rust ® family of products where you can find the perfect product and color for your project. Perfect for new and old steel,. To use, simply remove all loose scale and powdery rust and make sure that the surface is dry and free of.
from vdocuments.mx
All zero rust ® products are for exterior use only and are manufactured to the. Zero rust ar 61 gray sds / ar. Perfect for new and old steel,. Zero rust auto refinishing pds; Welcome to the zero rust ® family of products where you can find the perfect product and color for your project. To use, simply remove all loose scale and powdery rust and make sure that the surface is dry and free of. It forms a barrier which keeps oxygen and water away. Zero rust® is a phenolic modified alkyd coating with outstanding corrosion resistance.
Safety Data Sheet RustOleum · Safety Data Sheet 1 Product
Zero Rust Data Sheet Perfect for new and old steel,. To use, simply remove all loose scale and powdery rust and make sure that the surface is dry and free of. Perfect for new and old steel,. Zero rust auto refinishing pds; Welcome to the zero rust ® family of products where you can find the perfect product and color for your project. Zero rust® is a phenolic modified alkyd coating with outstanding corrosion resistance. All zero rust ® products are for exterior use only and are manufactured to the. Zero rust ar 61 gray sds / ar. It forms a barrier which keeps oxygen and water away.
From repaintsupply.com
Zero Rust 62SP, Black DTM Primer R & E Paint Supply Zero Rust Data Sheet Welcome to the zero rust ® family of products where you can find the perfect product and color for your project. Perfect for new and old steel,. Zero rust ar 61 gray sds / ar. To use, simply remove all loose scale and powdery rust and make sure that the surface is dry and free of. Zero rust® is a. Zero Rust Data Sheet.
From www.lazada.com.ph
DESTINY ZERO RUST CONVERTER 4L Lazada PH Zero Rust Data Sheet Zero rust auto refinishing pds; It forms a barrier which keeps oxygen and water away. All zero rust ® products are for exterior use only and are manufactured to the. Perfect for new and old steel,. Welcome to the zero rust ® family of products where you can find the perfect product and color for your project. Zero rust ar. Zero Rust Data Sheet.
From safety365.sevron.co.uk
Rust Converter MSDS Download Zero Rust Data Sheet Welcome to the zero rust ® family of products where you can find the perfect product and color for your project. To use, simply remove all loose scale and powdery rust and make sure that the surface is dry and free of. It forms a barrier which keeps oxygen and water away. Zero rust ar 61 gray sds / ar.. Zero Rust Data Sheet.
From studylib.net
Rust Concentrate MSDS Zero Rust Data Sheet Zero rust ar 61 gray sds / ar. All zero rust ® products are for exterior use only and are manufactured to the. Welcome to the zero rust ® family of products where you can find the perfect product and color for your project. Zero rust auto refinishing pds; It forms a barrier which keeps oxygen and water away. To. Zero Rust Data Sheet.
From www.scribd.com
Technical Data Sheets Rust & Corrosion Protection PDF Corrosion Rust Zero Rust Data Sheet To use, simply remove all loose scale and powdery rust and make sure that the surface is dry and free of. All zero rust ® products are for exterior use only and are manufactured to the. Perfect for new and old steel,. Zero rust auto refinishing pds; Zero rust ar 61 gray sds / ar. It forms a barrier which. Zero Rust Data Sheet.
From giodrozwt.blob.core.windows.net
Zero Rust Tds at Jo Rogers blog Zero Rust Data Sheet Zero rust® is a phenolic modified alkyd coating with outstanding corrosion resistance. To use, simply remove all loose scale and powdery rust and make sure that the surface is dry and free of. Welcome to the zero rust ® family of products where you can find the perfect product and color for your project. All zero rust ® products are. Zero Rust Data Sheet.
From decksealed.com
Zero Rust Zero Rust Data Sheet Zero rust auto refinishing pds; Zero rust® is a phenolic modified alkyd coating with outstanding corrosion resistance. All zero rust ® products are for exterior use only and are manufactured to the. Welcome to the zero rust ® family of products where you can find the perfect product and color for your project. Zero rust ar 61 gray sds /. Zero Rust Data Sheet.
From www.walmart.com
Zero Rust 62SP Black Rust Inhibitive Coating 12oz Aerosol Zero Rust Data Sheet Perfect for new and old steel,. Welcome to the zero rust ® family of products where you can find the perfect product and color for your project. Zero rust auto refinishing pds; All zero rust ® products are for exterior use only and are manufactured to the. Zero rust ar 61 gray sds / ar. To use, simply remove all. Zero Rust Data Sheet.
From docslib.org
Rust Remover Plus Safety Data Sheet DocsLib Zero Rust Data Sheet All zero rust ® products are for exterior use only and are manufactured to the. It forms a barrier which keeps oxygen and water away. Zero rust® is a phenolic modified alkyd coating with outstanding corrosion resistance. Zero rust auto refinishing pds; Welcome to the zero rust ® family of products where you can find the perfect product and color. Zero Rust Data Sheet.
From studylib.net
Material Safety Data Sheet Rust Zero Rust Data Sheet Welcome to the zero rust ® family of products where you can find the perfect product and color for your project. Zero rust® is a phenolic modified alkyd coating with outstanding corrosion resistance. To use, simply remove all loose scale and powdery rust and make sure that the surface is dry and free of. Perfect for new and old steel,.. Zero Rust Data Sheet.
From www.lubegard.com
RUSTGARD™ Rust & Corrosion Preventive Oil Lubegard Zero Rust Data Sheet Zero rust ar 61 gray sds / ar. All zero rust ® products are for exterior use only and are manufactured to the. Perfect for new and old steel,. It forms a barrier which keeps oxygen and water away. Welcome to the zero rust ® family of products where you can find the perfect product and color for your project.. Zero Rust Data Sheet.
From studylib.net
EKRUSTXMSDS Zero Rust Data Sheet Welcome to the zero rust ® family of products where you can find the perfect product and color for your project. Zero rust auto refinishing pds; Zero rust® is a phenolic modified alkyd coating with outstanding corrosion resistance. It forms a barrier which keeps oxygen and water away. To use, simply remove all loose scale and powdery rust and make. Zero Rust Data Sheet.
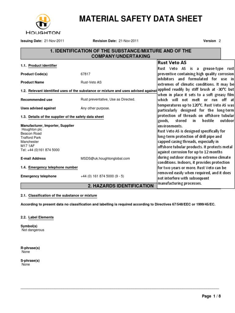
From www.scribd.com
Rust Veto As PDF Occupational Safety And Health Chemistry Zero Rust Data Sheet Zero rust auto refinishing pds; Perfect for new and old steel,. It forms a barrier which keeps oxygen and water away. Zero rust ar 61 gray sds / ar. Zero rust® is a phenolic modified alkyd coating with outstanding corrosion resistance. All zero rust ® products are for exterior use only and are manufactured to the. To use, simply remove. Zero Rust Data Sheet.
From sdsinventory.com
The ISDSS™ Zero Rust Data Sheet Welcome to the zero rust ® family of products where you can find the perfect product and color for your project. To use, simply remove all loose scale and powdery rust and make sure that the surface is dry and free of. Zero rust ar 61 gray sds / ar. Zero rust® is a phenolic modified alkyd coating with outstanding. Zero Rust Data Sheet.
From rustrelease.com
Rust Removal Industrial Rust Remover and Motorcycle Gas Tank Rust Zero Rust Data Sheet Zero rust ar 61 gray sds / ar. All zero rust ® products are for exterior use only and are manufactured to the. Zero rust® is a phenolic modified alkyd coating with outstanding corrosion resistance. Welcome to the zero rust ® family of products where you can find the perfect product and color for your project. To use, simply remove. Zero Rust Data Sheet.
From vdocuments.mx
SAFETY DATA SHEET aps.anl.gov LPS 3 Heavy Duty Rust Inhibitor Zero Rust Data Sheet It forms a barrier which keeps oxygen and water away. Welcome to the zero rust ® family of products where you can find the perfect product and color for your project. Perfect for new and old steel,. All zero rust ® products are for exterior use only and are manufactured to the. To use, simply remove all loose scale and. Zero Rust Data Sheet.
From vdocuments.mx
Safety Data Sheet RustOleum · Safety Data Sheet 1 Product Zero Rust Data Sheet Zero rust auto refinishing pds; Zero rust® is a phenolic modified alkyd coating with outstanding corrosion resistance. Perfect for new and old steel,. It forms a barrier which keeps oxygen and water away. Zero rust ar 61 gray sds / ar. Welcome to the zero rust ® family of products where you can find the perfect product and color for. Zero Rust Data Sheet.
From dokumen.tips
(PDF) Safety Data Sheet Zero Rust 70SP Green (Aerosol)Safety Data Sheet Zero Rust Data Sheet To use, simply remove all loose scale and powdery rust and make sure that the surface is dry and free of. Perfect for new and old steel,. It forms a barrier which keeps oxygen and water away. Zero rust ar 61 gray sds / ar. All zero rust ® products are for exterior use only and are manufactured to the.. Zero Rust Data Sheet.
From www.scribd.com
EN710 AntiRust Version MSDS Sheet PDF Carbon Toxicity Zero Rust Data Sheet To use, simply remove all loose scale and powdery rust and make sure that the surface is dry and free of. Zero rust® is a phenolic modified alkyd coating with outstanding corrosion resistance. Zero rust auto refinishing pds; Welcome to the zero rust ® family of products where you can find the perfect product and color for your project. Perfect. Zero Rust Data Sheet.
From shopee.ph
Destiny Paint Zero Rust Converter (1 Galloon) Shopee Philippines Zero Rust Data Sheet Zero rust auto refinishing pds; It forms a barrier which keeps oxygen and water away. All zero rust ® products are for exterior use only and are manufactured to the. Zero rust ar 61 gray sds / ar. Perfect for new and old steel,. To use, simply remove all loose scale and powdery rust and make sure that the surface. Zero Rust Data Sheet.
From fsccoatings.com
Zero Rust Prep Step™ Powder FSCCoatings Zero Rust Data Sheet Zero rust auto refinishing pds; Perfect for new and old steel,. To use, simply remove all loose scale and powdery rust and make sure that the surface is dry and free of. It forms a barrier which keeps oxygen and water away. Welcome to the zero rust ® family of products where you can find the perfect product and color. Zero Rust Data Sheet.
From www.autobodyspecialties.ca
Zero Rust Primer Aerosol Black Auto Body Specialties Zero Rust Data Sheet To use, simply remove all loose scale and powdery rust and make sure that the surface is dry and free of. Welcome to the zero rust ® family of products where you can find the perfect product and color for your project. Zero rust ar 61 gray sds / ar. Perfect for new and old steel,. All zero rust ®. Zero Rust Data Sheet.
From www.eahindustrial.com
Zero Rust The Ultimate Rust Protection Formula Zero Rust Data Sheet Zero rust® is a phenolic modified alkyd coating with outstanding corrosion resistance. Perfect for new and old steel,. Zero rust ar 61 gray sds / ar. Zero rust auto refinishing pds; Welcome to the zero rust ® family of products where you can find the perfect product and color for your project. It forms a barrier which keeps oxygen and. Zero Rust Data Sheet.
From giodrozwt.blob.core.windows.net
Zero Rust Tds at Jo Rogers blog Zero Rust Data Sheet Welcome to the zero rust ® family of products where you can find the perfect product and color for your project. It forms a barrier which keeps oxygen and water away. Zero rust® is a phenolic modified alkyd coating with outstanding corrosion resistance. Zero rust ar 61 gray sds / ar. Perfect for new and old steel,. To use, simply. Zero Rust Data Sheet.
From www.studocu.com
VHT Rust converter SDS Rust Converter Not available. Aerosol. (216 Zero Rust Data Sheet Zero rust ar 61 gray sds / ar. All zero rust ® products are for exterior use only and are manufactured to the. Zero rust auto refinishing pds; Perfect for new and old steel,. It forms a barrier which keeps oxygen and water away. To use, simply remove all loose scale and powdery rust and make sure that the surface. Zero Rust Data Sheet.
From www.walmart.com
Zero Rust AR62CA Black Rust Inhibitive Coating Quart Zero Rust Data Sheet Perfect for new and old steel,. Zero rust auto refinishing pds; Zero rust® is a phenolic modified alkyd coating with outstanding corrosion resistance. It forms a barrier which keeps oxygen and water away. Welcome to the zero rust ® family of products where you can find the perfect product and color for your project. To use, simply remove all loose. Zero Rust Data Sheet.
From www.youtube.com
Zero Rust Work Instructions DINITROL YouTube Zero Rust Data Sheet Welcome to the zero rust ® family of products where you can find the perfect product and color for your project. Zero rust ar 61 gray sds / ar. It forms a barrier which keeps oxygen and water away. Perfect for new and old steel,. Zero rust® is a phenolic modified alkyd coating with outstanding corrosion resistance. Zero rust auto. Zero Rust Data Sheet.
From www.scribd.com
Rust Remover National PDF Zero Rust Data Sheet Zero rust auto refinishing pds; All zero rust ® products are for exterior use only and are manufactured to the. Perfect for new and old steel,. Welcome to the zero rust ® family of products where you can find the perfect product and color for your project. Zero rust® is a phenolic modified alkyd coating with outstanding corrosion resistance. Zero. Zero Rust Data Sheet.
From www.smithsfoodanddrug.com
Zero Rust 67SP White Rust Inhibitive Coating 12oz Aerosol, 12 ounce Zero Rust Data Sheet Zero rust ar 61 gray sds / ar. To use, simply remove all loose scale and powdery rust and make sure that the surface is dry and free of. It forms a barrier which keeps oxygen and water away. All zero rust ® products are for exterior use only and are manufactured to the. Perfect for new and old steel,.. Zero Rust Data Sheet.
From autobodysource.com
Zero Rust Topcoat Aerosols The Autobody Source Zero Rust Data Sheet To use, simply remove all loose scale and powdery rust and make sure that the surface is dry and free of. Zero rust ar 61 gray sds / ar. All zero rust ® products are for exterior use only and are manufactured to the. It forms a barrier which keeps oxygen and water away. Welcome to the zero rust ®. Zero Rust Data Sheet.
From studylib.net
EvapoRust The Rust Store Zero Rust Data Sheet It forms a barrier which keeps oxygen and water away. To use, simply remove all loose scale and powdery rust and make sure that the surface is dry and free of. Welcome to the zero rust ® family of products where you can find the perfect product and color for your project. Zero rust ar 61 gray sds / ar.. Zero Rust Data Sheet.
From www.eahindustrial.com
Zero Rust The Ultimate Rust Protection Formula Zero Rust Data Sheet Zero rust ar 61 gray sds / ar. Zero rust® is a phenolic modified alkyd coating with outstanding corrosion resistance. All zero rust ® products are for exterior use only and are manufactured to the. It forms a barrier which keeps oxygen and water away. Zero rust auto refinishing pds; To use, simply remove all loose scale and powdery rust. Zero Rust Data Sheet.
From dokumen.tips
(PDF) Safety Data Sheet RustOleum · Safety Data Sheet 18473677700 Zero Rust Data Sheet Zero rust ar 61 gray sds / ar. It forms a barrier which keeps oxygen and water away. Zero rust® is a phenolic modified alkyd coating with outstanding corrosion resistance. Perfect for new and old steel,. All zero rust ® products are for exterior use only and are manufactured to the. To use, simply remove all loose scale and powdery. Zero Rust Data Sheet.
From www.yumpu.com
Safety Data Sheet Rust prevention Zero Rust Data Sheet Zero rust® is a phenolic modified alkyd coating with outstanding corrosion resistance. To use, simply remove all loose scale and powdery rust and make sure that the surface is dry and free of. Zero rust ar 61 gray sds / ar. Perfect for new and old steel,. Zero rust auto refinishing pds; It forms a barrier which keeps oxygen and. Zero Rust Data Sheet.
From www.scribd.com
LPS3 Primier Rust Inhibitor Dangerous Goods Toxicity Zero Rust Data Sheet Welcome to the zero rust ® family of products where you can find the perfect product and color for your project. Zero rust® is a phenolic modified alkyd coating with outstanding corrosion resistance. Perfect for new and old steel,. Zero rust auto refinishing pds; All zero rust ® products are for exterior use only and are manufactured to the. It. Zero Rust Data Sheet.